Номер 117, страница 276 - гдз по алгебре 9 класс учебник Арефьева, Пирютко

Алгебра, 9 класс Учебник, авторы: Арефьева Ирина Глебовна, Пирютко Ольга Николаевна, издательство Народная асвета, Минск, 2019, голубого цвета

Авторы: Арефьева И. Г., Пирютко О. Н.

Тип: Учебник

Издательство: Народная асвета

Год издания: 2019 - 2026

Цвет обложки: голубой, синий с графиком

ISBN: 978-985-03-3077-2

Допущено Министерством образования Республики Беларусь

Популярные ГДЗ в 9 классе

Итоговое повторение. Выражения и их преобразования - номер 117, страница 276.

№117 (с. 276)
Условие. №117 (с. 276)
скриншот условия
Алгебра, 9 класс Учебник, авторы: Арефьева Ирина Глебовна, Пирютко Ольга Николаевна, издательство Народная асвета, Минск, 2019, голубого цвета, страница 276, номер 117, Условие

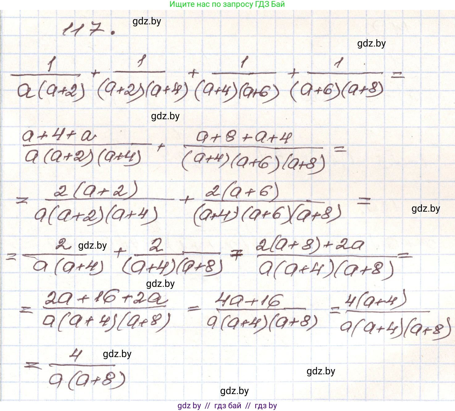
117*. Упростите выражение

$\frac{1}{a(a+2)} + \frac{1}{(a+2)(a+4)} + \frac{1}{(a+4)(a+6)} + \frac{1}{(a+6)(a+8)}$

Решение. №117 (с. 276)
Алгебра, 9 класс Учебник, авторы: Арефьева Ирина Глебовна, Пирютко Ольга Николаевна, издательство Народная асвета, Минск, 2019, голубого цвета, страница 276, номер 117, Решение
Решение 2. №117 (с. 276)

Для упрощения данного выражения представим каждую дробь в виде разности двух дробей. Общий вид каждого слагаемого — $ \frac{1}{x(x+k)} $. В данном случае $ k=2 $.

Разложим дробь вида $ \frac{1}{x(x+2)} $ на простейшие дроби методом неопределенных коэффициентов:

$ \frac{1}{x(x+2)} = \frac{A}{x} + \frac{B}{x+2} $

Приведем правую часть к общему знаменателю $ x(x+2) $, чтобы найти коэффициенты $ A $ и $ B $:

$ 1 = A(x+2) + Bx $

Это равенство является тождеством. Найдем коэффициенты, подставив удобные значения $ x $:

  • Если $ x = 0 $, то $ 1 = A(0+2) + B \cdot 0 \Rightarrow 1 = 2A \Rightarrow A = \frac{1}{2} $.
  • Если $ x = -2 $, то $ 1 = A(-2+2) + B(-2) \Rightarrow 1 = -2B \Rightarrow B = -\frac{1}{2} $.

Следовательно, каждая дробь в исходном выражении может быть представлена в виде:

$ \frac{1}{x(x+2)} = \frac{1/2}{x} - \frac{1/2}{x+2} = \frac{1}{2} \left(\frac{1}{x} - \frac{1}{x+2}\right) $

Применим эту формулу к каждому слагаемому исходной суммы:

$ \frac{1}{a(a+2)} + \frac{1}{(a+2)(a+4)} + \frac{1}{(a+4)(a+6)} + \frac{1}{(a+6)(a+8)} = $

$ = \frac{1}{2}\left(\frac{1}{a} - \frac{1}{a+2}\right) + \frac{1}{2}\left(\frac{1}{a+2} - \frac{1}{a+4}\right) + \frac{1}{2}\left(\frac{1}{a+4} - \frac{1}{a+6}\right) + \frac{1}{2}\left(\frac{1}{a+6} - \frac{1}{a+8}\right) $

Вынесем общий множитель $ \frac{1}{2} $ за скобки. Получим телескопическую сумму, в которой все промежуточные члены взаимно сокращаются:

$ = \frac{1}{2} \left[ \left(\frac{1}{a} - \frac{1}{a+2}\right) + \left(\frac{1}{a+2} - \frac{1}{a+4}\right) + \left(\frac{1}{a+4} - \frac{1}{a+6}\right) + \left(\frac{1}{a+6} - \frac{1}{a+8}\right) \right] $

$ = \frac{1}{2} \left[ \frac{1}{a} - \frac{1}{a+2} + \frac{1}{a+2} - \frac{1}{a+4} + \frac{1}{a+4} - \frac{1}{a+6} + \frac{1}{a+6} - \frac{1}{a+8} \right] $

После сокращения остаются только первый и последний члены:

$ = \frac{1}{2} \left( \frac{1}{a} - \frac{1}{a+8} \right) $

Приведем дроби в скобках к общему знаменателю $ a(a+8) $:

$ = \frac{1}{2} \left( \frac{1 \cdot (a+8) - 1 \cdot a}{a(a+8)} \right) = \frac{1}{2} \left( \frac{a+8 - a}{a(a+8)} \right) = \frac{1}{2} \cdot \frac{8}{a(a+8)} $

Сократим полученное выражение:

$ = \frac{4}{a(a+8)} $

Ответ: $ \frac{4}{a(a+8)} $

Помогло решение? Оставьте отзыв в комментариях ниже.

Присоединяйтесь к Телеграм-группе @gdz_by_belarus

Присоединиться

Мы подготовили для вас ответ c подробным объяснением домашего задания по алгебре за 9 класс, для упражнения номер 117 расположенного на странице 276 к учебнику 2019 года издания для учащихся школ и гимназий.

Теперь на нашем сайте ГДЗ.ТОП вы всегда легко и бесплатно найдёте условие с правильным ответом на вопрос «Как решить ДЗ» и «Как сделать» задание по алгебре к упражнению №117 (с. 276), авторов: Арефьева (Ирина Глебовна), Пирютко (Ольга Николаевна), учебного пособия издательства Народная асвета.