Номер 3.42, страница 236 - гдз по алгебре 10 класс учебник Арефьева, Пирютко

Алгебра, 10 класс Учебник, авторы: Арефьева Ирина Глебовна, Пирютко Ольга Николаевна, издательство Народная асвета, Минск, 2019, голубого цвета

Авторы: Арефьева И. Г., Пирютко О. Н.

Тип: Учебник

Издательство: Народная асвета

Год издания: 2019 - 2026

Цвет обложки: голубой с графиком

Допущено Министерством образования Республики Беларусь

Популярные ГДЗ в 10 классе

Глава 3. Производная. Параграф 19. Правила вычисления производных - номер 3.42, страница 236.

№3.42 (с. 236)
Условие. №3.42 (с. 236)
скриншот условия
Алгебра, 10 класс Учебник, авторы: Арефьева Ирина Глебовна, Пирютко Ольга Николаевна, издательство Народная асвета, Минск, 2019, голубого цвета, страница 236, номер 3.42, Условие

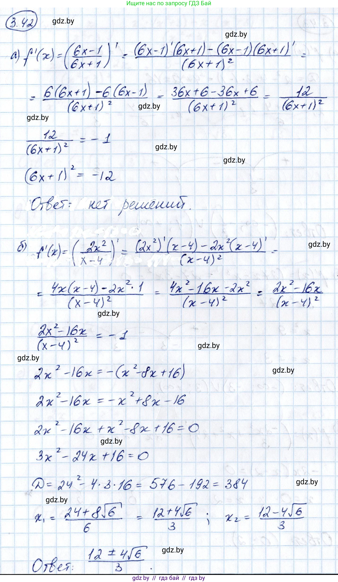
3.42. Решите уравнение $f'(x) = -1$, если:

а) $f(x) = \frac{6x-1}{6x+1}$;

б) $f(x) = \frac{2x^2}{x-4}$.

Решение. №3.42 (с. 236)
Алгебра, 10 класс Учебник, авторы: Арефьева Ирина Глебовна, Пирютко Ольга Николаевна, издательство Народная асвета, Минск, 2019, голубого цвета, страница 236, номер 3.42, Решение
Решение 2. №3.42 (с. 236)

а) Дана функция $f(x) = \frac{6x-1}{6x+1}$.

Для решения уравнения $f'(x) = -1$ сначала найдем производную функции $f(x)$. Будем использовать правило дифференцирования частного $(\frac{u}{v})' = \frac{u'v - uv'}{v^2}$, где $u = 6x-1$ и $v = 6x+1$.

Производные числителя и знаменателя: $u'(x) = 6$, $v'(x) = 6$.

Подставляем в формулу:

$f'(x) = \frac{6(6x+1) - (6x-1) \cdot 6}{(6x+1)^2} = \frac{36x+6 - 36x+6}{(6x+1)^2} = \frac{12}{(6x+1)^2}$.

Теперь составим и решим уравнение:

$f'(x) = -1 \implies \frac{12}{(6x+1)^2} = -1$.

В левой части уравнения стоит дробь, у которой числитель — положительное число (12), а знаменатель $(6x+1)^2$ — квадрат действительного числа, который не может быть отрицательным (он положителен при $x \neq -1/6$). Следовательно, вся дробь всегда положительна.

Получаем, что положительное число должно быть равно отрицательному числу (-1), что невозможно. Таким образом, у уравнения нет действительных корней.

Ответ: нет решений.

б) Дана функция $f(x) = \frac{2x^2}{x-4}$.

Найдем производную функции, используя правило дифференцирования частного, где $u = 2x^2$ и $v = x-4$.

Производные: $u'(x) = 4x$, $v'(x) = 1$.

Подставляем в формулу:

$f'(x) = \frac{4x(x-4) - 2x^2 \cdot 1}{(x-4)^2} = \frac{4x^2 - 16x - 2x^2}{(x-4)^2} = \frac{2x^2 - 16x}{(x-4)^2}$.

Теперь решим уравнение $f'(x) = -1$. Область определения уравнения: $x \neq 4$.

$\frac{2x^2 - 16x}{(x-4)^2} = -1$

Умножим обе части на $(x-4)^2$:

$2x^2 - 16x = -(x-4)^2$

$2x^2 - 16x = -(x^2 - 8x + 16)$

$2x^2 - 16x = -x^2 + 8x - 16$

Перенесем все члены в левую часть и приведем подобные слагаемые:

$3x^2 - 24x + 16 = 0$.

Получили квадратное уравнение. Решим его с помощью дискриминанта $D = b^2 - 4ac$:

$D = (-24)^2 - 4 \cdot 3 \cdot 16 = 576 - 192 = 384$.

Корень из дискриминанта: $\sqrt{D} = \sqrt{384} = \sqrt{64 \cdot 6} = 8\sqrt{6}$.

Найдем корни уравнения по формуле $x = \frac{-b \pm \sqrt{D}}{2a}$:

$x = \frac{-(-24) \pm 8\sqrt{6}}{2 \cdot 3} = \frac{24 \pm 8\sqrt{6}}{6}$.

Сократим дробь на 2:

$x = \frac{12 \pm 4\sqrt{6}}{3}$.

Оба корня не равны 4, значит, они являются решениями. Выделим целую часть, разделив почленно:

$x_1 = \frac{12 + 4\sqrt{6}}{3} = \frac{12}{3} + \frac{4\sqrt{6}}{3} = 4 + \frac{4\sqrt{6}}{3}$

$x_2 = \frac{12 - 4\sqrt{6}}{3} = \frac{12}{3} - \frac{4\sqrt{6}}{3} = 4 - \frac{4\sqrt{6}}{3}$

Ответ: $x_1 = 4 + \frac{4\sqrt{6}}{3}$; $x_2 = 4 - \frac{4\sqrt{6}}{3}$.

Помогло решение? Оставьте отзыв в комментариях ниже.

Присоединяйтесь к Телеграм-группе @gdz_by_belarus

Присоединиться

Мы подготовили для вас ответ c подробным объяснением домашего задания по алгебре за 10 класс, для упражнения номер 3.42 расположенного на странице 236 к учебнику 2019 года издания для учащихся школ и гимназий.

Теперь на нашем сайте ГДЗ.ТОП вы всегда легко и бесплатно найдёте условие с правильным ответом на вопрос «Как решить ДЗ» и «Как сделать» задание по алгебре к упражнению №3.42 (с. 236), авторов: Арефьева (Ирина Глебовна), Пирютко (Ольга Николаевна), учебного пособия издательства Народная асвета.