Номер 3.139, страница 264 - гдз по алгебре 10 класс учебник Арефьева, Пирютко

Алгебра, 10 класс Учебник, авторы: Арефьева Ирина Глебовна, Пирютко Ольга Николаевна, издательство Народная асвета, Минск, 2019, голубого цвета

Авторы: Арефьева И. Г., Пирютко О. Н.

Тип: Учебник

Издательство: Народная асвета

Год издания: 2019 - 2026

Цвет обложки: голубой с графиком

Допущено Министерством образования Республики Беларусь

Популярные ГДЗ в 10 классе

Глава 3. Производная. Параграф 21. Применение производной к исследованию функций - номер 3.139, страница 264.

№3.139 (с. 264)
Условие. №3.139 (с. 264)
скриншот условия
Алгебра, 10 класс Учебник, авторы: Арефьева Ирина Глебовна, Пирютко Ольга Николаевна, издательство Народная асвета, Минск, 2019, голубого цвета, страница 264, номер 3.139, Условие

3.139. Исследуйте функцию и постройте ее график:

а) $f(x) = 5x^3 - 3x^5$;

б) $f(x) = x^3 - 4x^2 + 4x$.

Решение. №3.139 (с. 264)
Алгебра, 10 класс Учебник, авторы: Арефьева Ирина Глебовна, Пирютко Ольга Николаевна, издательство Народная асвета, Минск, 2019, голубого цвета, страница 264, номер 3.139, Решение Алгебра, 10 класс Учебник, авторы: Арефьева Ирина Глебовна, Пирютко Ольга Николаевна, издательство Народная асвета, Минск, 2019, голубого цвета, страница 264, номер 3.139, Решение (продолжение 2)
Решение 2. №3.139 (с. 264)

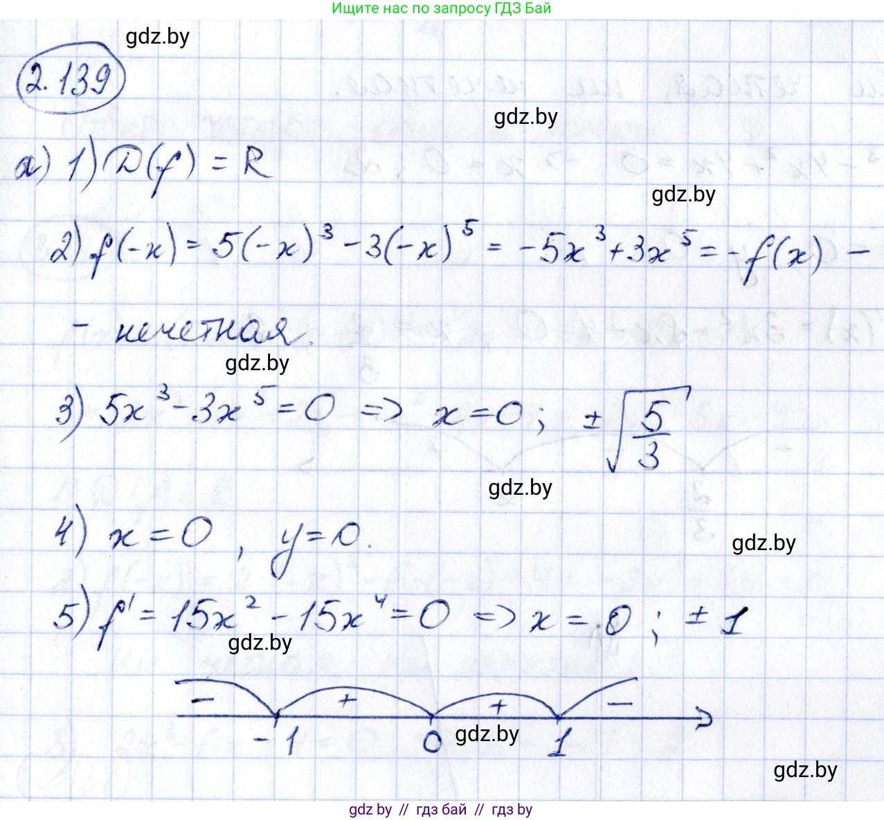
а) $f(x) = 5x^3 - 3x^5$

Проведем полное исследование функции:

  1. Область определения:
    Функция является многочленом, поэтому область определения - все действительные числа. $D(f) = (-\infty; +\infty)$.
  2. Четность и нечетность:
    Найдем $f(-x)$: $f(-x) = 5(-x)^3 - 3(-x)^5 = -5x^3 + 3x^5 = -(5x^3 - 3x^5) = -f(x)$.
    Так как $f(-x) = -f(x)$, функция является нечетной. Ее график симметричен относительно начала координат.
  3. Точки пересечения с осями координат:
    • С осью Oy (при $x=0$): $f(0) = 5 \cdot 0^3 - 3 \cdot 0^5 = 0$. Точка пересечения $(0, 0)$.
    • С осью Ox (при $f(x)=0$): $5x^3 - 3x^5 = 0 \implies x^3(5 - 3x^2) = 0$.
      Корни: $x_1 = 0$, $5 - 3x^2 = 0 \implies x^2 = \frac{5}{3} \implies x_{2,3} = \pm\sqrt{\frac{5}{3}}$.
      Точки пересечения: $(0, 0)$, $(-\sqrt{\frac{5}{3}}, 0)$, $(\sqrt{\frac{5}{3}}, 0)$.
  4. Асимптоты:
    Так как функция является многочленом, вертикальные и наклонные асимптоты отсутствуют.
  5. Промежутки возрастания, убывания и точки экстремума:
    Найдем первую производную: $f'(x) = (5x^3 - 3x^5)' = 15x^2 - 15x^4$.
    Найдем критические точки, приравняв производную к нулю: $15x^2 - 15x^4 = 0 \implies 15x^2(1 - x^2) = 0 \implies 15x^2(1-x)(1+x) = 0$.
    Критические точки: $x = -1, x = 0, x = 1$.
    Исследуем знаки производной на интервалах, образованных критическими точками:
    • $(-\infty; -1)$: $f'(x) < 0$, функция убывает.
    • $(-1; 1)$: $f'(x) \ge 0$, функция возрастает.
    • $(1; +\infty)$: $f'(x) < 0$, функция убывает.
    В точке $x = -1$ производная меняет знак с "-" на "+", следовательно, это точка локального минимума. $f_{min} = f(-1) = 5(-1)^3 - 3(-1)^5 = -5 + 3 = -2$.
    В точке $x = 1$ производная меняет знак с "+" на "-", следовательно, это точка локального максимума. $f_{max} = f(1) = 5(1)^3 - 3(1)^5 = 5 - 3 = 2$.
    В точке $x=0$ производная не меняет знак, экстремума нет.
  6. Промежутки выпуклости, вогнутости и точки перегиба:
    Найдем вторую производную: $f''(x) = (15x^2 - 15x^4)' = 30x - 60x^3$.
    Найдем точки, где вторая производная равна нулю: $30x - 60x^3 = 0 \implies 30x(1 - 2x^2) = 0$.
    Точки: $x = 0$, $x = -\frac{1}{\sqrt{2}}$, $x = \frac{1}{\sqrt{2}}$.
    Исследуем знаки второй производной на интервалах:
    • $(-\infty; -\frac{1}{\sqrt{2}})$: $f''(x) > 0$, график вогнутый (выпуклый вниз).
    • $(-\frac{1}{\sqrt{2}}; 0)$: $f''(x) < 0$, график выпуклый (выпуклый вверх).
    • $(0; \frac{1}{\sqrt{2}})$: $f''(x) > 0$, график вогнутый (выпуклый вниз).
    • $(\frac{1}{\sqrt{2}}; +\infty)$: $f''(x) < 0$, график выпуклый (выпуклый вверх).
    Так как в точках $x = -\frac{1}{\sqrt{2}}, x = 0, x = \frac{1}{\sqrt{2}}$ вторая производная меняет знак, это точки перегиба.
    $f(-\frac{1}{\sqrt{2}}) = 5(-\frac{1}{2\sqrt{2}}) - 3(-\frac{1}{4\sqrt{2}}) = \frac{-10+3}{4\sqrt{2}} = -\frac{7}{4\sqrt{2}} = -\frac{7\sqrt{2}}{8}$.
    $f(0) = 0$.
    $f(\frac{1}{\sqrt{2}}) = \frac{7\sqrt{2}}{8}$.
  7. Построение графика:
    На основе проведенного анализа строим график. Ключевые точки:
    • Пересечение с осями: $(0, 0)$, $(\approx -1.29, 0)$, $(\approx 1.29, 0)$.
    • Экстремумы: локальный минимум $(-1, -2)$, локальный максимум $(1, 2)$.
    • Точки перегиба: $(-\frac{\sqrt{2}}{2}, -\frac{7\sqrt{2}}{8}) \approx (-0.71, -1.24)$, $(0, 0)$, $(\frac{\sqrt{2}}{2}, \frac{7\sqrt{2}}{8}) \approx (0.71, 1.24)$.
    График симметричен относительно начала координат. При $x \to -\infty$, $f(x) \to +\infty$. При $x \to +\infty$, $f(x) \to -\infty$. График идет из $+\infty$ в левой верхней четверти, убывает до точки минимума $(-1, -2)$, затем возрастает, проходя через точку перегиба $(-\frac{\sqrt{2}}{2}, -\frac{7\sqrt{2}}{8})$, начало координат $(0,0)$ (которое также является точкой перегиба) и еще одну точку перегиба $(\frac{\sqrt{2}}{2}, \frac{7\sqrt{2}}{8})$, достигает максимума в точке $(1, 2)$ и затем убывает в $-\infty$ в правой нижней четверти.

Ответ: Функция нечетная, симметрична относительно начала координат. Точки пересечения с осью Ox: $(0,0)$, $(\pm\sqrt{5/3}, 0)$. Точка пересечения с осью Oy: $(0,0)$. Локальный минимум в точке $(-1, -2)$, локальный максимум в точке $(1, 2)$. Точки перегиба: $(0,0)$ и $(\pm\frac{\sqrt{2}}{2}, \pm\frac{7\sqrt{2}}{8})$.

б) $f(x) = x^3 - 4x^2 + 4x$

Проведем полное исследование функции:

  1. Область определения:
    Функция является многочленом, область определения - все действительные числа. $D(f) = (-\infty; +\infty)$.
  2. Четность и нечетность:
    Найдем $f(-x)$: $f(-x) = (-x)^3 - 4(-x)^2 + 4(-x) = -x^3 - 4x^2 - 4x = -(x^3 + 4x^2 + 4x)$.
    Так как $f(-x) \neq f(x)$ и $f(-x) \neq -f(x)$, функция не является ни четной, ни нечетной (функция общего вида).
  3. Точки пересечения с осями координат:
    • С осью Oy (при $x=0$): $f(0) = 0$. Точка $(0, 0)$.
    • С осью Ox (при $f(x)=0$): $x^3 - 4x^2 + 4x = 0 \implies x(x^2 - 4x + 4) = 0 \implies x(x-2)^2 = 0$.
      Корни: $x_1 = 0$, $x_2 = 2$ (корень кратности 2).
      Точки пересечения: $(0, 0)$ и $(2, 0)$. В точке $(2,0)$ график касается оси Ox.
  4. Асимптоты:
    Асимптоты отсутствуют, так как функция является многочленом.
  5. Промежутки возрастания, убывания и точки экстремума:
    Найдем первую производную: $f'(x) = (x^3 - 4x^2 + 4x)' = 3x^2 - 8x + 4$.
    Найдем критические точки ($f'(x)=0$): $3x^2 - 8x + 4 = 0$.
    $x = \frac{-(-8) \pm \sqrt{(-8)^2 - 4 \cdot 3 \cdot 4}}{2 \cdot 3} = \frac{8 \pm \sqrt{64-48}}{6} = \frac{8 \pm \sqrt{16}}{6} = \frac{8 \pm 4}{6}$.
    Критические точки: $x_1 = \frac{8+4}{6} = 2$, $x_2 = \frac{8-4}{6} = \frac{4}{6} = \frac{2}{3}$.
    Исследуем знаки производной (ветви параболы $y=3x^2-8x+4$ направлены вверх):
    • $(-\infty; \frac{2}{3})$: $f'(x) > 0$, функция возрастает.
    • $(\frac{2}{3}; 2)$: $f'(x) < 0$, функция убывает.
    • $(2; +\infty)$: $f'(x) > 0$, функция возрастает.
    В точке $x = \frac{2}{3}$ — точка локального максимума. $f_{max} = f(\frac{2}{3}) = (\frac{2}{3})^3 - 4(\frac{2}{3})^2 + 4(\frac{2}{3}) = \frac{8}{27} - \frac{16}{9} + \frac{8}{3} = \frac{8-48+72}{27} = \frac{32}{27}$.
    В точке $x = 2$ — точка локального минимума. $f_{min} = f(2) = 2^3 - 4(2)^2 + 4(2) = 8 - 16 + 8 = 0$.
  6. Промежутки выпуклости, вогнутости и точки перегиба:
    Найдем вторую производную: $f''(x) = (3x^2 - 8x + 4)' = 6x - 8$.
    Найдем точку перегиба ($f''(x)=0$): $6x - 8 = 0 \implies x = \frac{8}{6} = \frac{4}{3}$.
    Исследуем знаки второй производной:
    • $(-\infty; \frac{4}{3})$: $f''(x) < 0$, график выпуклый (выпуклый вверх).
    • $(\frac{4}{3}; +\infty)$: $f''(x) > 0$, график вогнутый (выпуклый вниз).
    В точке $x = \frac{4}{3}$ график меняет направление выпуклости, это точка перегиба.
    $f(\frac{4}{3}) = (\frac{4}{3})^3 - 4(\frac{4}{3})^2 + 4(\frac{4}{3}) = \frac{64}{27} - 4(\frac{16}{9}) + \frac{16}{3} = \frac{64-192+144}{27} = \frac{16}{27}$.
    Точка перегиба: $(\frac{4}{3}, \frac{16}{27})$.
  7. Построение графика:
    Ключевые точки для построения:
    • Пересечение с осями: $(0, 0)$, $(2, 0)$.
    • Экстремумы: локальный максимум $(\frac{2}{3}, \frac{32}{27}) \approx (0.67, 1.19)$, локальный минимум $(2, 0)$.
    • Точка перегиба: $(\frac{4}{3}, \frac{16}{27}) \approx (1.33, 0.59)$.
    График идет из $-\infty$ в левой нижней четверти, пересекает начало координат, возрастает до точки максимума $(\frac{2}{3}, \frac{32}{27})$, затем убывает, проходит через точку перегиба $(\frac{4}{3}, \frac{16}{27})$ и касается оси Ox в точке минимума $(2, 0)$, после чего возрастает в $+\infty$ в правой верхней четверти.

Ответ: Функция общего вида. Точки пересечения с осями: $(0,0)$ и $(2,0)$. Локальный максимум в точке $(\frac{2}{3}, 1\frac{5}{27})$, локальный минимум в точке $(2, 0)$. Точка перегиба в точке $(\frac{4}{3}, \frac{16}{27})$.

Помогло решение? Оставьте отзыв в комментариях ниже.

Присоединяйтесь к Телеграм-группе @gdz_by_belarus

Присоединиться

Мы подготовили для вас ответ c подробным объяснением домашего задания по алгебре за 10 класс, для упражнения номер 3.139 расположенного на странице 264 к учебнику 2019 года издания для учащихся школ и гимназий.

Теперь на нашем сайте ГДЗ.ТОП вы всегда легко и бесплатно найдёте условие с правильным ответом на вопрос «Как решить ДЗ» и «Как сделать» задание по алгебре к упражнению №3.139 (с. 264), авторов: Арефьева (Ирина Глебовна), Пирютко (Ольга Николаевна), учебного пособия издательства Народная асвета.