Номер 13.2, страница 73 - гдз по алгебре 10 класс сборник задач Арефьева, Пирютко

Алгебра, 10 класс Сборник задач, авторы: Арефьева Ирина Глебовна, Пирютко Ольга Николаевна, издательство Народная асвета, Минск, 2020, белого цвета

Авторы: Арефьева И. Г., Пирютко О. Н.

Тип: Сборник задач

Издательство: Народная асвета

Год издания: 2020 - 2026

Уровень обучения: базовый и повышенный

Цвет обложки: белый, голубой с графиком

Допущено Министерством образования Республики Беларусь

Популярные ГДЗ в 10 классе

Глава 3. Тригонометрия. Параграф 13. Тригонометрические уравнения. Тригонометрические неравенства - номер 13.2, страница 73.

№13.2 (с. 73)
Условие. №13.2 (с. 73)
скриншот условия
Алгебра, 10 класс Сборник задач, авторы: Арефьева Ирина Глебовна, Пирютко Ольга Николаевна, издательство Народная асвета, Минск, 2020, белого цвета, страница 73, номер 13.2, Условие

13.2. Найдите абсциссы точек пересечения графиков функций $y = 7\cos4x + 3$ и $y = 3\sin^2 4x$.

Решение. №13.2 (с. 73)
Алгебра, 10 класс Сборник задач, авторы: Арефьева Ирина Глебовна, Пирютко Ольга Николаевна, издательство Народная асвета, Минск, 2020, белого цвета, страница 73, номер 13.2, Решение
Решение 2. №13.2 (с. 73)

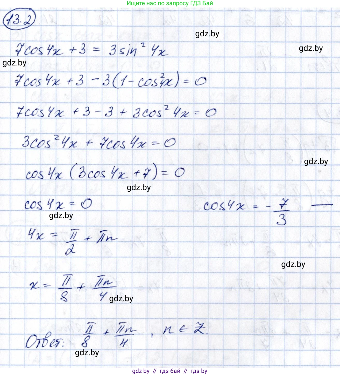
Для нахождения абсцисс точек пересечения графиков функций $y = 7\cos4x + 3$ и $y = 3\sin^24x$ необходимо приравнять их правые части:

$7\cos4x + 3 = 3\sin^24x$

Воспользуемся основным тригонометрическим тождеством $\sin^2\alpha + \cos^2\alpha = 1$, из которого следует, что $\sin^24x = 1 - \cos^24x$. Подставим это выражение в уравнение:

$7\cos4x + 3 = 3(1 - \cos^24x)$

$7\cos4x + 3 = 3 - 3\cos^24x$

Перенесем все члены уравнения в левую часть, чтобы получить уравнение, приведенное к нулю:

$3\cos^24x + 7\cos4x + 3 - 3 = 0$

$3\cos^24x + 7\cos4x = 0$

Для решения этого уравнения удобно ввести замену переменной. Пусть $t = \cos4x$. Так как область значений функции косинус находится в промежутке от -1 до 1, на новую переменную $t$ накладывается ограничение: $-1 \le t \le 1$.

После замены уравнение принимает вид квадратного уравнения относительно $t$:

$3t^2 + 7t = 0$

Вынесем общий множитель $t$ за скобки:

$t(3t + 7) = 0$

Произведение равно нулю, когда хотя бы один из множителей равен нулю. Отсюда получаем два возможных решения для $t$:

1) $t = 0$

2) $3t + 7 = 0 \implies 3t = -7 \implies t = -\frac{7}{3}$

Теперь необходимо проверить, удовлетворяют ли найденные значения $t$ условию $-1 \le t \le 1$.

Корень $t = 0$ удовлетворяет этому условию, так как $-1 \le 0 \le 1$.

Рассмотрим второй корень $t = -\frac{7}{3}$. Преобразуем неправильную дробь в смешанное число: $-\frac{7}{3} = -2\frac{1}{3}$. Это значение не входит в промежуток $[-1, 1]$, так как $-2\frac{1}{3} < -1$. Следовательно, это посторонний корень, и мы его отбрасываем.

Таким образом, единственным подходящим решением является $t = 0$. Вернемся к исходной переменной $x$, выполнив обратную замену:

$\cos4x = 0$

Это частный случай простейшего тригонометрического уравнения. Его решениями являются значения, при которых аргумент косинуса равен $\frac{\pi}{2} + \pi n$, где $n$ — любое целое число ($n \in \mathbb{Z}$).

$4x = \frac{\pi}{2} + \pi n$, где $n \in \mathbb{Z}$

Чтобы найти $x$, разделим обе части уравнения на 4:

$x = \frac{\pi}{4 \cdot 2} + \frac{\pi n}{4}$

$x = \frac{\pi}{8} + \frac{\pi n}{4}$, где $n \in \mathbb{Z}$

13.2. Ответ: $x = \frac{\pi}{8} + \frac{\pi n}{4}, n \in \mathbb{Z}$.

Помогло решение? Оставьте отзыв в комментариях ниже.

Присоединяйтесь к Телеграм-группе @gdz_by_belarus

Присоединиться

Мы подготовили для вас ответ c подробным объяснением домашего задания по алгебре за 10 класс, для упражнения номер 13.2 расположенного на странице 73 к сборнику задач 2020 года издания для учащихся школ и гимназий.

Теперь на нашем сайте ГДЗ.ТОП вы всегда легко и бесплатно найдёте условие с правильным ответом на вопрос «Как решить ДЗ» и «Как сделать» задание по алгебре к упражнению №13.2 (с. 73), авторов: Арефьева (Ирина Глебовна), Пирютко (Ольга Николаевна), базовый и повышенный уровень обучения учебного пособия издательства Народная асвета.