Номер 1.529, страница 156 - гдз по алгебре 10 класс учебник Арефьева, Пирютко

Алгебра, 10 класс Учебник, авторы: Арефьева Ирина Глебовна, Пирютко Ольга Николаевна, издательство Народная асвета, Минск, 2019, голубого цвета

Авторы: Арефьева И. Г., Пирютко О. Н.

Тип: Учебник

Издательство: Народная асвета

Год издания: 2019 - 2026

Цвет обложки: голубой с графиком

Допущено Министерством образования Республики Беларусь

Популярные ГДЗ в 10 классе

Глава 1. Тригонометрия. Параграф 12. Формулы преобразования суммы и разности синусов (косинусов) в произведение - номер 1.529, страница 156.

№1.529 (с. 156)
Условие. №1.529 (с. 156)
скриншот условия
Алгебра, 10 класс Учебник, авторы: Арефьева Ирина Глебовна, Пирютко Ольга Николаевна, издательство Народная асвета, Минск, 2019, голубого цвета, страница 156, номер 1.529, Условие

1.529. Решите уравнение:

а) $ \cos x - \sin 3x = \cos 5x; $

б) $ 5\sin 2x = \sin 9x - \sin 5x; $

в) $ \sin x \cos 2x - \cos x \sin 2x = \sin 3x; $

г) $ \sin 3x + \sin x = 2\sin^2 2x. $

Решение. №1.529 (с. 156)
Алгебра, 10 класс Учебник, авторы: Арефьева Ирина Глебовна, Пирютко Ольга Николаевна, издательство Народная асвета, Минск, 2019, голубого цвета, страница 156, номер 1.529, Решение Алгебра, 10 класс Учебник, авторы: Арефьева Ирина Глебовна, Пирютко Ольга Николаевна, издательство Народная асвета, Минск, 2019, голубого цвета, страница 156, номер 1.529, Решение (продолжение 2)
Решение 2. №1.529 (с. 156)

а) Исходное уравнение: $ \cos x - \sin 3x = \cos 5x $.

Перенесем $ \cos 5x $ в левую часть уравнения, чтобы сгруппировать косинусы:

$ \cos x - \cos 5x = \sin 3x $

Применим формулу разности косинусов $ \cos\alpha - \cos\beta = -2\sin\frac{\alpha+\beta}{2}\sin\frac{\alpha-\beta}{2} $ к левой части:

$ -2\sin\frac{x+5x}{2}\sin\frac{x-5x}{2} = \sin 3x $

$ -2\sin(3x)\sin(-2x) = \sin 3x $

Используя свойство нечетности синуса $ \sin(-u) = -\sin u $, получаем:

$ 2\sin(3x)\sin(2x) = \sin 3x $

Перенесем все в одну сторону и вынесем общий множитель за скобки:

$ 2\sin(3x)\sin(2x) - \sin 3x = 0 $

$ \sin 3x (2\sin 2x - 1) = 0 $

Произведение равно нулю, когда хотя бы один из множителей равен нулю. Получаем два случая:

1) $ \sin 3x = 0 $

$ 3x = \pi k $, где $ k \in Z $

$ x = \frac{\pi k}{3}, k \in Z $

2) $ 2\sin 2x - 1 = 0 \implies \sin 2x = \frac{1}{2} $

$ 2x = (-1)^n \arcsin\left(\frac{1}{2}\right) + \pi n $, где $ n \in Z $

$ 2x = (-1)^n \frac{\pi}{6} + \pi n, n \in Z $

$ x = (-1)^n \frac{\pi}{12} + \frac{\pi n}{2}, n \in Z $

Ответ: $ x = \frac{\pi k}{3}; \quad x = (-1)^n \frac{\pi}{12} + \frac{\pi n}{2} $, где $ k, n \in Z $.

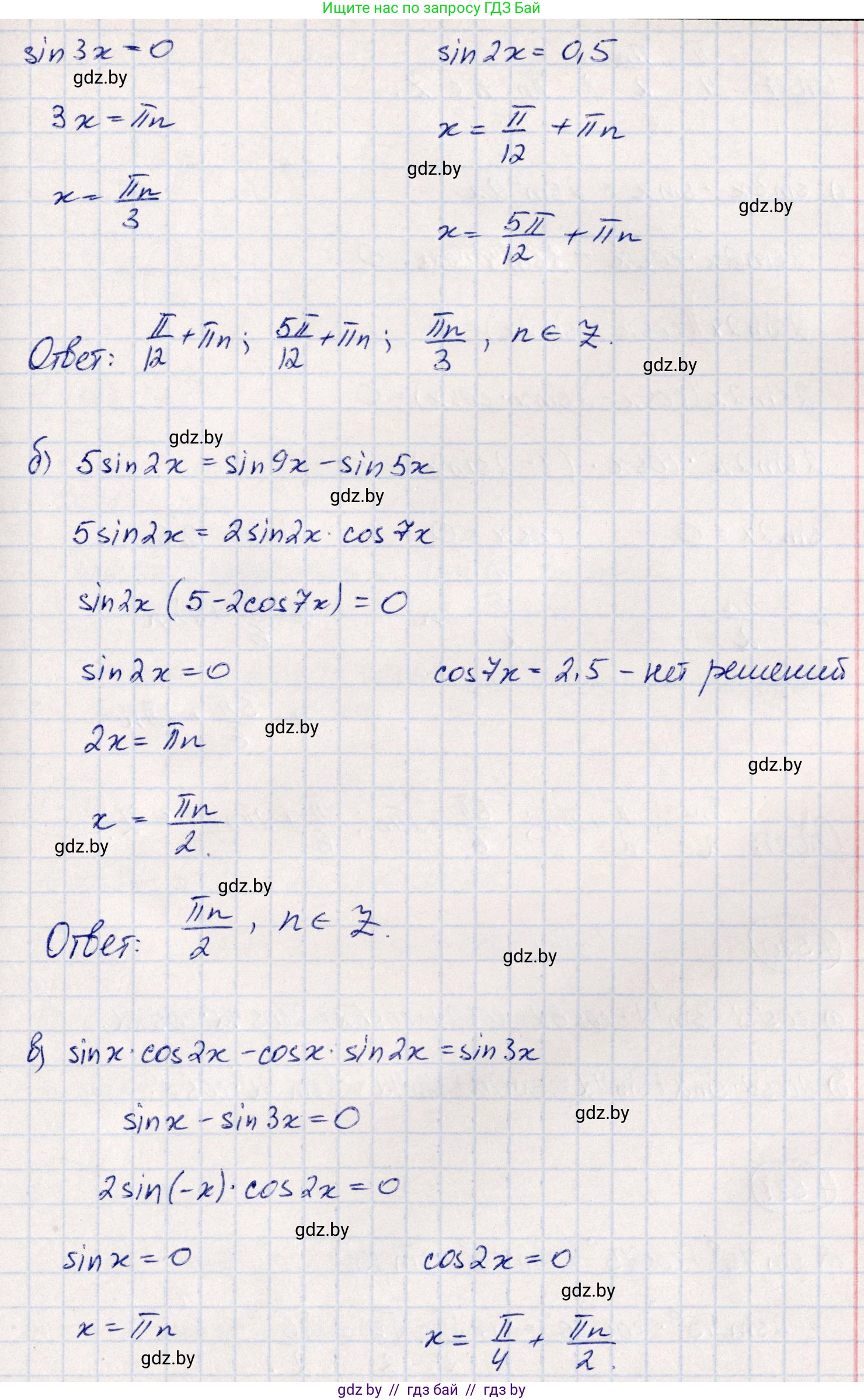
б) Исходное уравнение: $ 5\sin 2x = \sin 9x - \sin 5x $.

Применим к правой части уравнения формулу разности синусов $ \sin\alpha - \sin\beta = 2\cos\frac{\alpha+\beta}{2}\sin\frac{\alpha-\beta}{2} $:

$ \sin 9x - \sin 5x = 2\cos\frac{9x+5x}{2}\sin\frac{9x-5x}{2} = 2\cos(7x)\sin(2x) $

Подставим это в исходное уравнение:

$ 5\sin 2x = 2\cos(7x)\sin(2x) $

Перенесем все члены в левую часть и вынесем общий множитель $ \sin 2x $:

$ 5\sin 2x - 2\cos(7x)\sin(2x) = 0 $

$ \sin 2x (5 - 2\cos 7x) = 0 $

Рассмотрим два случая:

1) $ \sin 2x = 0 $

$ 2x = \pi k $, где $ k \in Z $

$ x = \frac{\pi k}{2}, k \in Z $

2) $ 5 - 2\cos 7x = 0 \implies \cos 7x = \frac{5}{2} $

Так как значение косинуса не может превышать 1, а $ \frac{5}{2} > 1 $, это уравнение не имеет решений.

Таким образом, единственным решением является результат из первого случая.

Ответ: $ x = \frac{\pi k}{2} $, где $ k \in Z $.

в) Исходное уравнение: $ \sin x \cos 2x - \cos x \sin 2x = \sin 3x $.

Левая часть уравнения представляет собой формулу синуса разности $ \sin(\alpha - \beta) = \sin\alpha\cos\beta - \cos\alpha\sin\beta $:

$ \sin x \cos 2x - \cos x \sin 2x = \sin(x-2x) = \sin(-x) $

Используя нечетность синуса, $ \sin(-x) = -\sin x $, уравнение принимает вид:

$ -\sin x = \sin 3x $

$ \sin 3x + \sin x = 0 $

Применим формулу суммы синусов $ \sin\alpha + \sin\beta = 2\sin\frac{\alpha+\beta}{2}\cos\frac{\alpha-\beta}{2} $:

$ 2\sin\frac{3x+x}{2}\cos\frac{3x-x}{2} = 0 $

$ 2\sin(2x)\cos(x) = 0 $

Это уравнение распадается на два:

1) $ \sin 2x = 0 \implies 2x = \pi k \implies x = \frac{\pi k}{2}, k \in Z $

2) $ \cos x = 0 \implies x = \frac{\pi}{2} + \pi n, n \in Z $

Заметим, что вторая серия решений $ x = \frac{\pi}{2} + \pi n = \frac{(2n+1)\pi}{2} $ является подмножеством первой серии $ x = \frac{\pi k}{2} $ (при нечетных значениях $ k $). Поэтому все решения можно объединить в одну формулу.

Ответ: $ x = \frac{\pi k}{2} $, где $ k \in Z $.

г) Исходное уравнение: $ \sin 3x + \sin x = 2\sin^2 2x $.

Применим к левой части формулу суммы синусов $ \sin\alpha + \sin\beta = 2\sin\frac{\alpha+\beta}{2}\cos\frac{\alpha-\beta}{2} $:

$ \sin 3x + \sin x = 2\sin\frac{3x+x}{2}\cos\frac{3x-x}{2} = 2\sin(2x)\cos(x) $

Уравнение принимает вид:

$ 2\sin(2x)\cos(x) = 2\sin^2(2x) $

Перенесем все в одну сторону и разделим на 2:

$ \sin(2x)\cos(x) - \sin^2(2x) = 0 $

Вынесем общий множитель $ \sin(2x) $ за скобки:

$ \sin(2x)(\cos x - \sin 2x) = 0 $

Получаем два случая:

1) $ \sin 2x = 0 $

$ 2x = \pi k \implies x = \frac{\pi k}{2}, k \in Z $

2) $ \cos x - \sin 2x = 0 $

Используем формулу двойного угла $ \sin 2x = 2\sin x \cos x $:

$ \cos x - 2\sin x \cos x = 0 $

$ \cos x(1 - 2\sin x) = 0 $

Это уравнение также распадается на два:

2а) $ \cos x = 0 \implies x = \frac{\pi}{2} + \pi n, n \in Z $. Эта серия решений уже содержится в решении $ x = \frac{\pi k}{2} $.

2б) $ 1 - 2\sin x = 0 \implies \sin x = \frac{1}{2} $

$ x = (-1)^m \frac{\pi}{6} + \pi m, m \in Z $

Объединяя все найденные серии решений, получаем окончательный ответ.

Ответ: $ x = \frac{\pi k}{2}; \quad x = (-1)^m \frac{\pi}{6} + \pi m $, где $ k, m \in Z $.

Помогло решение? Оставьте отзыв в комментариях ниже.

Присоединяйтесь к Телеграм-группе @gdz_by_belarus

Присоединиться

Мы подготовили для вас ответ c подробным объяснением домашего задания по алгебре за 10 класс, для упражнения номер 1.529 расположенного на странице 156 к учебнику 2019 года издания для учащихся школ и гимназий.

Теперь на нашем сайте ГДЗ.ТОП вы всегда легко и бесплатно найдёте условие с правильным ответом на вопрос «Как решить ДЗ» и «Как сделать» задание по алгебре к упражнению №1.529 (с. 156), авторов: Арефьева (Ирина Глебовна), Пирютко (Ольга Николаевна), учебного пособия издательства Народная асвета.