Номер 3.109, страница 255 - гдз по алгебре 10 класс учебник Арефьева, Пирютко

Алгебра, 10 класс Учебник, авторы: Арефьева Ирина Глебовна, Пирютко Ольга Николаевна, издательство Народная асвета, Минск, 2019, голубого цвета

Авторы: Арефьева И. Г., Пирютко О. Н.

Тип: Учебник

Издательство: Народная асвета

Год издания: 2019 - 2026

Цвет обложки: голубой с графиком

Допущено Министерством образования Республики Беларусь

Популярные ГДЗ в 10 классе

Глава 3. Производная. Параграф 20. Геометрический смысл производной. Связь между знаком производной функции и ее возрастанием или убыванием - номер 3.109, страница 255.

№3.109 (с. 255)
Условие. №3.109 (с. 255)
скриншот условия
Алгебра, 10 класс Учебник, авторы: Арефьева Ирина Глебовна, Пирютко Ольга Николаевна, издательство Народная асвета, Минск, 2019, голубого цвета, страница 255, номер 3.109, Условие

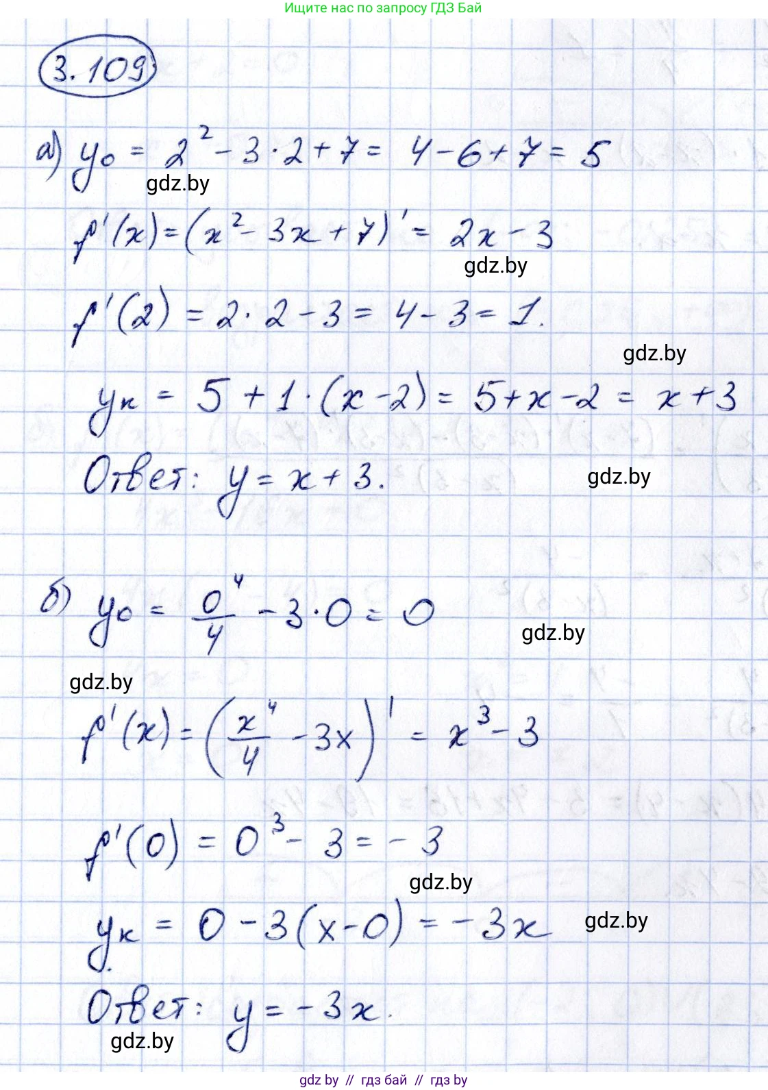
3.109. Составьте уравнение касательной к графику функции $y = f(x)$ в точке с абсциссой $x_0$:

а) $f(x) = x^2 - 3x + 7, x_0 = 2;$

б) $f(x) = \frac{x^4}{4} - 3x, x_0 = 0.$

Решение. №3.109 (с. 255)
Алгебра, 10 класс Учебник, авторы: Арефьева Ирина Глебовна, Пирютко Ольга Николаевна, издательство Народная асвета, Минск, 2019, голубого цвета, страница 255, номер 3.109, Решение
Решение 2. №3.109 (с. 255)

Уравнение касательной к графику функции $y = f(x)$ в точке с абсциссой $x_0$ имеет общий вид:

$y = f(x_0) + f'(x_0)(x - x_0)$

а) Для функции $f(x) = x^2 - 3x + 7$ в точке $x_0 = 2$.

1. Найдем значение функции в точке касания $x_0 = 2$:

$f(x_0) = f(2) = 2^2 - 3 \cdot 2 + 7 = 4 - 6 + 7 = 5$.

2. Найдем производную функции $f(x)$:

$f'(x) = (x^2 - 3x + 7)' = 2x - 3$.

3. Найдем значение производной в точке $x_0 = 2$. Это значение является угловым коэффициентом касательной.

$f'(x_0) = f'(2) = 2 \cdot 2 - 3 = 4 - 3 = 1$.

4. Подставим найденные значения $f(x_0)=5$, $f'(x_0)=1$ и $x_0=2$ в уравнение касательной:

$y = 5 + 1 \cdot (x - 2)$

Упростим полученное выражение:

$y = 5 + x - 2$

$y = x + 3$

Ответ: $y = x + 3$.

б) Для функции $f(x) = \frac{x^4}{4} - 3x$ в точке $x_0 = 0$.

1. Найдем значение функции в точке касания $x_0 = 0$:

$f(x_0) = f(0) = \frac{0^4}{4} - 3 \cdot 0 = 0 - 0 = 0$.

2. Найдем производную функции $f(x)$:

$f'(x) = (\frac{x^4}{4} - 3x)' = \frac{1}{4} \cdot (x^4)' - (3x)' = \frac{1}{4} \cdot 4x^3 - 3 = x^3 - 3$.

3. Найдем значение производной в точке $x_0 = 0$:

$f'(x_0) = f'(0) = 0^3 - 3 = -3$.

4. Подставим найденные значения $f(x_0)=0$, $f'(x_0)=-3$ и $x_0=0$ в уравнение касательной:

$y = 0 + (-3) \cdot (x - 0)$

Упростим полученное выражение:

$y = -3x$

Ответ: $y = -3x$.

Помогло решение? Оставьте отзыв в комментариях ниже.

Присоединяйтесь к Телеграм-группе @gdz_by_belarus

Присоединиться

Мы подготовили для вас ответ c подробным объяснением домашего задания по алгебре за 10 класс, для упражнения номер 3.109 расположенного на странице 255 к учебнику 2019 года издания для учащихся школ и гимназий.

Теперь на нашем сайте ГДЗ.ТОП вы всегда легко и бесплатно найдёте условие с правильным ответом на вопрос «Как решить ДЗ» и «Как сделать» задание по алгебре к упражнению №3.109 (с. 255), авторов: Арефьева (Ирина Глебовна), Пирютко (Ольга Николаевна), учебного пособия издательства Народная асвета.