Номер 4, страница 275 - гдз по алгебре 10 класс учебник Арефьева, Пирютко

Алгебра, 10 класс Учебник, авторы: Арефьева Ирина Глебовна, Пирютко Ольга Николаевна, издательство Народная асвета, Минск, 2019, голубого цвета

Авторы: Арефьева И. Г., Пирютко О. Н.

Тип: Учебник

Издательство: Народная асвета

Год издания: 2019 - 2026

Цвет обложки: голубой с графиком

Допущено Министерством образования Республики Беларусь

Популярные ГДЗ в 10 классе

Глава 3. Производная. Я проверяю свои знания - номер 4, страница 275.

№4 (с. 275)
Условие. №4 (с. 275)
скриншот условия
Алгебра, 10 класс Учебник, авторы: Арефьева Ирина Глебовна, Пирютко Ольга Николаевна, издательство Народная асвета, Минск, 2019, голубого цвета, страница 275, номер 4, Условие

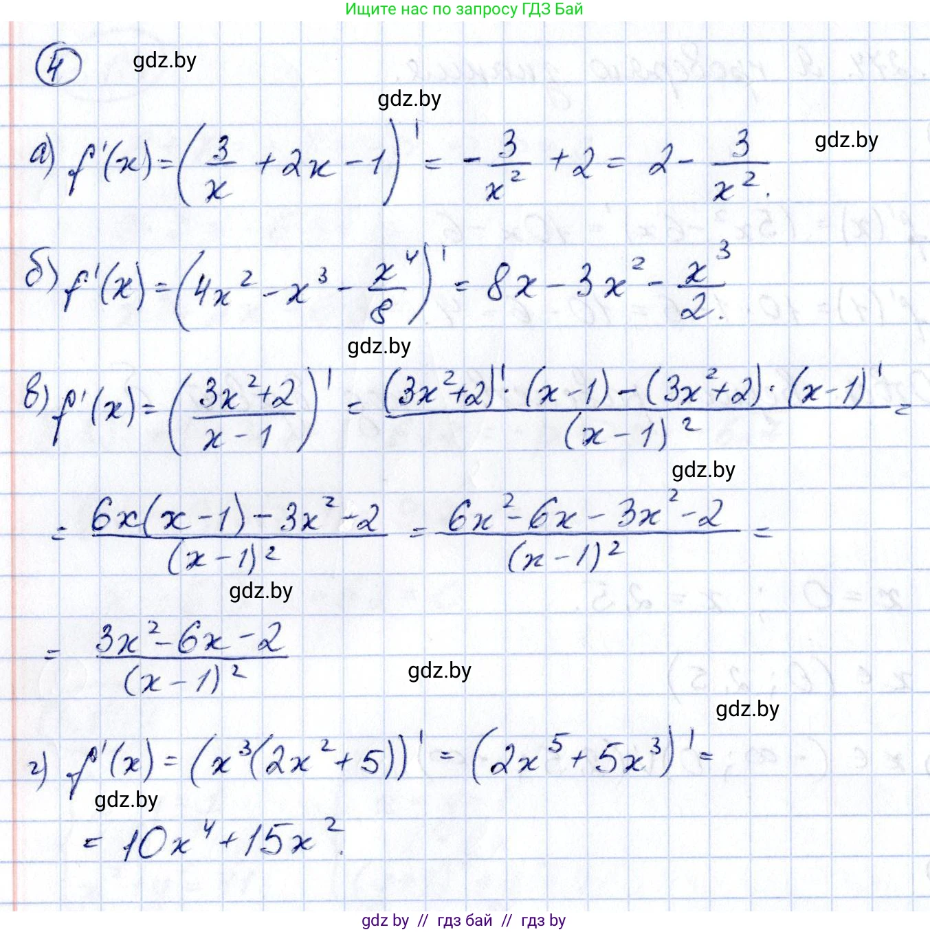
4. Найдите производную функции:

а) $f(x) = \frac{3}{x} + 2x - 1;$

б) $f(x) = 4x^2 - x^3 - \frac{x^4}{8};$

в) $f(x) = \frac{3x^2 + 2}{x-1};$

г) $f(x) = x^3 (2x^2 + 5).$

Решение. №4 (с. 275)
Алгебра, 10 класс Учебник, авторы: Арефьева Ирина Глебовна, Пирютко Ольга Николаевна, издательство Народная асвета, Минск, 2019, голубого цвета, страница 275, номер 4, Решение
Решение 2. №4 (с. 275)

а) Для нахождения производной функции $f(x) = \frac{3}{x} + 2x - 1$ используем правила дифференцирования суммы и степенной функции.
Сначала представим функцию в виде, удобном для дифференцирования: $f(x) = 3x^{-1} + 2x - 1$.
Производная суммы функций равна сумме производных:
$f'(x) = (3x^{-1})' + (2x)' - (1)'$.
Используем формулу производной степенной функции $(x^n)' = nx^{n-1}$ и то, что производная константы равна нулю:
$(3x^{-1})' = 3 \cdot (-1)x^{-1-1} = -3x^{-2} = -\frac{3}{x^2}$.
$(2x)' = 2 \cdot (x)' = 2 \cdot 1 = 2$.
$(1)' = 0$.
Складываем полученные производные:
$f'(x) = -\frac{3}{x^2} + 2 - 0 = 2 - \frac{3}{x^2}$.
Ответ: $f'(x) = 2 - \frac{3}{x^2}$.

б) Для нахождения производной функции $f(x) = 4x^2 - x^3 - \frac{x^4}{8}$ используем правило дифференцирования для каждого слагаемого.
$f'(x) = (4x^2)' - (x^3)' - (\frac{1}{8}x^4)'$.
Применяем формулу производной степенной функции $(x^n)' = nx^{n-1}$:
$(4x^2)' = 4 \cdot 2x = 8x$.
$(x^3)' = 3x^{3-1} = 3x^2$.
$(\frac{1}{8}x^4)' = \frac{1}{8} \cdot (x^4)' = \frac{1}{8} \cdot 4x^3 = \frac{4}{8}x^3 = \frac{1}{2}x^3$.
Объединяем результаты:
$f'(x) = 8x - 3x^2 - \frac{1}{2}x^3$.
Ответ: $f'(x) = 8x - 3x^2 - \frac{1}{2}x^3$.

в) Для нахождения производной функции $f(x) = \frac{3x^2 + 2}{x - 1}$ используем правило дифференцирования частного: $(\frac{u}{v})' = \frac{u'v - uv'}{v^2}$.
Обозначим $u(x) = 3x^2 + 2$ и $v(x) = x - 1$.
Найдем их производные:
$u'(x) = (3x^2 + 2)' = 6x$.
$v'(x) = (x - 1)' = 1$.
Подставляем в формулу:
$f'(x) = \frac{(6x)(x-1) - (3x^2 + 2)(1)}{(x-1)^2}$.
Упростим числитель:
$f'(x) = \frac{6x^2 - 6x - 3x^2 - 2}{(x-1)^2} = \frac{3x^2 - 6x - 2}{(x-1)^2}$.
Так как степень числителя (2) равна степени знаменателя ($ (x-1)^2 = x^2-2x+1 $, степень 2), мы можем выделить целую часть:
$ \frac{3x^2 - 6x - 2}{x^2 - 2x + 1} = \frac{3(x^2 - 2x + 1) - 3 + 2 - 2}{x^2 - 2x + 1} = \frac{3(x^2 - 2x + 1) - 5}{x^2 - 2x + 1} = 3 - \frac{5}{(x-1)^2} $.
Ответ: $f'(x) = 3 - \frac{5}{(x-1)^2}$.

г) Для нахождения производной функции $f(x) = x^3(2x^2 + 5)$ сначала упростим выражение, раскрыв скобки.
$f(x) = x^3 \cdot 2x^2 + x^3 \cdot 5 = 2x^5 + 5x^3$.
Теперь найдем производную полученного многочлена, используя правило дифференцирования суммы и степенной функции:
$f'(x) = (2x^5)' + (5x^3)'$.
$f'(x) = 2 \cdot 5x^{5-1} + 5 \cdot 3x^{3-1} = 10x^4 + 15x^2$.
Ответ: $f'(x) = 10x^4 + 15x^2$.

Помогло решение? Оставьте отзыв в комментариях ниже.

Присоединяйтесь к Телеграм-группе @gdz_by_belarus

Присоединиться

Мы подготовили для вас ответ c подробным объяснением домашего задания по алгебре за 10 класс, для упражнения номер 4 расположенного на странице 275 к учебнику 2019 года издания для учащихся школ и гимназий.

Теперь на нашем сайте ГДЗ.ТОП вы всегда легко и бесплатно найдёте условие с правильным ответом на вопрос «Как решить ДЗ» и «Как сделать» задание по алгебре к упражнению №4 (с. 275), авторов: Арефьева (Ирина Глебовна), Пирютко (Ольга Николаевна), учебного пособия издательства Народная асвета.