Номер 309, страница 299 - гдз по алгебре 9 класс учебник Арефьева, Пирютко

Алгебра, 9 класс Учебник, авторы: Арефьева Ирина Глебовна, Пирютко Ольга Николаевна, издательство Народная асвета, Минск, 2019, голубого цвета

Авторы: Арефьева И. Г., Пирютко О. Н.

Тип: Учебник

Издательство: Народная асвета

Год издания: 2019 - 2026

Цвет обложки: голубой, синий с графиком

ISBN: 978-985-03-3077-2

Допущено Министерством образования Республики Беларусь

Популярные ГДЗ в 9 классе

Итоговое повторение. Текстовые задачи - номер 309, страница 299.

№309 (с. 299)
Условие. №309 (с. 299)
скриншот условия
Алгебра, 9 класс Учебник, авторы: Арефьева Ирина Глебовна, Пирютко Ольга Николаевна, издательство Народная асвета, Минск, 2019, голубого цвета, страница 299, номер 309, Условие Алгебра, 9 класс Учебник, авторы: Арефьева Ирина Глебовна, Пирютко Ольга Николаевна, издательство Народная асвета, Минск, 2019, голубого цвета, страница 299, номер 309, Условие (продолжение 2)

309. Две производственные линии могут выполнить заказ, работая вместе, за 6 ч. За сколько часов может выполнить этот заказ каждая линия, работая отдельно, если одной из них для выполнения 40 % заказа необходимо на 4 ч больше, чем другой для выполнения 20 % заказа?

Решение. №309 (с. 299)
Алгебра, 9 класс Учебник, авторы: Арефьева Ирина Глебовна, Пирютко Ольга Николаевна, издательство Народная асвета, Минск, 2019, голубого цвета, страница 299, номер 309, Решение
Решение 2. №309 (с. 299)

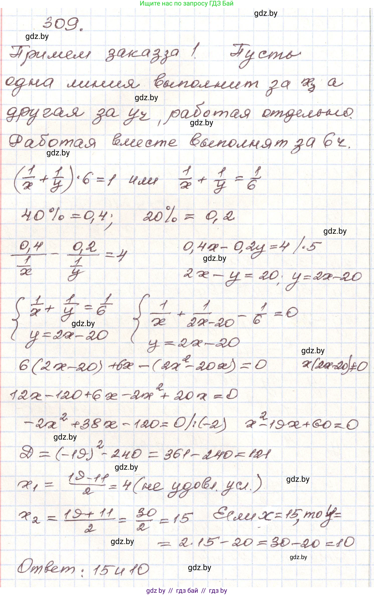
Обозначим время, за которое первая производственная линия может выполнить весь заказ, работая отдельно, как $x$ часов. Тогда ее производительность (часть заказа, выполняемая за час) равна $\frac{1}{x}$.

Обозначим время, за которое вторая производственная линия может выполнить весь заказ, работая отдельно, как $y$ часов. Ее производительность равна $\frac{1}{y}$.

Когда две линии работают вместе, их общая производительность равна сумме их индивидуальных производительностей: $\frac{1}{x} + \frac{1}{y}$. По условию, вместе они выполняют заказ за 6 часов. Это означает, что их общая производительность равна $\frac{1}{6}$ заказа в час. Получаем первое уравнение:

$$ \frac{1}{x} + \frac{1}{y} = \frac{1}{6} $$

Далее, рассмотрим второе условие. Время, необходимое первой линии для выполнения 40% (или 0,4) заказа, составляет $0.4x$ часов. Время, необходимое второй линии для выполнения 20% (или 0,2) заказа, составляет $0.2y$ часов.

По условию, одной из линий для выполнения 40% заказа необходимо на 4 часа больше, чем другой для выполнения 20% заказа. Это приводит к двум возможным сценариям:

  1. $0.4x = 0.2y + 4$
  2. $0.4y = 0.2x + 4$

Рассмотрим первый сценарий. Выразим $y$ из уравнения $0.4x = 0.2y + 4$:

$0.2y = 0.4x - 4$

Умножим обе части на 5, чтобы избавиться от десятичных дробей:

$y = 2x - 20$

Теперь подставим это выражение для $y$ в наше первое уравнение:

$$ \frac{1}{x} + \frac{1}{2x - 20} = \frac{1}{6} $$

Приведем левую часть к общему знаменателю $x(2x - 20)$:

$$ \frac{(2x - 20) + x}{x(2x - 20)} = \frac{1}{6} $$

$$ \frac{3x - 20}{2x^2 - 20x} = \frac{1}{6} $$

Используем свойство пропорции (перекрестное умножение):

$6(3x - 20) = 1(2x^2 - 20x)$

$18x - 120 = 2x^2 - 20x$

Перенесем все члены в одну сторону, чтобы получить квадратное уравнение:

$2x^2 - 20x - 18x + 120 = 0$

$2x^2 - 38x + 120 = 0$

Разделим уравнение на 2 для упрощения:

$x^2 - 19x + 60 = 0$

Решим это квадратное уравнение с помощью теоремы Виета или через дискриминант. Корни этого уравнения: $x_1 = 15$ и $x_2 = 4$.

Проверим оба корня:

  • Если $x = 4$, то $y = 2(4) - 20 = 8 - 20 = -12$. Время не может быть отрицательным, поэтому этот корень не является решением задачи.
  • Если $x = 15$, то $y = 2(15) - 20 = 30 - 20 = 10$. Это решение является допустимым.

Таким образом, одна линия выполняет заказ за 15 часов, а другая — за 10 часов. Проверим, выполняется ли второе условие: $0.4 \cdot 15 = 6$ часов; $0.2 \cdot 10 = 2$ часа. $6 = 2 + 4$, что соответствует условию.

Рассматривать второй сценарий ($0.4y = 0.2x + 4$) нет необходимости, так как он приведет к тем же значениям времени, но поменянным местами для $x$ и $y$. В задаче не указано, какая из линий "первая", а какая "вторая", поэтому нам важна пара значений (10, 15).

Первая линия: Ответ: 10 часов.

Вторая линия: Ответ: 15 часов.

Помогло решение? Оставьте отзыв в комментариях ниже.

Присоединяйтесь к Телеграм-группе @gdz_by_belarus

Присоединиться

Мы подготовили для вас ответ c подробным объяснением домашего задания по алгебре за 9 класс, для упражнения номер 309 расположенного на странице 299 к учебнику 2019 года издания для учащихся школ и гимназий.

Теперь на нашем сайте ГДЗ.ТОП вы всегда легко и бесплатно найдёте условие с правильным ответом на вопрос «Как решить ДЗ» и «Как сделать» задание по алгебре к упражнению №309 (с. 299), авторов: Арефьева (Ирина Глебовна), Пирютко (Ольга Николаевна), учебного пособия издательства Народная асвета.