Номер 33, страница 268 - гдз по алгебре 9 класс учебник Арефьева, Пирютко

Алгебра, 9 класс Учебник, авторы: Арефьева Ирина Глебовна, Пирютко Ольга Николаевна, издательство Народная асвета, Минск, 2019, голубого цвета

Авторы: Арефьева И. Г., Пирютко О. Н.

Тип: Учебник

Издательство: Народная асвета

Год издания: 2019 - 2026

Цвет обложки: голубой, синий с графиком

ISBN: 978-985-03-3077-2

Допущено Министерством образования Республики Беларусь

Популярные ГДЗ в 9 классе

Итоговое повторение. Числа и вычисления - номер 33, страница 268.

№33 (с. 268)
Условие. №33 (с. 268)
скриншот условия
Алгебра, 9 класс Учебник, авторы: Арефьева Ирина Глебовна, Пирютко Ольга Николаевна, издательство Народная асвета, Минск, 2019, голубого цвета, страница 268, номер 33, Условие

33. Используйте свойства арифметического квадратного корня и выберите выражение, имеющее наибольшее значение:

а) $\sqrt{313^2 - 312^2}$;

б) $\sqrt{\frac{345}{233^2 - 112^2}}$;

в) $\frac{-2\sqrt{6}}{\sqrt{24}}$;

г) $\frac{\sqrt{51} \cdot \sqrt{75}}{\sqrt{68}}$.

Решение. №33 (с. 268)
Алгебра, 9 класс Учебник, авторы: Арефьева Ирина Глебовна, Пирютко Ольга Николаевна, издательство Народная асвета, Минск, 2019, голубого цвета, страница 268, номер 33, Решение
Решение 2. №33 (с. 268)

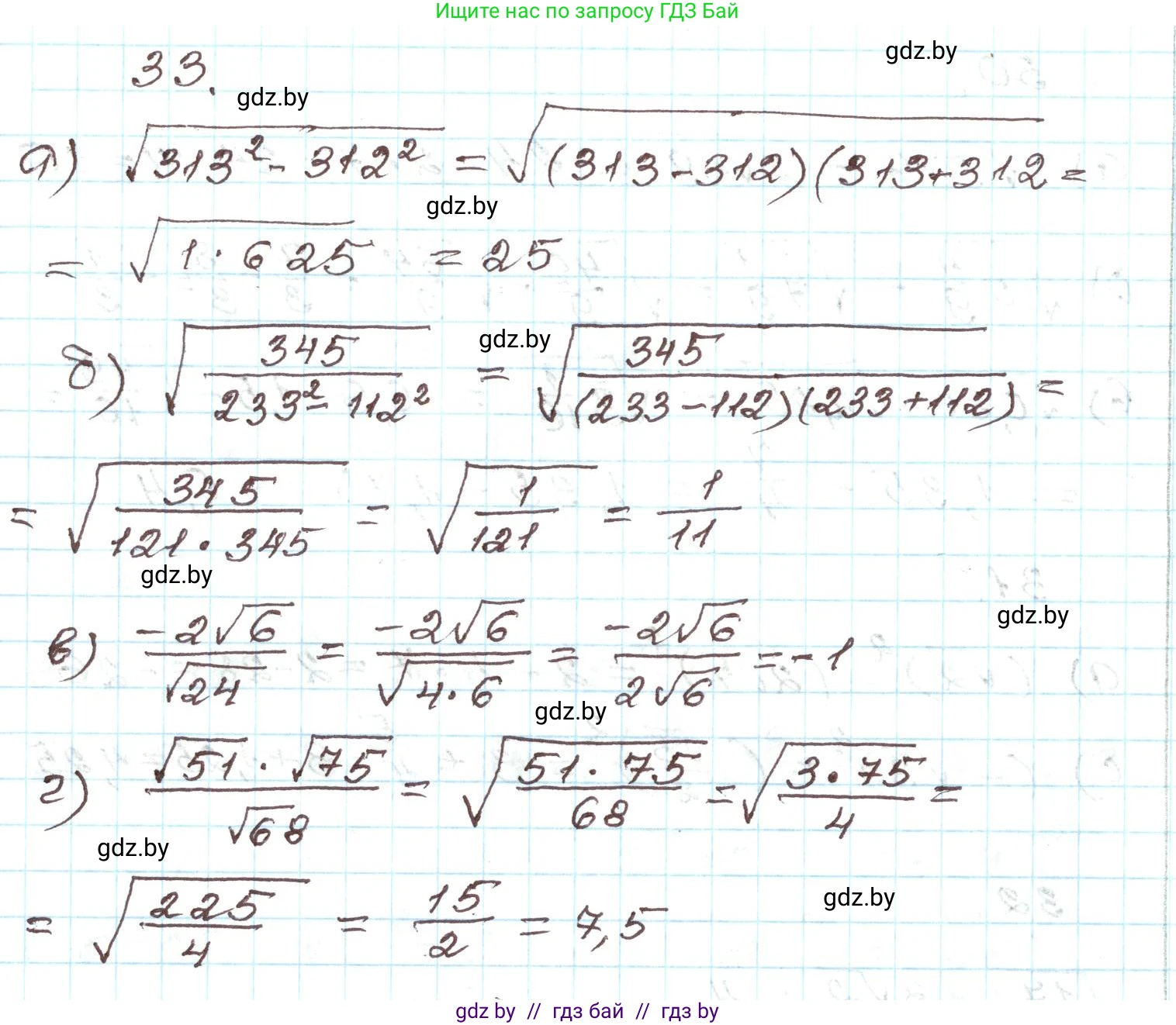
Для того чтобы выбрать выражение с наибольшим значением, необходимо последовательно вычислить значение каждого из предложенных выражений, используя свойства арифметического квадратного корня.

а) Вычислим значение выражения $\sqrt{313^2 - 312^2}$.
Для упрощения подкоренного выражения применим формулу разности квадратов: $a^2 - b^2 = (a-b)(a+b)$.$$ \sqrt{313^2 - 312^2} = \sqrt{(313 - 312)(313 + 312)} = \sqrt{1 \cdot 625} = \sqrt{625} = 25 $$Ответ: 25.

б) Вычислим значение выражения $\sqrt{\frac{345}{233^2 - 112^2}}$.
Упростим знаменатель дроби под корнем, используя ту же формулу разности квадратов:$233^2 - 112^2 = (233 - 112)(233 + 112) = 121 \cdot 345$.
Подставим полученное значение в исходное выражение:$$ \sqrt{\frac{345}{121 \cdot 345}} = \sqrt{\frac{1}{121}} = \frac{1}{11} $$Ответ: $\frac{1}{11}$.

в) Вычислим значение выражения $\frac{-2\sqrt{6}}{\sqrt{24}}$.
Упростим корень в знаменателе: $\sqrt{24} = \sqrt{4 \cdot 6} = 2\sqrt{6}$.
Теперь выполним деление:$$ \frac{-2\sqrt{6}}{2\sqrt{6}} = -1 $$Ответ: -1.

г) Вычислим значение выражения $\frac{\sqrt{51} \cdot \sqrt{75}}{\sqrt{68}}$.
Используем свойства корней ($\frac{\sqrt{a}\sqrt{b}}{\sqrt{c}} = \sqrt{\frac{ab}{c}}$) и разложим числа на множители для сокращения дроби:$$ \frac{\sqrt{51} \cdot \sqrt{75}}{\sqrt{68}} = \sqrt{\frac{51 \cdot 75}{68}} = \sqrt{\frac{(3 \cdot 17) \cdot (3 \cdot 25)}{4 \cdot 17}} = \sqrt{\frac{9 \cdot 25}{4}} = \frac{3 \cdot 5}{2} = \frac{15}{2} $$Преобразуем неправильную дробь $\frac{15}{2}$ в смешанное число: $7\frac{1}{2}$.
Ответ: 7$\frac{1}{2}$.

Сравним полученные значения: $25$, $\frac{1}{11}$, $-1$ и $7\frac{1}{2}$.
Очевидно, что $25 > 7\frac{1}{2} > \frac{1}{11} > -1$.

Следовательно, выражение а) имеет наибольшее значение.

Помогло решение? Оставьте отзыв в комментариях ниже.

Присоединяйтесь к Телеграм-группе @gdz_by_belarus

Присоединиться

Мы подготовили для вас ответ c подробным объяснением домашего задания по алгебре за 9 класс, для упражнения номер 33 расположенного на странице 268 к учебнику 2019 года издания для учащихся школ и гимназий.

Теперь на нашем сайте ГДЗ.ТОП вы всегда легко и бесплатно найдёте условие с правильным ответом на вопрос «Как решить ДЗ» и «Как сделать» задание по алгебре к упражнению №33 (с. 268), авторов: Арефьева (Ирина Глебовна), Пирютко (Ольга Николаевна), учебного пособия издательства Народная асвета.