Номер 169, страница 280 - гдз по алгебре 9 класс учебник Арефьева, Пирютко
Авторы: Арефьева И. Г., Пирютко О. Н.
Тип: Учебник
Издательство: Народная асвета
Год издания: 2019 - 2026
Цвет обложки: голубой, синий с графиком
ISBN: 978-985-03-3077-2
Допущено Министерством образования Республики Беларусь
Популярные ГДЗ в 9 классе
Итоговое повторение. Выражения и их преобразования - номер 169, страница 280.
№169 (с. 280)
Условие. №169 (с. 280)
скриншот условия
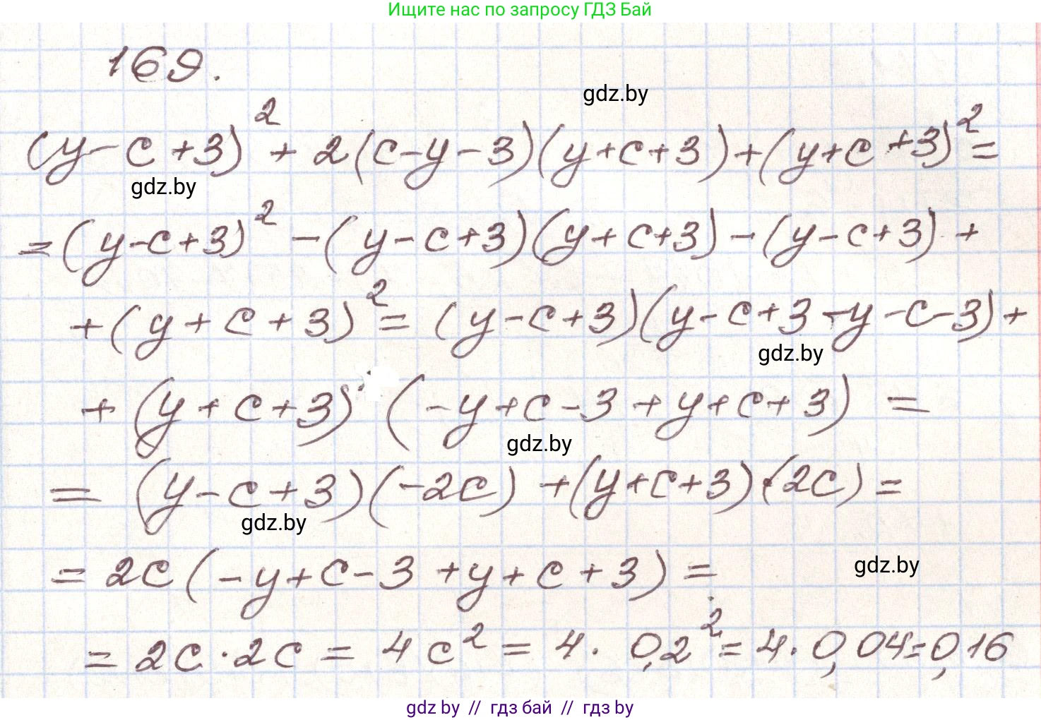
169*. Найдите значение выражения
$(y-c+3)^2 + 2(c-y-3)(y+c+3) + (y+c+3)^2$
при $c=0,2$ и $y=-8,029$.
Решение. №169 (с. 280)
Решение 2. №169 (с. 280)
Для решения данной задачи сначала упростим исходное выражение. Заметим, что его структура напоминает формулу квадрата суммы или разности: $a^2 \pm 2ab + b^2 = (a \pm b)^2$.
Исходное выражение:
$(y - c + 3)^2 + 2(c - y - 3)(y + c + 3) + (y + c + 3)^2$
Рассмотрим средний член $2(c - y - 3)(y + c + 3)$. Преобразуем первый множитель в скобках, вынеся знак минус:
$c - y - 3 = -( -c + y + 3) = -(y - c + 3)$
Теперь подставим преобразованный член обратно в исходное выражение:
$(y - c + 3)^2 + 2 \cdot (-(y - c + 3)) \cdot (y + c + 3) + (y + c + 3)^2$
$(y - c + 3)^2 - 2(y - c + 3)(y + c + 3) + (y + c + 3)^2$
Полученное выражение является формулой квадрата разности $(a-b)^2$, где:
- $a = y - c + 3$
- $b = y + c + 3$
Свернем выражение по этой формуле:
$(a - b)^2 = ((y - c + 3) - (y + c + 3))^2$
Упростим выражение внутри скобок, раскрыв их:
$(y - c + 3 - y - c - 3)^2$
Приведем подобные слагаемые:
$((y - y) + (-c - c) + (3 - 3))^2 = (-2c)^2$
Возведем в квадрат:
$(-2c)^2 = 4c^2$
Таким образом, исходное громоздкое выражение равно $4c^2$. Заметим, что его значение не зависит от переменной $y$.
Теперь подставим в полученное упрощенное выражение значение $c = 0,2$:
$4c^2 = 4 \cdot (0,2)^2 = 4 \cdot 0,04 = 0,16$
Ответ: 0,16
Другие задания:
Помогло решение? Оставьте отзыв в комментариях ниже.
Присоединяйтесь к Телеграм-группе @gdz_by_belarus
ПрисоединитьсяМы подготовили для вас ответ c подробным объяснением домашего задания по алгебре за 9 класс, для упражнения номер 169 расположенного на странице 280 к учебнику 2019 года издания для учащихся школ и гимназий.
Теперь на нашем сайте ГДЗ.ТОП вы всегда легко и бесплатно найдёте условие с правильным ответом на вопрос «Как решить ДЗ» и «Как сделать» задание по алгебре к упражнению №169 (с. 280), авторов: Арефьева (Ирина Глебовна), Пирютко (Ольга Николаевна), учебного пособия издательства Народная асвета.