Номер 13.6, страница 74 - гдз по алгебре 10 класс сборник задач Арефьева, Пирютко

Алгебра, 10 класс Сборник задач, авторы: Арефьева Ирина Глебовна, Пирютко Ольга Николаевна, издательство Народная асвета, Минск, 2020, белого цвета

Авторы: Арефьева И. Г., Пирютко О. Н.

Тип: Сборник задач

Издательство: Народная асвета

Год издания: 2020 - 2026

Уровень обучения: базовый и повышенный

Цвет обложки: белый, голубой с графиком

Допущено Министерством образования Республики Беларусь

Популярные ГДЗ в 10 классе

Глава 3. Тригонометрия. Параграф 13. Тригонометрические уравнения. Тригонометрические неравенства - номер 13.6, страница 74.

№13.6 (с. 74)
Условие. №13.6 (с. 74)
скриншот условия
Алгебра, 10 класс Сборник задач, авторы: Арефьева Ирина Глебовна, Пирютко Ольга Николаевна, издательство Народная асвета, Минск, 2020, белого цвета, страница 74, номер 13.6, Условие

13.6. Найдите все корни уравнения:

a) $2\sin^2 x - (12-\sqrt{2})\sin x - 6\sqrt{2} = 0;$

б) $2\cos^2 x + (8-\sqrt{3})\cos x - 4\sqrt{3} = 0.$

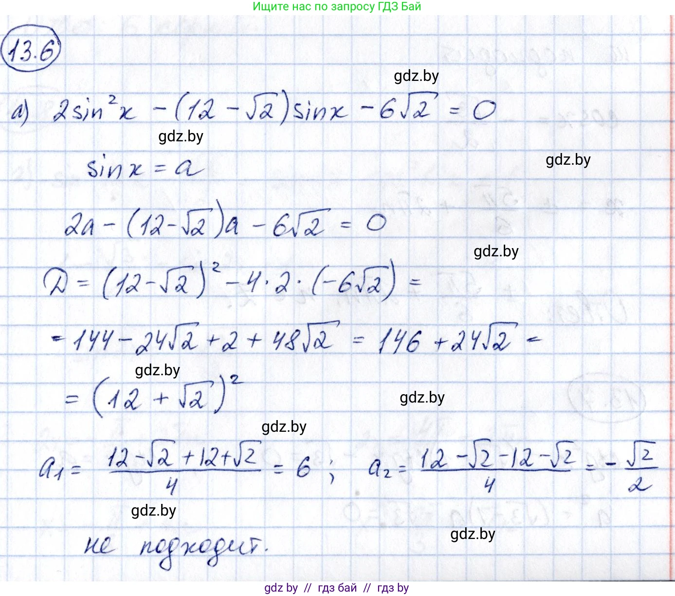
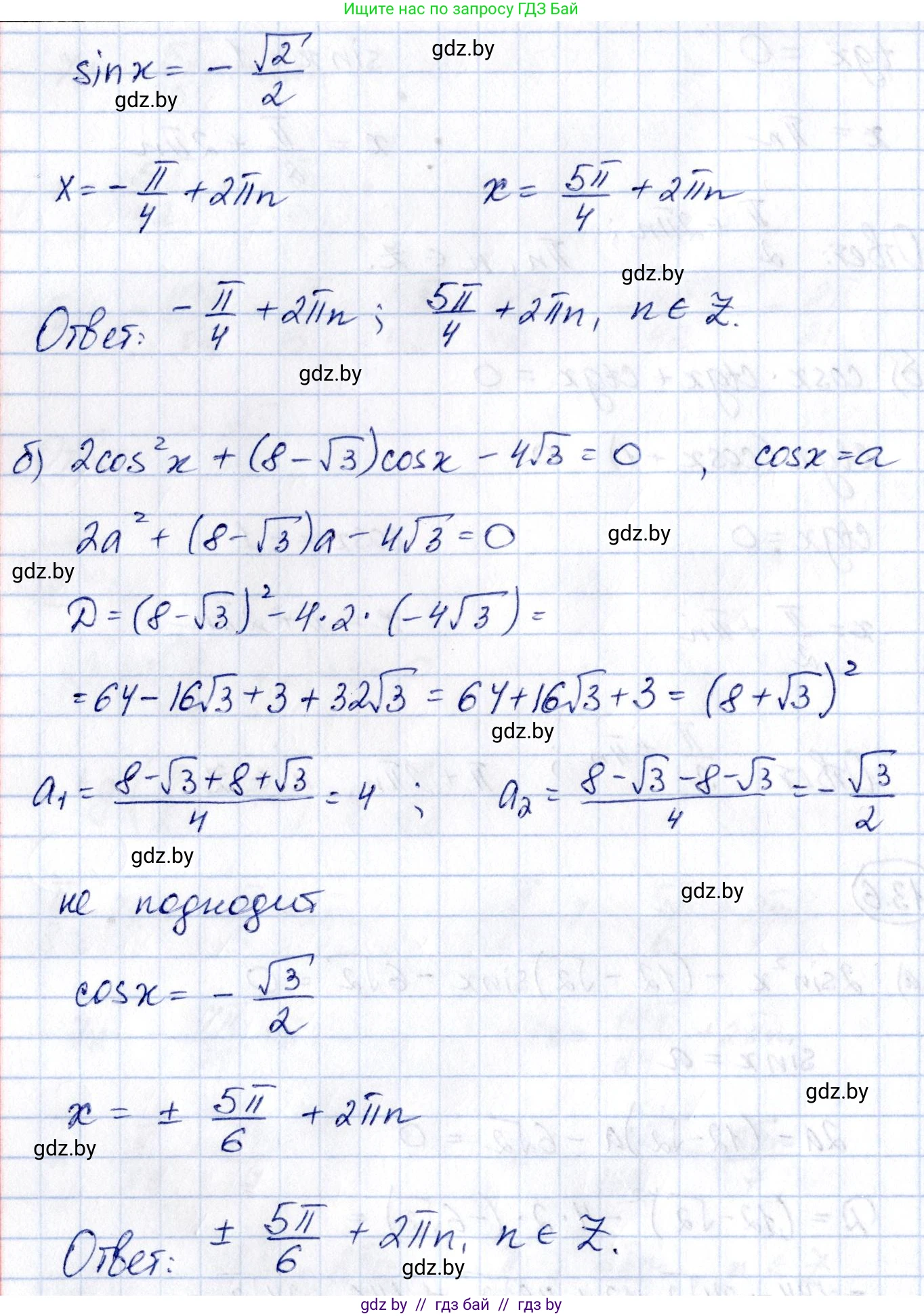
Решение. №13.6 (с. 74)
Алгебра, 10 класс Сборник задач, авторы: Арефьева Ирина Глебовна, Пирютко Ольга Николаевна, издательство Народная асвета, Минск, 2020, белого цвета, страница 74, номер 13.6, Решение Алгебра, 10 класс Сборник задач, авторы: Арефьева Ирина Глебовна, Пирютко Ольга Николаевна, издательство Народная асвета, Минск, 2020, белого цвета, страница 74, номер 13.6, Решение (продолжение 2)
Решение 2. №13.6 (с. 74)

а) $2\sin^2 x - (12 - \sqrt{2})\sin x - 6\sqrt{2} = 0$

Данное уравнение является квадратным относительно $\sin x$. Введем замену переменной $y = \sin x$, при этом необходимо учесть, что область значений синуса ограничена отрезком $[-1, 1]$, то есть $|y| \le 1$.

Получаем квадратное уравнение:

$2y^2 - (12 - \sqrt{2})y - 6\sqrt{2} = 0$

Для решения раскроем скобки и применим метод группировки:

$2y^2 - 12y + \sqrt{2}y - 6\sqrt{2} = 0$

$(2y^2 - 12y) + (\sqrt{2}y - 6\sqrt{2}) = 0$

$2y(y - 6) + \sqrt{2}(y - 6) = 0$

Вынесем общий множитель $(y - 6)$ за скобки:

$(2y + \sqrt{2})(y - 6) = 0$

Произведение равно нулю, когда хотя бы один из множителей равен нулю. Рассмотрим два случая:

1) $2y + \sqrt{2} = 0 \implies 2y = -\sqrt{2} \implies y_1 = -\frac{\sqrt{2}}{2}$

2) $y - 6 = 0 \implies y_2 = 6$

Теперь выполним обратную замену $y = \sin x$.

Для корня $y_1 = -\frac{\sqrt{2}}{2}$ получаем уравнение:

$\sin x = -\frac{\sqrt{2}}{2}$

Это уравнение имеет решения, поскольку $|-\frac{\sqrt{2}}{2}| \le 1$. Общее решение для такого уравнения имеет вид $x = (-1)^k \arcsin(a) + \pi k, k \in \mathbb{Z}$.

$x = (-1)^k \arcsin(-\frac{\sqrt{2}}{2}) + \pi k = (-1)^k (-\frac{\pi}{4}) + \pi k = (-1)^{k+1}\frac{\pi}{4} + \pi k, k \in \mathbb{Z}$.

Для корня $y_2 = 6$ получаем уравнение:

$\sin x = 6$

Это уравнение не имеет действительных корней, так как синус любого угла не может по модулю превышать 1.

Ответ: $x = (-1)^{k+1}\frac{\pi}{4} + \pi k, k \in \mathbb{Z}$.

б) $2\cos^2 x + (8 - \sqrt{3})\cos x - 4\sqrt{3} = 0$

Данное уравнение является квадратным относительно $\cos x$. Введем замену переменной $z = \cos x$, при этом необходимо учесть, что область значений косинуса ограничена отрезком $[-1, 1]$, то есть $|z| \le 1$.

Получаем квадратное уравнение:

$2z^2 + (8 - \sqrt{3})z - 4\sqrt{3} = 0$

Для решения раскроем скобки и применим метод группировки:

$2z^2 + 8z - \sqrt{3}z - 4\sqrt{3} = 0$

$2z(z + 4) - \sqrt{3}(z + 4) = 0$

Вынесем общий множитель $(z + 4)$ за скобки:

$(2z - \sqrt{3})(z + 4) = 0$

Произведение равно нулю, когда хотя бы один из множителей равен нулю. Рассмотрим два случая:

1) $2z - \sqrt{3} = 0 \implies 2z = \sqrt{3} \implies z_1 = \frac{\sqrt{3}}{2}$

2) $z + 4 = 0 \implies z_2 = -4$

Теперь выполним обратную замену $z = \cos x$.

Для корня $z_1 = \frac{\sqrt{3}}{2}$ получаем уравнение:

$\cos x = \frac{\sqrt{3}}{2}$

Это уравнение имеет решения, поскольку $|\frac{\sqrt{3}}{2}| \le 1$. Общее решение для такого уравнения имеет вид $x = \pm \arccos(a) + 2\pi k, k \in \mathbb{Z}$.

$x = \pm \arccos(\frac{\sqrt{3}}{2}) + 2\pi k = \pm\frac{\pi}{6} + 2\pi k, k \in \mathbb{Z}$.

Для корня $z_2 = -4$ получаем уравнение:

$\cos x = -4$

Это уравнение не имеет действительных корней, так как косинус любого угла не может по модулю превышать 1.

Ответ: $x = \pm\frac{\pi}{6} + 2\pi k, k \in \mathbb{Z}$.

Помогло решение? Оставьте отзыв в комментариях ниже.

Присоединяйтесь к Телеграм-группе @gdz_by_belarus

Присоединиться

Мы подготовили для вас ответ c подробным объяснением домашего задания по алгебре за 10 класс, для упражнения номер 13.6 расположенного на странице 74 к сборнику задач 2020 года издания для учащихся школ и гимназий.

Теперь на нашем сайте ГДЗ.ТОП вы всегда легко и бесплатно найдёте условие с правильным ответом на вопрос «Как решить ДЗ» и «Как сделать» задание по алгебре к упражнению №13.6 (с. 74), авторов: Арефьева (Ирина Глебовна), Пирютко (Ольга Николаевна), базовый и повышенный уровень обучения учебного пособия издательства Народная асвета.