Номер 257, страница 293 - гдз по алгебре 9 класс учебник Арефьева, Пирютко

Алгебра, 9 класс Учебник, авторы: Арефьева Ирина Глебовна, Пирютко Ольга Николаевна, издательство Народная асвета, Минск, 2019, голубого цвета

Авторы: Арефьева И. Г., Пирютко О. Н.

Тип: Учебник

Издательство: Народная асвета

Год издания: 2019 - 2026

Цвет обложки: голубой, синий с графиком

ISBN: 978-985-03-3077-2

Допущено Министерством образования Республики Беларусь

Популярные ГДЗ в 9 классе

Итоговое повторение. Уравнения, неравенства, системы - номер 257, страница 293.

№257 (с. 293)
Условие. №257 (с. 293)
скриншот условия
Алгебра, 9 класс Учебник, авторы: Арефьева Ирина Глебовна, Пирютко Ольга Николаевна, издательство Народная асвета, Минск, 2019, голубого цвета, страница 293, номер 257, Условие

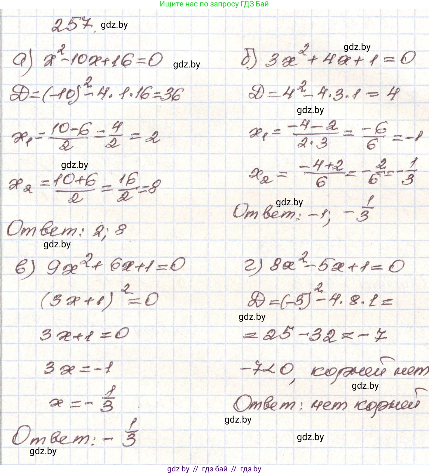
257. Воспользуйтесь формулой корней квадратного уравнения и решите уравнение:

а) $x^2 - 10x + 16 = 0$;

б) $3x^2 + 4x + 1 = 0$;

в) $9x^2 + 6x + 1 = 0$;

г) $8x^2 - 5x + 1 = 0$.

Решение. №257 (с. 293)
Алгебра, 9 класс Учебник, авторы: Арефьева Ирина Глебовна, Пирютко Ольга Николаевна, издательство Народная асвета, Минск, 2019, голубого цвета, страница 293, номер 257, Решение
Решение 2. №257 (с. 293)

Для решения квадратных уравнений вида $ax^2 + bx + c = 0$ воспользуемся формулой корней через дискриминант.

Сначала вычисляем дискриминант по формуле: $D = b^2 - 4ac$.

  • Если $D > 0$, уравнение имеет два различных действительных корня: $x_{1,2} = \frac{-b \pm \sqrt{D}}{2a}$.
  • Если $D = 0$, уравнение имеет один действительный корень: $x = \frac{-b}{2a}$.
  • Если $D < 0$, уравнение не имеет действительных корней.

а) $x^2 - 10x + 16 = 0$

Определим коэффициенты: $a=1$, $b=-10$, $c=16$.
Вычислим дискриминант:
$D = b^2 - 4ac = (-10)^2 - 4 \cdot 1 \cdot 16 = 100 - 64 = 36$.
Поскольку $D > 0$, уравнение имеет два корня. $\sqrt{D} = \sqrt{36} = 6$.
Найдем корни:
$x_1 = \frac{-b - \sqrt{D}}{2a} = \frac{-(-10) - 6}{2 \cdot 1} = \frac{10 - 6}{2} = \frac{4}{2} = 2$.
$x_2 = \frac{-b + \sqrt{D}}{2a} = \frac{-(-10) + 6}{2 \cdot 1} = \frac{10 + 6}{2} = \frac{16}{2} = 8$.

Ответ: 2; 8.

б) $3x^2 + 4x + 1 = 0$

Определим коэффициенты: $a=3$, $b=4$, $c=1$.
Вычислим дискриминант:
$D = b^2 - 4ac = 4^2 - 4 \cdot 3 \cdot 1 = 16 - 12 = 4$.
Поскольку $D > 0$, уравнение имеет два корня. $\sqrt{D} = \sqrt{4} = 2$.
Найдем корни:
$x_1 = \frac{-b - \sqrt{D}}{2a} = \frac{-4 - 2}{2 \cdot 3} = \frac{-6}{6} = -1$.
$x_2 = \frac{-b + \sqrt{D}}{2a} = \frac{-4 + 2}{2 \cdot 3} = \frac{-2}{6} = -\frac{1}{3}$.

Ответ: -1; $-\frac{1}{3}$.

в) $9x^2 + 6x + 1 = 0$

Определим коэффициенты: $a=9$, $b=6$, $c=1$.
Вычислим дискриминант:
$D = b^2 - 4ac = 6^2 - 4 \cdot 9 \cdot 1 = 36 - 36 = 0$.
Поскольку $D = 0$, уравнение имеет один корень.
Найдем корень:
$x = \frac{-b}{2a} = \frac{-6}{2 \cdot 9} = \frac{-6}{18} = -\frac{1}{3}$.

Ответ: $-\frac{1}{3}$.

г) $8x^2 - 5x + 1 = 0$

Определим коэффициенты: $a=8$, $b=-5$, $c=1$.
Вычислим дискриминант:
$D = b^2 - 4ac = (-5)^2 - 4 \cdot 8 \cdot 1 = 25 - 32 = -7$.
Поскольку $D < 0$, уравнение не имеет действительных корней.

Ответ: нет действительных корней.

Помогло решение? Оставьте отзыв в комментариях ниже.

Присоединяйтесь к Телеграм-группе @gdz_by_belarus

Присоединиться

Мы подготовили для вас ответ c подробным объяснением домашего задания по алгебре за 9 класс, для упражнения номер 257 расположенного на странице 293 к учебнику 2019 года издания для учащихся школ и гимназий.

Теперь на нашем сайте ГДЗ.ТОП вы всегда легко и бесплатно найдёте условие с правильным ответом на вопрос «Как решить ДЗ» и «Как сделать» задание по алгебре к упражнению №257 (с. 293), авторов: Арефьева (Ирина Глебовна), Пирютко (Ольга Николаевна), учебного пособия издательства Народная асвета.