Номер 44, страница 269 - гдз по алгебре 9 класс учебник Арефьева, Пирютко

Алгебра, 9 класс Учебник, авторы: Арефьева Ирина Глебовна, Пирютко Ольга Николаевна, издательство Народная асвета, Минск, 2019, голубого цвета

Авторы: Арефьева И. Г., Пирютко О. Н.

Тип: Учебник

Издательство: Народная асвета

Год издания: 2019 - 2026

Цвет обложки: голубой, синий с графиком

ISBN: 978-985-03-3077-2

Допущено Министерством образования Республики Беларусь

Популярные ГДЗ в 9 классе

Итоговое повторение. Числа и вычисления - номер 44, страница 269.

№44 (с. 269)
Условие. №44 (с. 269)
скриншот условия
Алгебра, 9 класс Учебник, авторы: Арефьева Ирина Глебовна, Пирютко Ольга Николаевна, издательство Народная асвета, Минск, 2019, голубого цвета, страница 269, номер 44, Условие

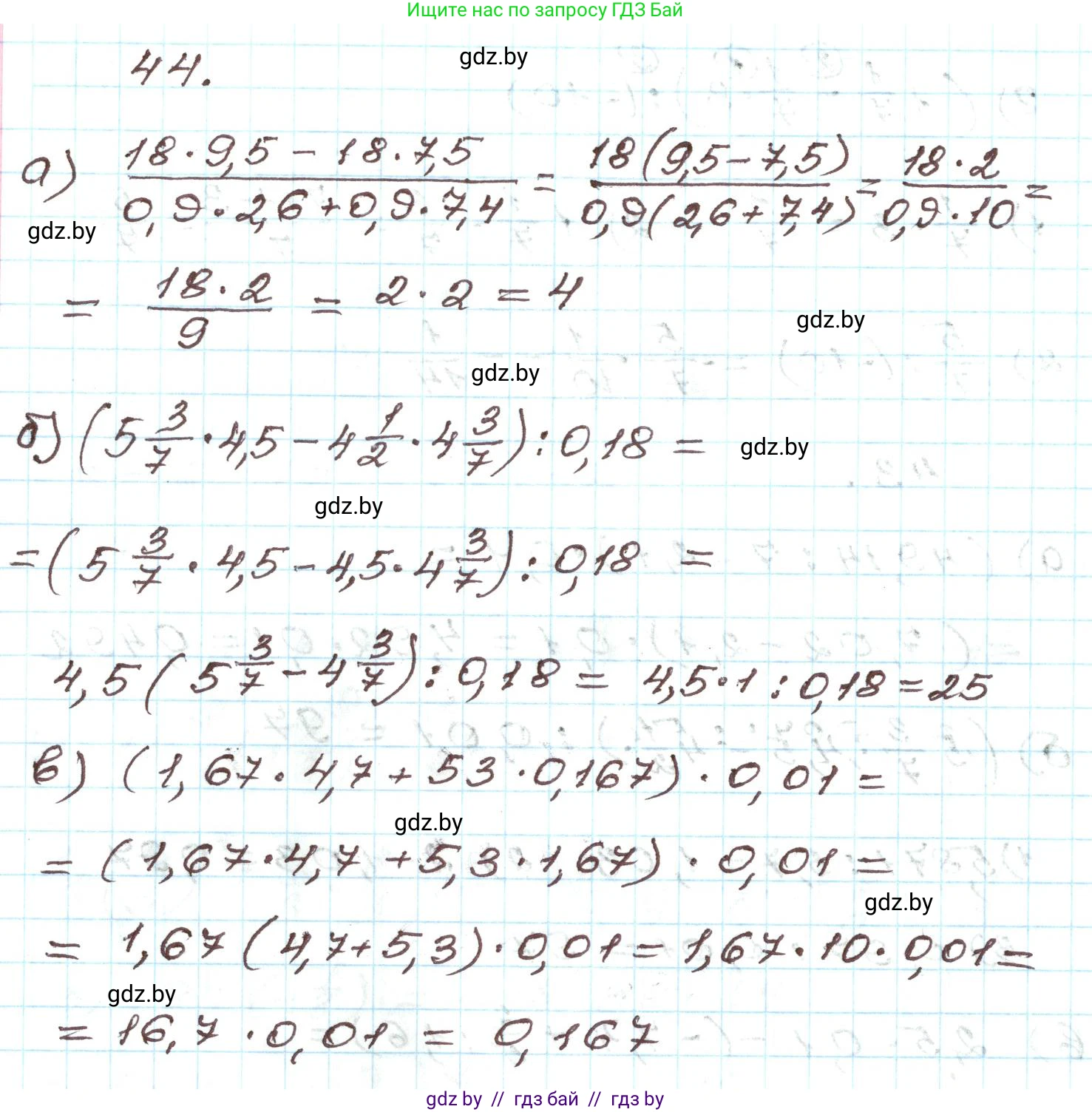
44. Используйте рациональные приемы счета и найдите значение выражения:

а) $\frac{18 \cdot 9.5 - 18 \cdot 7.5}{0.9 \cdot 2.6 + 0.9 \cdot 7.4}$;

б) $(5\frac{3}{7} \cdot 4.5 - 4\frac{1}{2} \cdot 4\frac{3}{7}) : 0.18$;

в) $(1.67 \cdot 4.7 + 53 \cdot 0.167) \cdot 0.01.

Решение. №44 (с. 269)
Алгебра, 9 класс Учебник, авторы: Арефьева Ирина Глебовна, Пирютко Ольга Николаевна, издательство Народная асвета, Минск, 2019, голубого цвета, страница 269, номер 44, Решение
Решение 2. №44 (с. 269)

а) Воспользуемся распределительным свойством умножения $a \cdot (b \pm c) = a \cdot b \pm a \cdot c$, чтобы вынести общие множители в числителе и знаменателе дроби.

В числителе вынесем за скобки общий множитель $18$:

$18 \cdot 9,5 - 18 \cdot 7,5 = 18 \cdot (9,5 - 7,5) = 18 \cdot 2 = 36$.

В знаменателе вынесем за скобки общий множитель $0,9$:

$0,9 \cdot 2,6 + 0,9 \cdot 7,4 = 0,9 \cdot (2,6 + 7,4) = 0,9 \cdot 10 = 9$.

Подставим полученные значения обратно в дробь и вычислим результат:

$\frac{36}{9} = 4$.
Ответ: 4.

б) Для рационального решения преобразуем все десятичные дроби и смешанные числа в обыкновенные или неправильные дроби, а затем используем распределительное свойство.

Преобразование чисел: $5\frac{3}{7} = \frac{38}{7}$; $4,5 = \frac{9}{2}$; $4\frac{1}{2} = \frac{9}{2}$; $4\frac{3}{7} = \frac{31}{7}$; $0,18 = \frac{18}{100} = \frac{9}{50}$.

Сначала вычислим значение выражения в скобках. Подставим преобразованные дроби и вынесем общий множитель $\frac{9}{2}$ за скобки:

$(\frac{38}{7} \cdot \frac{9}{2} - \frac{9}{2} \cdot \frac{31}{7}) = (\frac{38}{7} - \frac{31}{7}) \cdot \frac{9}{2} = \frac{7}{7} \cdot \frac{9}{2} = 1 \cdot \frac{9}{2} = \frac{9}{2}$.

Теперь выполним деление полученного результата на $0,18$:

$\frac{9}{2} : \frac{9}{50} = \frac{9}{2} \cdot \frac{50}{9} = \frac{50}{2} = 25$.
Ответ: 25.

в) Рациональный способ решения здесь заключается в том, чтобы заметить связь между числами $1,67$ и $0,167$ ($0,167 = 1,67 : 10$). Это позволяет преобразовать выражение и вынести общий множитель за скобки.

Преобразуем второе слагаемое в скобках:

$53 \cdot 0,167 = 53 \cdot (1,67 : 10) = (53 : 10) \cdot 1,67 = 5,3 \cdot 1,67$.

Теперь выражение в скобках можно упростить с помощью распределительного закона, вынеся общий множитель $1,67$:

$1,67 \cdot 4,7 + 5,3 \cdot 1,67 = 1,67 \cdot (4,7 + 5,3) = 1,67 \cdot 10 = 16,7$.

В завершение умножим полученное значение на $0,01$:

$16,7 \cdot 0,01 = 0,167$.
Ответ: 0,167.

Помогло решение? Оставьте отзыв в комментариях ниже.

Присоединяйтесь к Телеграм-группе @gdz_by_belarus

Присоединиться

Мы подготовили для вас ответ c подробным объяснением домашего задания по алгебре за 9 класс, для упражнения номер 44 расположенного на странице 269 к учебнику 2019 года издания для учащихся школ и гимназий.

Теперь на нашем сайте ГДЗ.ТОП вы всегда легко и бесплатно найдёте условие с правильным ответом на вопрос «Как решить ДЗ» и «Как сделать» задание по алгебре к упражнению №44 (с. 269), авторов: Арефьева (Ирина Глебовна), Пирютко (Ольга Николаевна), учебного пособия издательства Народная асвета.