Номер 296, страница 298 - гдз по алгебре 9 класс учебник Арефьева, Пирютко

Алгебра, 9 класс Учебник, авторы: Арефьева Ирина Глебовна, Пирютко Ольга Николаевна, издательство Народная асвета, Минск, 2019, голубого цвета

Авторы: Арефьева И. Г., Пирютко О. Н.

Тип: Учебник

Издательство: Народная асвета

Год издания: 2019 - 2026

Цвет обложки: голубой, синий с графиком

ISBN: 978-985-03-3077-2

Допущено Министерством образования Республики Беларусь

Популярные ГДЗ в 9 классе

Итоговое повторение. Уравнения, неравенства, системы - номер 296, страница 298.

№296 (с. 298)
Условие. №296 (с. 298)
скриншот условия
Алгебра, 9 класс Учебник, авторы: Арефьева Ирина Глебовна, Пирютко Ольга Николаевна, издательство Народная асвета, Минск, 2019, голубого цвета, страница 298, номер 296, Условие

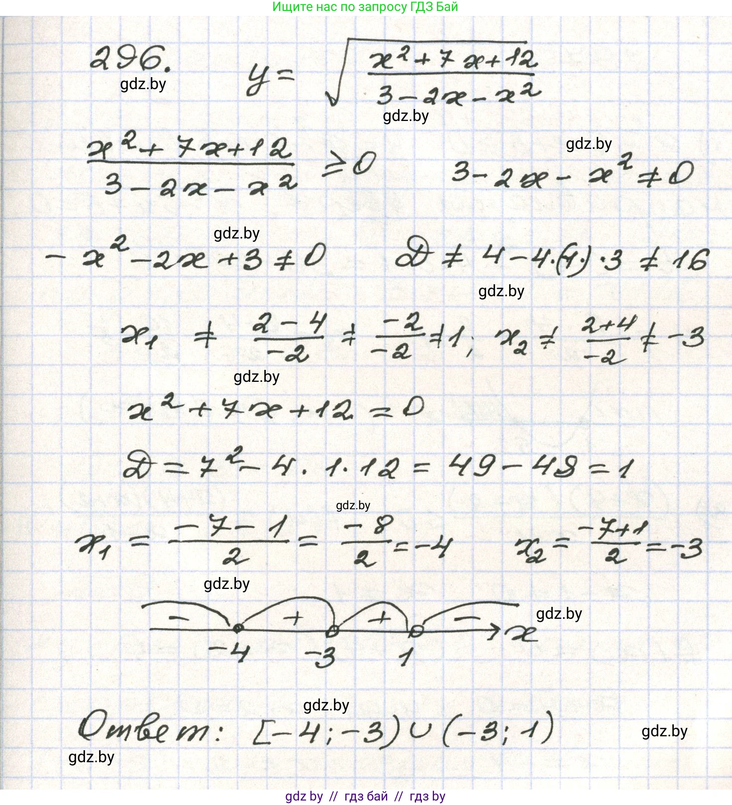
296. Найдите область определения функции

$y = \sqrt{\frac{x^2+7x+12}{3-2x-x^2}}$.

Решение. №296 (с. 298)
Алгебра, 9 класс Учебник, авторы: Арефьева Ирина Глебовна, Пирютко Ольга Николаевна, издательство Народная асвета, Минск, 2019, голубого цвета, страница 298, номер 296, Решение
Решение 2. №296 (с. 298)

Область определения функции $y = \sqrt{\frac{x^2 + 7x + 12}{3 - 2x - x^2}}$ находится из условия, что выражение под знаком квадратного корня должно быть неотрицательным. Кроме того, знаменатель дроби не может быть равен нулю.

Это приводит к следующему неравенству:

$$ \frac{x^2 + 7x + 12}{3 - 2x - x^2} \ge 0 $$

Для решения этого неравенства воспользуемся методом интервалов. Для этого найдем корни числителя и знаменателя.

1. Найдем нули числителя: $x^2 + 7x + 12 = 0$.
С помощью теоремы Виета или через дискриминант находим корни: $x_1 = -4$ и $x_2 = -3$.
Тогда числитель можно разложить на множители: $x^2 + 7x + 12 = (x+4)(x+3)$.

2. Найдем нули знаменателя: $3 - 2x - x^2 = 0$.
Умножим уравнение на -1 для удобства: $x^2 + 2x - 3 = 0$.
Корни этого уравнения: $x_3 = -3$ и $x_4 = 1$.
Знаменатель можно разложить на множители: $3 - 2x - x^2 = -(x^2 + 2x - 3) = -(x+3)(x-1)$.

Знаменатель дроби не должен обращаться в ноль, поэтому $x \neq -3$ и $x \neq 1$.

Теперь подставим разложенные на множители выражения обратно в неравенство:

$$ \frac{(x+4)(x+3)}{-(x+3)(x-1)} \ge 0 $$

Точка $x = -3$ обращает в ноль и числитель, и знаменатель. Так как знаменатель не может быть равен нулю, мы должны исключить эту точку из области определения ($x \neq -3$). При этом условии мы можем сократить дробь на $(x+3)$:

$$ \frac{x+4}{-(x-1)} \ge 0 $$

Умножим обе части неравенства на -1, не забыв изменить знак неравенства на противоположный:

$$ \frac{x+4}{x-1} \le 0 $$

Теперь решим это простое неравенство методом интервалов. Отметим на числовой оси точки, в которых числитель и знаменатель равны нулю: $x = -4$ (корень числителя, точка будет "закрашенной", так как неравенство нестрогое) и $x = 1$ (корень знаменателя, точка будет "выколотой").

Определим знаки выражения $\frac{x+4}{x-1}$ на полученных интервалах:

  • При $x < -4$ выражение положительно.
  • При $-4 < x < 1$ выражение отрицательно.
  • При $x > 1$ выражение положительно.

Нас интересует, где выражение меньше или равно нулю. Этому условию удовлетворяет промежуток $x \in [-4, 1)$.

На последнем шаге вспомним, что мы исключили точку $x = -3$. Эта точка входит в найденный промежуток $[-4, 1)$, поэтому ее необходимо "выколоть".

Ответ: $x \in [-4, -3) \cup (-3, 1)$.

Помогло решение? Оставьте отзыв в комментариях ниже.

Присоединяйтесь к Телеграм-группе @gdz_by_belarus

Присоединиться

Мы подготовили для вас ответ c подробным объяснением домашего задания по алгебре за 9 класс, для упражнения номер 296 расположенного на странице 298 к учебнику 2019 года издания для учащихся школ и гимназий.

Теперь на нашем сайте ГДЗ.ТОП вы всегда легко и бесплатно найдёте условие с правильным ответом на вопрос «Как решить ДЗ» и «Как сделать» задание по алгебре к упражнению №296 (с. 298), авторов: Арефьева (Ирина Глебовна), Пирютко (Ольга Николаевна), учебного пособия издательства Народная асвета.