Номер 1.536, страница 157 - гдз по алгебре 10 класс учебник Арефьева, Пирютко

Алгебра, 10 класс Учебник, авторы: Арефьева Ирина Глебовна, Пирютко Ольга Николаевна, издательство Народная асвета, Минск, 2019, голубого цвета

Авторы: Арефьева И. Г., Пирютко О. Н.

Тип: Учебник

Издательство: Народная асвета

Год издания: 2019 - 2026

Цвет обложки: голубой с графиком

Допущено Министерством образования Республики Беларусь

Популярные ГДЗ в 10 классе

Глава 1. Тригонометрия. Параграф 12. Формулы преобразования суммы и разности синусов (косинусов) в произведение - номер 1.536, страница 157.

№1.536 (с. 157)
Условие. №1.536 (с. 157)
скриншот условия
Алгебра, 10 класс Учебник, авторы: Арефьева Ирина Глебовна, Пирютко Ольга Николаевна, издательство Народная асвета, Минск, 2019, голубого цвета, страница 157, номер 1.536, Условие

1.536. Решите уравнение:

а) $ \cos 5x = \cos 7x; $

б) $ \sin \left(6x - \frac{\pi}{3}\right) = \sin \left(2x + \frac{\pi}{4}\right); $

в) $ \cos(40^{\circ} - x) + \cos(80^{\circ} + x) = 1. $

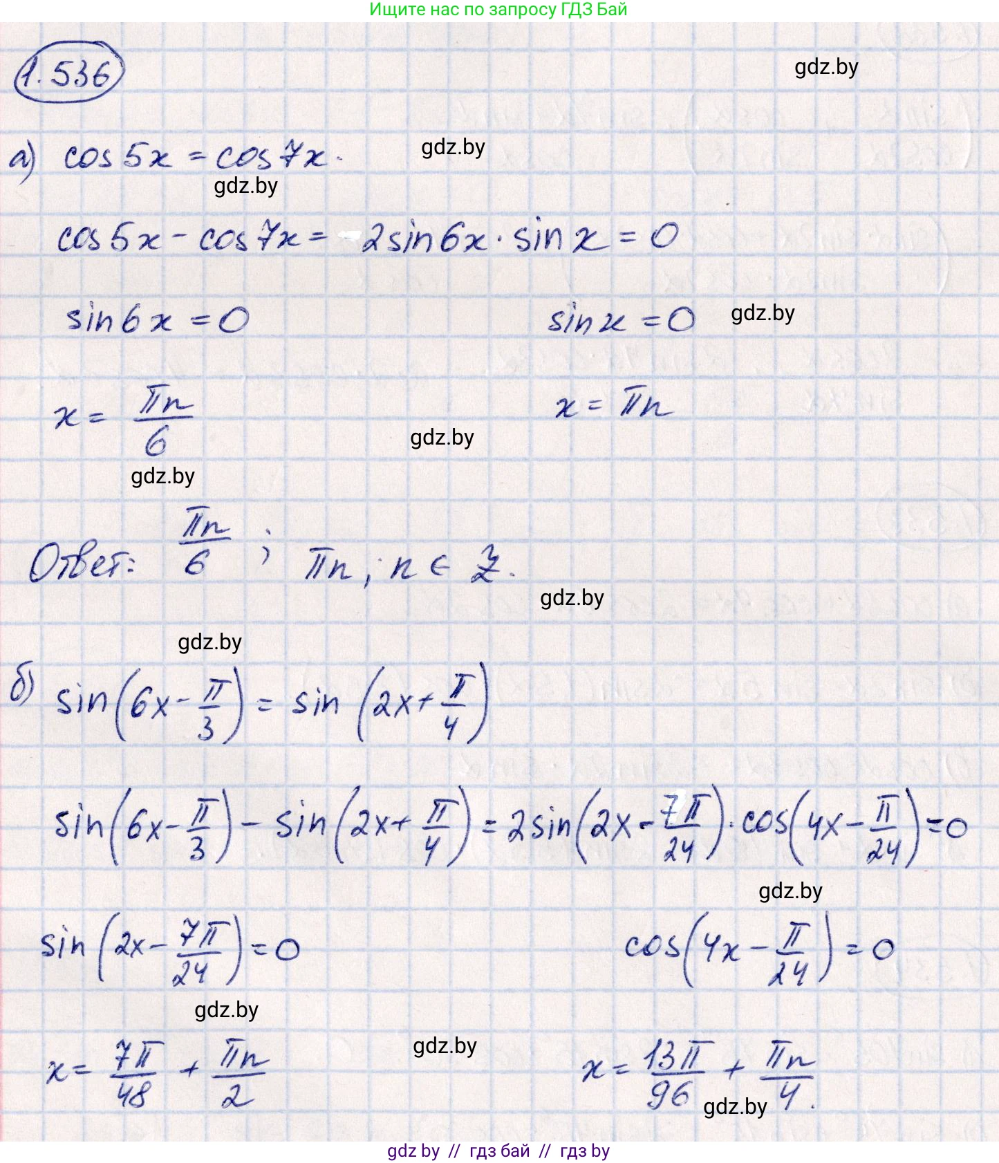
Решение. №1.536 (с. 157)
Алгебра, 10 класс Учебник, авторы: Арефьева Ирина Глебовна, Пирютко Ольга Николаевна, издательство Народная асвета, Минск, 2019, голубого цвета, страница 157, номер 1.536, Решение Алгебра, 10 класс Учебник, авторы: Арефьева Ирина Глебовна, Пирютко Ольга Николаевна, издательство Народная асвета, Минск, 2019, голубого цвета, страница 157, номер 1.536, Решение (продолжение 2)
Решение 2. №1.536 (с. 157)

а) $ \cos 5x = \cos 7x $

Данное уравнение можно решить, используя условие равенства косинусов: $ \cos \alpha = \cos \beta \Leftrightarrow \alpha = \pm \beta + 2\pi k, k \in \mathbb{Z} $.

В нашем случае $ \alpha = 5x $ и $ \beta = 7x $. Раскроем это в совокупность двух уравнений:

1) $ 5x = 7x + 2\pi k $

$ -2x = 2\pi k $

$ x = -\pi k $

Так как $k$ — любое целое число, то $ -k $ также является любым целым числом. Можем заменить $ -k $ на $n$ ($ n \in \mathbb{Z} $):

$ x = \pi n, n \in \mathbb{Z} $

2) $ 5x = -7x + 2\pi m $ (используем другую букву для целого числа, чтобы не путать)

$ 12x = 2\pi m $

$ x = \frac{2\pi m}{12} $

$ x = \frac{\pi m}{6}, m \in \mathbb{Z} $

Первая серия решений $ x = \pi n $ является подмножеством второй серии $ x = \frac{\pi m}{6} $ (когда $ m $ является кратным 6, т.е. $ m=6n $). Следовательно, все решения можно описать одной формулой.

Ответ: $ x = \frac{\pi n}{6}, n \in \mathbb{Z} $.

б) $ \sin(6x - \frac{\pi}{3}) = \sin(2x + \frac{\pi}{4}) $

Условие равенства синусов: $ \sin \alpha = \sin \beta \Leftrightarrow \alpha = \beta + 2\pi k $ или $ \alpha = \pi - \beta + 2\pi k $, где $ k \in \mathbb{Z} $.

Рассмотрим оба случая:

1) $ 6x - \frac{\pi}{3} = 2x + \frac{\pi}{4} + 2\pi k $

$ 6x - 2x = \frac{\pi}{3} + \frac{\pi}{4} + 2\pi k $

$ 4x = \frac{4\pi + 3\pi}{12} + 2\pi k $

$ 4x = \frac{7\pi}{12} + 2\pi k $

$ x = \frac{7\pi}{4 \cdot 12} + \frac{2\pi k}{4} $

$ x = \frac{7\pi}{48} + \frac{\pi k}{2}, k \in \mathbb{Z} $

2) $ 6x - \frac{\pi}{3} = \pi - (2x + \frac{\pi}{4}) + 2\pi n $

$ 6x - \frac{\pi}{3} = \pi - 2x - \frac{\pi}{4} + 2\pi n $

$ 6x + 2x = \pi + \frac{\pi}{3} - \frac{\pi}{4} + 2\pi n $

$ 8x = \frac{12\pi + 4\pi - 3\pi}{12} + 2\pi n $

$ 8x = \frac{13\pi}{12} + 2\pi n $

$ x = \frac{13\pi}{8 \cdot 12} + \frac{2\pi n}{8} $

$ x = \frac{13\pi}{96} + \frac{\pi n}{4}, n \in \mathbb{Z} $

Ответ: $ x = \frac{7\pi}{48} + \frac{\pi k}{2}, k \in \mathbb{Z} $; $ x = \frac{13\pi}{96} + \frac{\pi n}{4}, n \in \mathbb{Z} $.

в) $ \cos(40^\circ - x) + \cos(80^\circ + x) = 1 $

Для решения применим формулу суммы косинусов: $ \cos \alpha + \cos \beta = 2 \cos \frac{\alpha + \beta}{2} \cos \frac{\alpha - \beta}{2} $.

В данном уравнении $ \alpha = 40^\circ - x $ и $ \beta = 80^\circ + x $.

Найдем полусумму и полуразность аргументов:

$ \frac{\alpha + \beta}{2} = \frac{(40^\circ - x) + (80^\circ + x)}{2} = \frac{120^\circ}{2} = 60^\circ $

$ \frac{\alpha - \beta}{2} = \frac{(40^\circ - x) - (80^\circ + x)}{2} = \frac{40^\circ - x - 80^\circ - x}{2} = \frac{-40^\circ - 2x}{2} = -20^\circ - x $

Подставим полученные значения в уравнение:

$ 2 \cos(60^\circ) \cos(-20^\circ - x) = 1 $

Мы знаем, что $ \cos(60^\circ) = \frac{1}{2} $. Также используем свойство чётности косинуса $ \cos(-\gamma) = \cos(\gamma) $, поэтому $ \cos(-20^\circ - x) = \cos(20^\circ + x) $.

$ 2 \cdot \frac{1}{2} \cdot \cos(20^\circ + x) = 1 $

$ \cos(20^\circ + x) = 1 $

Это простейшее тригонометрическое уравнение. Косинус равен единице, когда его аргумент равен $ 360^\circ k $, где $ k \in \mathbb{Z} $.

$ 20^\circ + x = 360^\circ k $

$ x = -20^\circ + 360^\circ k, k \in \mathbb{Z} $

Ответ: $ x = -20^\circ + 360^\circ k, k \in \mathbb{Z} $.

Помогло решение? Оставьте отзыв в комментариях ниже.

Присоединяйтесь к Телеграм-группе @gdz_by_belarus

Присоединиться

Мы подготовили для вас ответ c подробным объяснением домашего задания по алгебре за 10 класс, для упражнения номер 1.536 расположенного на странице 157 к учебнику 2019 года издания для учащихся школ и гимназий.

Теперь на нашем сайте ГДЗ.ТОП вы всегда легко и бесплатно найдёте условие с правильным ответом на вопрос «Как решить ДЗ» и «Как сделать» задание по алгебре к упражнению №1.536 (с. 157), авторов: Арефьева (Ирина Глебовна), Пирютко (Ольга Николаевна), учебного пособия издательства Народная асвета.