Номер 245, страница 292 - гдз по алгебре 9 класс учебник Арефьева, Пирютко

Алгебра, 9 класс Учебник, авторы: Арефьева Ирина Глебовна, Пирютко Ольга Николаевна, издательство Народная асвета, Минск, 2019, голубого цвета

Авторы: Арефьева И. Г., Пирютко О. Н.

Тип: Учебник

Издательство: Народная асвета

Год издания: 2019 - 2026

Цвет обложки: голубой, синий с графиком

ISBN: 978-985-03-3077-2

Допущено Министерством образования Республики Беларусь

Популярные ГДЗ в 9 классе

Итоговое повторение. Уравнения, неравенства, системы - номер 245, страница 292.

№245 (с. 292)
Условие. №245 (с. 292)
скриншот условия
Алгебра, 9 класс Учебник, авторы: Арефьева Ирина Глебовна, Пирютко Ольга Николаевна, издательство Народная асвета, Минск, 2019, голубого цвета, страница 292, номер 245, Условие

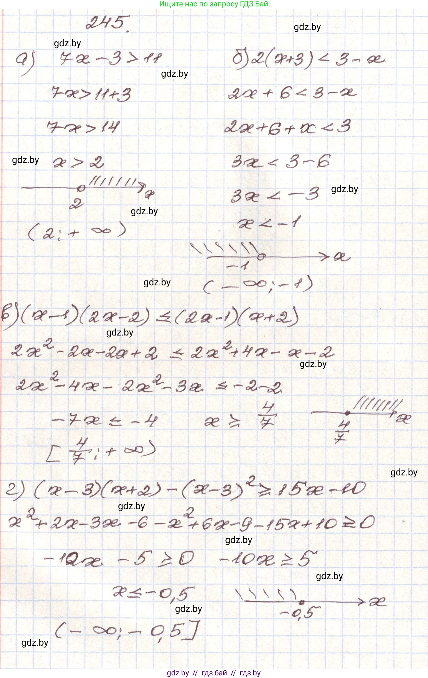
245. Решите неравенство:

а) $7x-3 > 11;$

б) $2(x+3) < 3-x;$

в) $(x-1)(2x-2) \le (2x-1)(x+2);$

г) $(x-3)(x+2)-(x-3)^2 \ge 15x-10.$

Решение. №245 (с. 292)
Алгебра, 9 класс Учебник, авторы: Арефьева Ирина Глебовна, Пирютко Ольга Николаевна, издательство Народная асвета, Минск, 2019, голубого цвета, страница 292, номер 245, Решение
Решение 2. №245 (с. 292)

а) $7x-3 > 11$

Для решения линейного неравенства перенесем слагаемое без переменной в правую часть, изменив его знак:

$7x > 11 + 3$

$7x > 14$

Теперь разделим обе части неравенства на коэффициент при $x$, то есть на 7. Так как 7 — положительное число, знак неравенства сохраняется:

$x > \frac{14}{7}$

$x > 2$

Решение можно записать в виде числового промежутка.

Ответ: $x \in (2; +\infty)$.

б) $2(x+3) < 3-x$

Сначала раскроем скобки в левой части неравенства:

$2x + 6 < 3 - x$

Перенесем все слагаемые с переменной $x$ в левую часть, а свободные члены — в правую часть, не забывая менять знаки при переносе:

$2x + x < 3 - 6$

Приведем подобные слагаемые в обеих частях:

$3x < -3$

Разделим обе части на 3:

$x < \frac{-3}{3}$

$x < -1$

Решение в виде числового промежутка.

Ответ: $x \in (-\infty; -1)$.

в) $(x-1)(2x-2) \le (2x-1)(x+2)$

Раскроем скобки в обеих частях неравенства, перемножив многочлены:

$x \cdot 2x + x \cdot (-2) - 1 \cdot 2x - 1 \cdot (-2) \le 2x \cdot x + 2x \cdot 2 - 1 \cdot x - 1 \cdot 2$

$2x^2 - 2x - 2x + 2 \le 2x^2 + 4x - x - 2$

Приведем подобные слагаемые в каждой части:

$2x^2 - 4x + 2 \le 2x^2 + 3x - 2$

Перенесем все члены из правой части в левую. Члены $2x^2$ и $-2x^2$ взаимно уничтожаются:

$-4x + 2 - 3x + 2 \le 0$

$-7x + 4 \le 0$

Перенесем свободный член в правую часть:

$-7x \le -4$

Разделим обе части на -7. При делении на отрицательное число знак неравенства меняется на противоположный (с $\le$ на $\ge$):

$x \ge \frac{-4}{-7}$

$x \ge \frac{4}{7}$

Решение в виде числового промежутка.

Ответ: $x \in [\frac{4}{7}; +\infty)$.

г) $(x-3)(x+2) - (x-3)^2 \ge 15x - 10$

Преобразуем левую часть неравенства. Раскроем скобки, используя формулу квадрата разности $(a-b)^2 = a^2 - 2ab + b^2$ для второго слагаемого:

$(x^2 + 2x - 3x - 6) - (x^2 - 2 \cdot x \cdot 3 + 3^2) \ge 15x - 10$

$(x^2 - x - 6) - (x^2 - 6x + 9) \ge 15x - 10$

Раскроем вторые скобки, меняя знаки слагаемых внутри них на противоположные:

$x^2 - x - 6 - x^2 + 6x - 9 \ge 15x - 10$

Приведем подобные слагаемые в левой части. Члены $x^2$ и $-x^2$ взаимно уничтожаются:

$5x - 15 \ge 15x - 10$

Перенесем слагаемые с $x$ в одну сторону, а числа — в другую. Например, $x$ вправо, числа влево:

$-15 + 10 \ge 15x - 5x$

$-5 \ge 10x$

Для удобства прочтения поменяем части местами, при этом знак неравенства также меняется на противоположный (с $\ge$ на $\le$):

$10x \le -5$

Разделим обе части на 10:

$x \le \frac{-5}{10}$

Сократим дробь:

$x \le -\frac{1}{2}$

Решение в виде числового промежутка.

Ответ: $x \in (-\infty; -\frac{1}{2}]$.

Помогло решение? Оставьте отзыв в комментариях ниже.

Присоединяйтесь к Телеграм-группе @gdz_by_belarus

Присоединиться

Мы подготовили для вас ответ c подробным объяснением домашего задания по алгебре за 9 класс, для упражнения номер 245 расположенного на странице 292 к учебнику 2019 года издания для учащихся школ и гимназий.

Теперь на нашем сайте ГДЗ.ТОП вы всегда легко и бесплатно найдёте условие с правильным ответом на вопрос «Как решить ДЗ» и «Как сделать» задание по алгебре к упражнению №245 (с. 292), авторов: Арефьева (Ирина Глебовна), Пирютко (Ольга Николаевна), учебного пособия издательства Народная асвета.