Номер 3.38, страница 236 - гдз по алгебре 10 класс учебник Арефьева, Пирютко

Алгебра, 10 класс Учебник, авторы: Арефьева Ирина Глебовна, Пирютко Ольга Николаевна, издательство Народная асвета, Минск, 2019, голубого цвета

Авторы: Арефьева И. Г., Пирютко О. Н.

Тип: Учебник

Издательство: Народная асвета

Год издания: 2019 - 2026

Цвет обложки: голубой с графиком

Допущено Министерством образования Республики Беларусь

Популярные ГДЗ в 10 классе

Глава 3. Производная. Параграф 19. Правила вычисления производных - номер 3.38, страница 236.

№3.38 (с. 236)
Условие. №3.38 (с. 236)
скриншот условия
Алгебра, 10 класс Учебник, авторы: Арефьева Ирина Глебовна, Пирютко Ольга Николаевна, издательство Народная асвета, Минск, 2019, голубого цвета, страница 236, номер 3.38, Условие

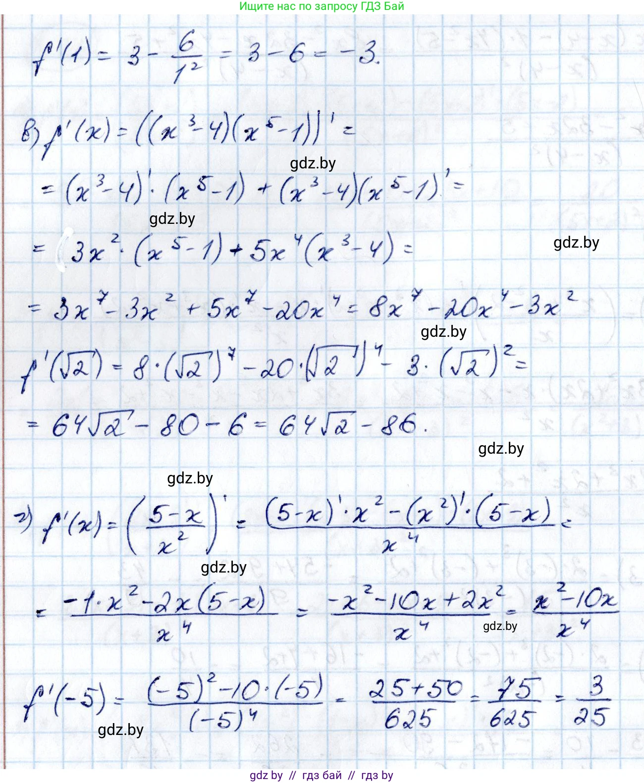
3.38. Найдите производную функции $y = f(x)$ в точке $x_0$, если:

а) $f(x) = x^6 - 2x^4 - x + 3, x_0 = -2;$

б) $f(x) = 3x - 1 + \frac{6}{x}, x_0 = 1;$

в) $f(x) = (x^3 - 4)(x^5 - 1), x_0 = \sqrt{2};$

г) $f(x) = \frac{5 - x}{x^2}, x_0 = -5.$

Решение. №3.38 (с. 236)
Алгебра, 10 класс Учебник, авторы: Арефьева Ирина Глебовна, Пирютко Ольга Николаевна, издательство Народная асвета, Минск, 2019, голубого цвета, страница 236, номер 3.38, Решение Алгебра, 10 класс Учебник, авторы: Арефьева Ирина Глебовна, Пирютко Ольга Николаевна, издательство Народная асвета, Минск, 2019, голубого цвета, страница 236, номер 3.38, Решение (продолжение 2)
Решение 2. №3.38 (с. 236)

а) Дана функция $f(x) = x^6 - 2x^4 - x + 3$ и точка $x_0 = -2$.

1. Сначала найдем производную функции $f(x)$. Это многочлен, поэтому мы можем использовать правило дифференцирования степенной функции $(x^n)' = nx^{n-1}$ и правило дифференцирования суммы/разности функций.

$f'(x) = (x^6 - 2x^4 - x + 3)' = (x^6)' - (2x^4)' - (x)' + (3)'$

$f'(x) = 6x^{6-1} - 2 \cdot 4x^{4-1} - 1 \cdot x^{1-1} + 0 = 6x^5 - 8x^3 - 1$

2. Теперь вычислим значение производной в точке $x_0 = -2$, подставив это значение в полученное выражение для $f'(x)$.

$f'(-2) = 6(-2)^5 - 8(-2)^3 - 1$

$f'(-2) = 6(-32) - 8(-8) - 1 = -192 + 64 - 1 = -129$

Ответ: -129.

б) Дана функция $f(x) = 3x - 1 + \frac{6}{x}$ и точка $x_0 = 1$.

1. Для удобства дифференцирования представим функцию в виде $f(x) = 3x - 1 + 6x^{-1}$.

Найдем производную функции $f(x)$ покомпонентно:

$f'(x) = (3x - 1 + 6x^{-1})' = (3x)' - (1)' + (6x^{-1})'$

$f'(x) = 3 - 0 + 6 \cdot (-1)x^{-1-1} = 3 - 6x^{-2} = 3 - \frac{6}{x^2}$

2. Вычислим значение производной в точке $x_0 = 1$.

$f'(1) = 3 - \frac{6}{1^2} = 3 - \frac{6}{1} = 3 - 6 = -3$

Ответ: -3.

в) Дана функция $f(x) = (x^3 - 4)(x^5 - 1)$ и точка $x_0 = \sqrt{2}$.

1. Для нахождения производной можно сначала раскрыть скобки, а затем дифференцировать получившийся многочлен. Этот способ часто упрощает вычисления.

Раскроем скобки:

$f(x) = x^3 \cdot x^5 - x^3 \cdot 1 - 4 \cdot x^5 + 4 \cdot 1 = x^8 - 4x^5 - x^3 + 4$

Теперь найдем производную:

$f'(x) = (x^8 - 4x^5 - x^3 + 4)' = 8x^7 - 4 \cdot 5x^4 - 3x^2 + 0 = 8x^7 - 20x^4 - 3x^2$

2. Вычислим значение производной в точке $x_0 = \sqrt{2}$.

Найдем значения степеней $x_0$:
$x_0^2 = (\sqrt{2})^2 = 2$
$x_0^4 = (x_0^2)^2 = 2^2 = 4$
$x_0^7 = x_0^6 \cdot x_0 = (x_0^2)^3 \cdot x_0 = 2^3 \cdot \sqrt{2} = 8\sqrt{2}$

Подставим эти значения в выражение для производной:

$f'(\sqrt{2}) = 8(8\sqrt{2}) - 20(4) - 3(2) = 64\sqrt{2} - 80 - 6 = 64\sqrt{2} - 86$

Ответ: $64\sqrt{2} - 86$.

г) Дана функция $f(x) = \frac{5-x}{x^2}$ и точка $x_0 = -5$.

1. Для нахождения производной используем правило дифференцирования частного $(\frac{u}{v})' = \frac{u'v - uv'}{v^2}$.

Пусть $u(x) = 5-x$ и $v(x) = x^2$. Тогда их производные:

$u'(x) = (5-x)' = -1$
$v'(x) = (x^2)' = 2x$

Подставляем в формулу производной частного:

$f'(x) = \frac{(-1) \cdot x^2 - (5-x) \cdot 2x}{(x^2)^2} = \frac{-x^2 - (10x - 2x^2)}{x^4} = \frac{-x^2 - 10x + 2x^2}{x^4} = \frac{x^2 - 10x}{x^4}$

Упростим выражение, вынеся $x$ за скобки в числителе и сократив дробь (при $x \neq 0$):

$f'(x) = \frac{x(x - 10)}{x^4} = \frac{x - 10}{x^3}$

2. Теперь вычислим значение производной в точке $x_0 = -5$.

$f'(-5) = \frac{-5 - 10}{(-5)^3} = \frac{-15}{-125} = \frac{15}{125}$

Сократим полученную дробь на 5:

$f'(-5) = \frac{15 \div 5}{125 \div 5} = \frac{3}{25}$

Полученная дробь является правильной, поэтому выделять целую часть не требуется.

Ответ: $\frac{3}{25}$.

Помогло решение? Оставьте отзыв в комментариях ниже.

Присоединяйтесь к Телеграм-группе @gdz_by_belarus

Присоединиться

Мы подготовили для вас ответ c подробным объяснением домашего задания по алгебре за 10 класс, для упражнения номер 3.38 расположенного на странице 236 к учебнику 2019 года издания для учащихся школ и гимназий.

Теперь на нашем сайте ГДЗ.ТОП вы всегда легко и бесплатно найдёте условие с правильным ответом на вопрос «Как решить ДЗ» и «Как сделать» задание по алгебре к упражнению №3.38 (с. 236), авторов: Арефьева (Ирина Глебовна), Пирютко (Ольга Николаевна), учебного пособия издательства Народная асвета.