Номер 3.136, страница 264 - гдз по алгебре 10 класс учебник Арефьева, Пирютко

Алгебра, 10 класс Учебник, авторы: Арефьева Ирина Глебовна, Пирютко Ольга Николаевна, издательство Народная асвета, Минск, 2019, голубого цвета

Авторы: Арефьева И. Г., Пирютко О. Н.

Тип: Учебник

Издательство: Народная асвета

Год издания: 2019 - 2026

Цвет обложки: голубой с графиком

Допущено Министерством образования Республики Беларусь

Популярные ГДЗ в 10 классе

Глава 3. Производная. Параграф 21. Применение производной к исследованию функций - номер 3.136, страница 264.

№3.136 (с. 264)
Условие. №3.136 (с. 264)
скриншот условия
Алгебра, 10 класс Учебник, авторы: Арефьева Ирина Глебовна, Пирютко Ольга Николаевна, издательство Народная асвета, Минск, 2019, голубого цвета, страница 264, номер 3.136, Условие

3.136. Исследуйте функцию $y = \frac{x^3}{3} + \frac{9}{4}x^2 + 2x - 3$ и постройте ее график.

Решение. №3.136 (с. 264)
Алгебра, 10 класс Учебник, авторы: Арефьева Ирина Глебовна, Пирютко Ольга Николаевна, издательство Народная асвета, Минск, 2019, голубого цвета, страница 264, номер 3.136, Решение
Решение 2. №3.136 (с. 264)

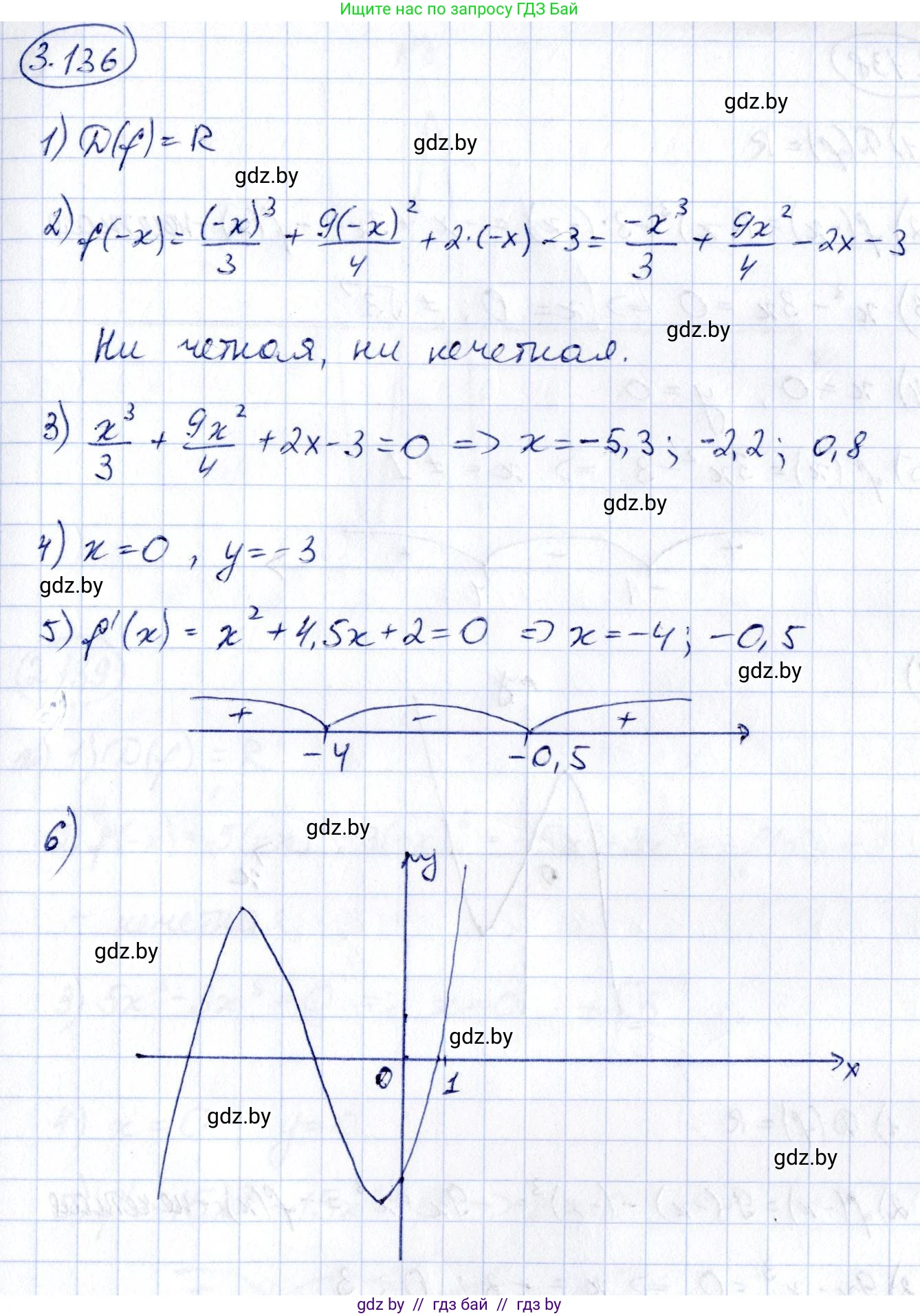
Проведем полное исследование функции $y = \frac{x^3}{3} + \frac{9}{4}x^2 + 2x - 3$ по стандартному плану.

1. Область определения функции

Данная функция является многочленом (полиномом), который определен для всех действительных значений $x$.

Ответ: Область определения функции $D(y) = (-\infty; +\infty)$.

2. Исследование на четность, нечетность и периодичность

Для проверки на четность/нечетность найдем $y(-x)$:

$y(-x) = \frac{(-x)^3}{3} + \frac{9}{4}(-x)^2 + 2(-x) - 3 = -\frac{x^3}{3} + \frac{9}{4}x^2 - 2x - 3$.

Так как $y(-x) \neq y(x)$ и $y(-x) \neq -y(x)$, функция не является ни четной, ни нечетной. Полиномиальные функции (кроме констант) не являются периодическими.

Ответ: Функция общего вида, непериодическая.

3. Точки пересечения с осями координат
  • Пересечение с осью OY (при $x=0$):

    $y(0) = \frac{0^3}{3} + \frac{9}{4}(0)^2 + 2(0) - 3 = -3$.

    Точка пересечения с осью OY: $(0, -3)$.

  • Пересечение с осью OX (при $y=0$):

    $\frac{x^3}{3} + \frac{9}{4}x^2 + 2x - 3 = 0$.

    Для нахождения корней необходимо решить кубическое уравнение $4x^3 + 27x^2 + 24x - 36 = 0$. Аналитическое решение этого уравнения затруднительно.

Ответ: Точка пересечения с осью OY: $(0, -3)$.

4. Исследование на монотонность и точки экстремума

Найдем первую производную функции:

$y' = \left(\frac{x^3}{3} + \frac{9}{4}x^2 + 2x - 3\right)' = x^2 + \frac{9}{2}x + 2$.

Найдем критические точки, приравняв производную к нулю:

$x^2 + \frac{9}{2}x + 2 = 0$

Умножим на 2: $2x^2 + 9x + 4 = 0$.

Дискриминант: $D = 9^2 - 4 \cdot 2 \cdot 4 = 81 - 32 = 49 = 7^2$.

Корни: $x_1 = \frac{-9 - 7}{4} = -4$, $x_2 = \frac{-9 + 7}{4} = -\frac{2}{4} = -\frac{1}{2}$.

Определим знаки производной на интервалах, образованных критическими точками:

  • На интервале $(-\infty, -4)$ производная $y' > 0$, следовательно, функция возрастает.
  • На интервале $(-4, -1/2)$ производная $y' < 0$, следовательно, функция убывает.
  • На интервале $(-1/2, +\infty)$ производная $y' > 0$, следовательно, функция возрастает.

В точке $x=-4$ производная меняет знак с «+» на «−», значит, это точка локального максимума.

$y_{max} = y(-4) = \frac{(-4)^3}{3} + \frac{9}{4}(-4)^2 + 2(-4) - 3 = -\frac{64}{3} + 36 - 8 - 3 = -\frac{64}{3} + 25 = \frac{-64+75}{3} = \frac{11}{3} = 3\frac{2}{3}$.

В точке $x=-1/2$ производная меняет знак с «−» на «+», значит, это точка локального минимума.

$y_{min} = y(-1/2) = \frac{(-1/2)^3}{3} + \frac{9}{4}(-1/2)^2 + 2(-1/2) - 3 = -\frac{1}{24} + \frac{9}{16} - 1 - 3 = \frac{-2+27}{48} - 4 = \frac{25}{48} - \frac{192}{48} = -\frac{167}{48} = -3\frac{23}{48}$.

Ответ: Функция возрастает на промежутках $(-\infty, -4]$ и $[-1/2, +\infty)$, убывает на промежутке $[-4, -1/2]$. Точка максимума: $(-4, 3\frac{2}{3})$. Точка минимума: $(-\frac{1}{2}, -3\frac{23}{48})$.

5. Исследование на выпуклость, вогнутость и точки перегиба

Найдем вторую производную:

$y'' = (x^2 + \frac{9}{2}x + 2)' = 2x + \frac{9}{2}$.

Найдем точки возможного перегиба, приравняв вторую производную к нулю:

$2x + \frac{9}{2} = 0 \implies 2x = -\frac{9}{2} \implies x = -\frac{9}{4} = -2\frac{1}{4}$.

Определим знаки второй производной:

  • При $x \in (-\infty, -9/4)$, $y'' < 0$, график функции выпуклый вверх (вогнутый).
  • При $x \in (-9/4, +\infty)$, $y'' > 0$, график функции выпуклый вниз (выпуклый).

Поскольку в точке $x = -9/4$ вторая производная меняет знак, это точка перегиба. Найдем ординату этой точки:

$y(-\frac{9}{4}) = \frac{(-9/4)^3}{3} + \frac{9}{4}(-\frac{9}{4})^2 + 2(-\frac{9}{4}) - 3 = -\frac{729}{192} + \frac{729}{64} - \frac{9}{2} - 3 = \frac{-729 + 2187}{192} - \frac{9}{2} - 3 = \frac{1458}{192} - \frac{18}{4} - 3 = \frac{243}{32} - \frac{144}{32} - \frac{96}{32} = \frac{3}{32}$.

Ответ: График функции выпуклый вверх на промежутке $(-\infty, -2\frac{1}{4}]$ и выпуклый вниз на промежутке $[-2\frac{1}{4}, +\infty)$. Точка перегиба: $(-2\frac{1}{4}, \frac{3}{32})$.

6. Асимптоты графика функции

Так как функция является многочленом, она непрерывна на всей числовой оси, поэтому вертикальных асимптот нет.

Проверим наличие горизонтальных асимптот:

$\lim_{x \to \pm\infty} \left(\frac{x^3}{3} + \frac{9}{4}x^2 + 2x - 3\right) = \pm\infty$.

Горизонтальных асимптот нет.

Проверим наличие наклонных асимптот вида $y=kx+b$:

$k = \lim_{x \to \pm\infty} \frac{y(x)}{x} = \lim_{x \to \pm\infty} \left(\frac{x^2}{3} + \frac{9}{4}x + 2 - \frac{3}{x}\right) = \infty$.

Так как предел для $k$ не является конечным числом, наклонных асимптот нет.

Ответ: Асимптот у графика функции нет.

7. Построение графика функции

На основе проведенного исследования, сведем данные в таблицу:

$x$ $(-\infty, -4)$ $-4$ $(-4, -2\frac{1}{4})$ $-2\frac{1}{4}$ $(-2\frac{1}{4}, -\frac{1}{2})$ $-\frac{1}{2}$ $(-\frac{1}{2}, +\infty)$
$y'$ + 0 - - - 0 +
$y''$ - - - 0 + + +
$y$ возрастает, выпукла вверх $3\frac{2}{3}$
(max)
убывает, выпукла вверх $\frac{3}{32}$
(перегиб)
убывает, выпукла вниз $-3\frac{23}{48}$
(min)
возрастает, выпукла вниз

Для построения графика отметим на координатной плоскости ключевые точки:

  • Точка максимума: $(-4, 3\frac{2}{3}) \approx (-4; 3.67)$
  • Точка минимума: $(-\frac{1}{2}, -3\frac{23}{48}) \approx (-0.5; -3.48)$
  • Точка перегиба: $(-2\frac{1}{4}, \frac{3}{32}) \approx (-2.25; 0.09)$
  • Точка пересечения с осью OY: $(0, -3)$

Проведем через эти точки плавную кривую, учитывая интервалы монотонности и выпуклости. График начинается в левом нижнем квадранте, поднимается до точки максимума, затем опускается, пересекая ось ОХ, проходит через точку перегиба, достигает точки минимума, пересекает ось OY в точке (0, -3) и уходит в правый верхний квадрант.

Ответ: График функции — кубическая парабола, построенная на основе найденных точек экстремума, точки перегиба и с учетом интервалов монотонности и выпуклости.

Помогло решение? Оставьте отзыв в комментариях ниже.

Присоединяйтесь к Телеграм-группе @gdz_by_belarus

Присоединиться

Мы подготовили для вас ответ c подробным объяснением домашего задания по алгебре за 10 класс, для упражнения номер 3.136 расположенного на странице 264 к учебнику 2019 года издания для учащихся школ и гимназий.

Теперь на нашем сайте ГДЗ.ТОП вы всегда легко и бесплатно найдёте условие с правильным ответом на вопрос «Как решить ДЗ» и «Как сделать» задание по алгебре к упражнению №3.136 (с. 264), авторов: Арефьева (Ирина Глебовна), Пирютко (Ольга Николаевна), учебного пособия издательства Народная асвета.