Номер 3.110, страница 255 - гдз по алгебре 10 класс учебник Арефьева, Пирютко

Алгебра, 10 класс Учебник, авторы: Арефьева Ирина Глебовна, Пирютко Ольга Николаевна, издательство Народная асвета, Минск, 2019, голубого цвета

Авторы: Арефьева И. Г., Пирютко О. Н.

Тип: Учебник

Издательство: Народная асвета

Год издания: 2019 - 2026

Цвет обложки: голубой с графиком

Допущено Министерством образования Республики Беларусь

Популярные ГДЗ в 10 классе

Глава 3. Производная. Параграф 20. Геометрический смысл производной. Связь между знаком производной функции и ее возрастанием или убыванием - номер 3.110, страница 255.

№3.110 (с. 255)
Условие. №3.110 (с. 255)
скриншот условия
Алгебра, 10 класс Учебник, авторы: Арефьева Ирина Глебовна, Пирютко Ольга Николаевна, издательство Народная асвета, Минск, 2019, голубого цвета, страница 255, номер 3.110, Условие

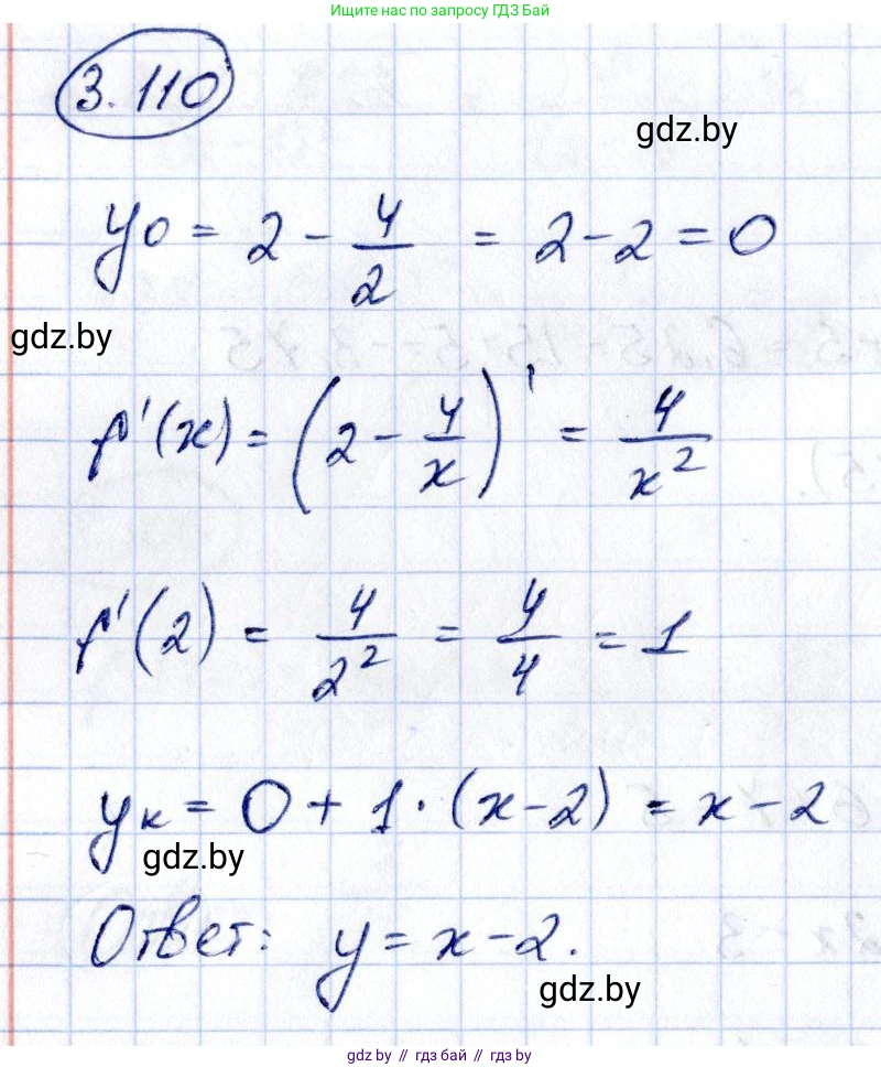
3.110. Составьте уравнение касательной к графику функции $f(x) = 2 - \frac{4}{x}$ в точке $x_0 = 2$.

Решение. №3.110 (с. 255)
Алгебра, 10 класс Учебник, авторы: Арефьева Ирина Глебовна, Пирютко Ольга Николаевна, издательство Народная асвета, Минск, 2019, голубого цвета, страница 255, номер 3.110, Решение
Решение 2. №3.110 (с. 255)

Уравнение касательной к графику функции $y = f(x)$ в точке с абсциссой $x_0$ имеет вид:

$y = f(x_0) + f'(x_0)(x - x_0)$

Для составления уравнения необходимо найти три величины: $x_0$, $f(x_0)$ и $f'(x_0)$.

По условию задачи дано:

  • Функция: $f(x) = 2 - \frac{4}{x}$
  • Точка касания: $x_0 = 2$

1. Найдем значение функции в точке касания $x_0 = 2$:

$f(x_0) = f(2) = 2 - \frac{4}{2} = 2 - 2 = 0$

Таким образом, точка касания имеет координаты $(2; 0)$.

2. Найдем производную функции $f(x)$. Для этого представим функцию в виде $f(x) = 2 - 4x^{-1}$ и применим правило дифференцирования:

$f'(x) = \left(2 - 4x^{-1}\right)' = (2)' - (4x^{-1})' = 0 - 4 \cdot (-1)x^{-1-1} = 4x^{-2} = \frac{4}{x^2}$

3. Найдем значение производной в точке $x_0 = 2$. Это значение является угловым коэффициентом $k$ касательной.

$f'(x_0) = f'(2) = \frac{4}{2^2} = \frac{4}{4} = 1$

4. Теперь у нас есть все необходимые данные: $x_0 = 2$, $f(x_0) = 0$, $f'(x_0) = 1$. Подставим их в общую формулу уравнения касательной:

$y = 0 + 1 \cdot (x - 2)$

Упростив выражение, получаем искомое уравнение касательной.

$y = x - 2$

Ответ: $y = x - 2$

Помогло решение? Оставьте отзыв в комментариях ниже.

Присоединяйтесь к Телеграм-группе @gdz_by_belarus

Присоединиться

Мы подготовили для вас ответ c подробным объяснением домашего задания по алгебре за 10 класс, для упражнения номер 3.110 расположенного на странице 255 к учебнику 2019 года издания для учащихся школ и гимназий.

Теперь на нашем сайте ГДЗ.ТОП вы всегда легко и бесплатно найдёте условие с правильным ответом на вопрос «Как решить ДЗ» и «Как сделать» задание по алгебре к упражнению №3.110 (с. 255), авторов: Арефьева (Ирина Глебовна), Пирютко (Ольга Николаевна), учебного пособия издательства Народная асвета.