Номер 187, страница 283 - гдз по алгебре 9 класс учебник Арефьева, Пирютко

Алгебра, 9 класс Учебник, авторы: Арефьева Ирина Глебовна, Пирютко Ольга Николаевна, издательство Народная асвета, Минск, 2019, голубого цвета

Авторы: Арефьева И. Г., Пирютко О. Н.

Тип: Учебник

Издательство: Народная асвета

Год издания: 2019 - 2026

Цвет обложки: голубой, синий с графиком

ISBN: 978-985-03-3077-2

Допущено Министерством образования Республики Беларусь

Популярные ГДЗ в 9 классе

Итоговое повторение. Функции и их свойства - номер 187, страница 283.

№187 (с. 283)
Условие. №187 (с. 283)
скриншот условия
Алгебра, 9 класс Учебник, авторы: Арефьева Ирина Глебовна, Пирютко Ольга Николаевна, издательство Народная асвета, Минск, 2019, голубого цвета, страница 283, номер 187, Условие

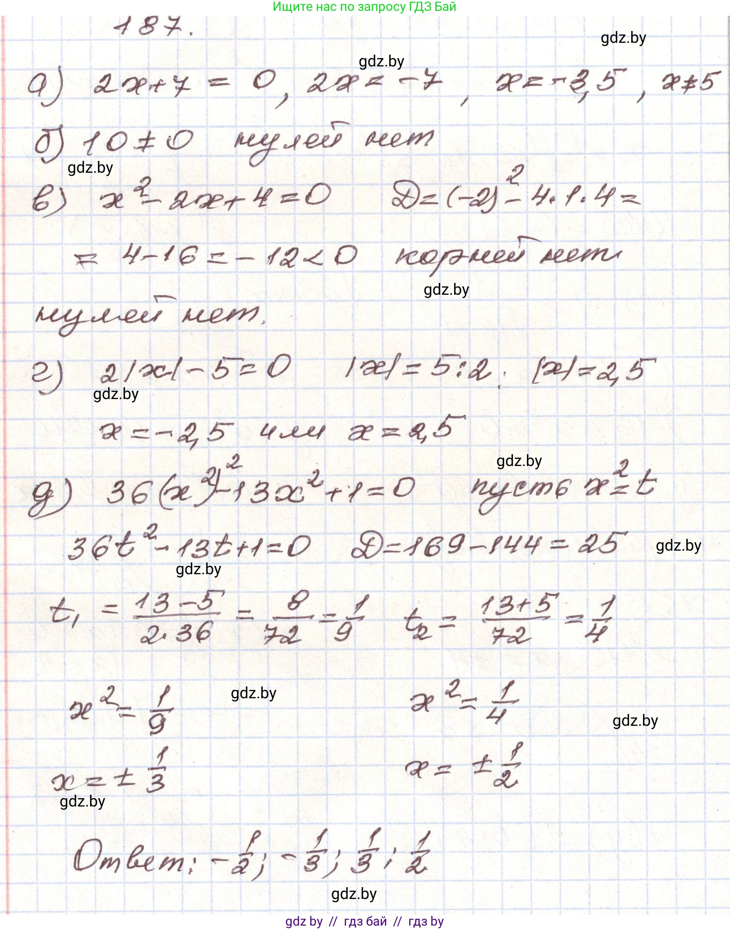
187. Найдите нули функции:

a) $y = \frac{2x+7}{x-5}$;

б) $y = \frac{10}{x^2-4}$;

в) $y = x^2 - 2x + 4$;

г) $y = 2|x| - 5$;

д) $y = 36x^4 - 13x^2 + 1$;

е) $y = \frac{x^2-5x+4}{x^2-4x+3}$;

ж) $y = \frac{3}{x^2} + 1.

Решение. №187 (с. 283)
Алгебра, 9 класс Учебник, авторы: Арефьева Ирина Глебовна, Пирютко Ольга Николаевна, издательство Народная асвета, Минск, 2019, голубого цвета, страница 283, номер 187, Решение Алгебра, 9 класс Учебник, авторы: Арефьева Ирина Глебовна, Пирютко Ольга Николаевна, издательство Народная асвета, Минск, 2019, голубого цвета, страница 283, номер 187, Решение (продолжение 2)
Решение 2. №187 (с. 283)
Для нахождения нулей функции необходимо приравнять значение функции (y) к нулю и решить полученное уравнение относительно переменной x. Нули функции – это точки пересечения графика функции с осью абсцисс (Ox).

а)Дана функция $y = \frac{2x + 7}{x - 5}$. Приравниваем функцию к нулю, чтобы найти ее нули:$y = 0 \implies \frac{2x + 7}{x - 5} = 0$. Дробь равна нулю тогда и только тогда, когда ее числитель равен нулю, а знаменатель не равен нулю.1. Приравниваем числитель к нулю:$2x + 7 = 0$$2x = -7$$x = -\frac{7}{2}$2. Проверяем, что знаменатель не равен нулю при найденном значении x (область допустимых значений, ОДЗ):$x - 5 \neq 0 \implies x \neq 5$. Поскольку $-\frac{7}{2} \neq 5$, найденное значение является нулем функции. Преобразуем неправильную дробь в смешанное число:$x = -\frac{7}{2} = -3\frac{1}{2}$.Ответ: а) $x = -\boldsymbol{3}\frac{1}{2}$.

б)Дана функция $y = \frac{10}{x^2 - 4}$. Приравниваем функцию к нулю:$y = 0 \implies \frac{10}{x^2 - 4} = 0$. Дробь может быть равна нулю только если ее числитель равен нулю. В данном случае числитель равен 10. Уравнение $10 = 0$ является неверным, следовательно, оно не имеет решений.Ответ: б) нулей нет.

в)Дана функция $y = x^2 - 2x + 4$. Приравниваем функцию к нулю:$y = 0 \implies x^2 - 2x + 4 = 0$. Это квадратное уравнение. Для его решения найдем дискриминант $D$:$D = b^2 - 4ac = (-2)^2 - 4 \cdot 1 \cdot 4 = 4 - 16 = -12$. Поскольку дискриминант $D < 0$, у уравнения нет действительных корней.Ответ: в) нулей нет.

г)Дана функция $y = 2|x| - 5$. Приравниваем функцию к нулю:$y = 0 \implies 2|x| - 5 = 0$. Решаем уравнение относительно $|x|$:$2|x| = 5$$|x| = \frac{5}{2}$. Уравнение с модулем распадается на два случая:$x = \frac{5}{2}$ или $x = -\frac{5}{2}$. Преобразуем неправильные дроби в смешанные числа:$x = \pm 2\frac{1}{2}$.Ответ: г) $x = \pm \boldsymbol{2}\frac{1}{2}$.

д)Дана функция $y = 36x^4 - 13x^2 + 1$. Приравниваем функцию к нулю:$y = 0 \implies 36x^4 - 13x^2 + 1 = 0$. Это биквадратное уравнение. Введем замену переменной: пусть $t = x^2$. Так как $x^2 \ge 0$, то и $t \ge 0$. Уравнение принимает вид:$36t^2 - 13t + 1 = 0$. Решаем полученное квадратное уравнение с помощью дискриминанта:$D = (-13)^2 - 4 \cdot 36 \cdot 1 = 169 - 144 = 25$.$t_{1,2} = \frac{-(-13) \pm \sqrt{25}}{2 \cdot 36} = \frac{13 \pm 5}{72}$.$t_1 = \frac{13 + 5}{72} = \frac{18}{72} = \frac{1}{4}$.$t_2 = \frac{13 - 5}{72} = \frac{8}{72} = \frac{1}{9}$. Оба значения $t$ положительны, поэтому они удовлетворяют условию $t \ge 0$. Возвращаемся к исходной переменной $x$:1. $x^2 = t_1 \implies x^2 = \frac{1}{4} \implies x = \pm\sqrt{\frac{1}{4}} \implies x = \pm\frac{1}{2}$.2. $x^2 = t_2 \implies x^2 = \frac{1}{9} \implies x = \pm\sqrt{\frac{1}{9}} \implies x = \pm\frac{1}{3}$.Ответ: д) $x = \pm \frac{1}{2}; x = \pm \frac{1}{3}$.

е)Дана функция $y = \frac{x^2 - 5x + 4}{x^2 - 4x + 3}$. Приравниваем функцию к нулю:$y = 0 \implies \frac{x^2 - 5x + 4}{x^2 - 4x + 3} = 0$. Дробь равна нулю, когда числитель равен нулю, а знаменатель отличен от нуля.1. Находим корни числителя:$x^2 - 5x + 4 = 0$. По теореме Виета, сумма корней равна 5, а их произведение равно 4. Корни: $x_1 = 1, x_2 = 4$.2. Находим значения $x$, при которых знаменатель равен нулю, чтобы исключить их из решения (ОДЗ):$x^2 - 4x + 3 = 0$. По теореме Виета, сумма корней равна 4, а их произведение равно 3. Корни: $x_3 = 1, x_4 = 3$. Следовательно, ОДЗ: $x \neq 1$ и $x \neq 3$.3. Сопоставляем корни числителя с ОДЗ. Корень $x=1$ не входит в ОДЗ, поэтому он не является нулем функции (в этой точке на графике будет "выколотая" точка). Корень $x=4$ удовлетворяет ОДЗ.Ответ: е) $x = 4$.

ж)Дана функция $y = \frac{3}{x^2} + 1$. Приравниваем функцию к нулю:$y = 0 \implies \frac{3}{x^2} + 1 = 0$. Переносим 1 в правую часть:$\frac{3}{x^2} = -1$. Домножаем обе части на $x^2$ (при условии, что $x \neq 0$, что является ОДЗ для данной функции):$3 = -x^2 \implies x^2 = -3$. Квадрат любого действительного числа не может быть отрицательным. Следовательно, это уравнение не имеет действительных корней.Ответ: ж) нулей нет.

Помогло решение? Оставьте отзыв в комментариях ниже.

Присоединяйтесь к Телеграм-группе @gdz_by_belarus

Присоединиться

Мы подготовили для вас ответ c подробным объяснением домашего задания по алгебре за 9 класс, для упражнения номер 187 расположенного на странице 283 к учебнику 2019 года издания для учащихся школ и гимназий.

Теперь на нашем сайте ГДЗ.ТОП вы всегда легко и бесплатно найдёте условие с правильным ответом на вопрос «Как решить ДЗ» и «Как сделать» задание по алгебре к упражнению №187 (с. 283), авторов: Арефьева (Ирина Глебовна), Пирютко (Ольга Николаевна), учебного пособия издательства Народная асвета.