Номер 4.71, страница 220 - гдз по алгебре 9 класс учебник Арефьева, Пирютко

Алгебра, 9 класс Учебник, авторы: Арефьева Ирина Глебовна, Пирютко Ольга Николаевна, издательство Народная асвета, Минск, 2019, голубого цвета

Авторы: Арефьева И. Г., Пирютко О. Н.

Тип: Учебник

Издательство: Народная асвета

Год издания: 2019 - 2026

Цвет обложки: голубой, синий с графиком

ISBN: 978-985-03-3077-2

Допущено Министерством образования Республики Беларусь

Популярные ГДЗ в 9 классе

Глава 4. Прогрессии. Параграф 15. Арифметическая прогрессия - номер 4.71, страница 220.

№4.71 (с. 220)
Условие. №4.71 (с. 220)
скриншот условия
Алгебра, 9 класс Учебник, авторы: Арефьева Ирина Глебовна, Пирютко Ольга Николаевна, издательство Народная асвета, Минск, 2019, голубого цвета, страница 220, номер 4.71, Условие

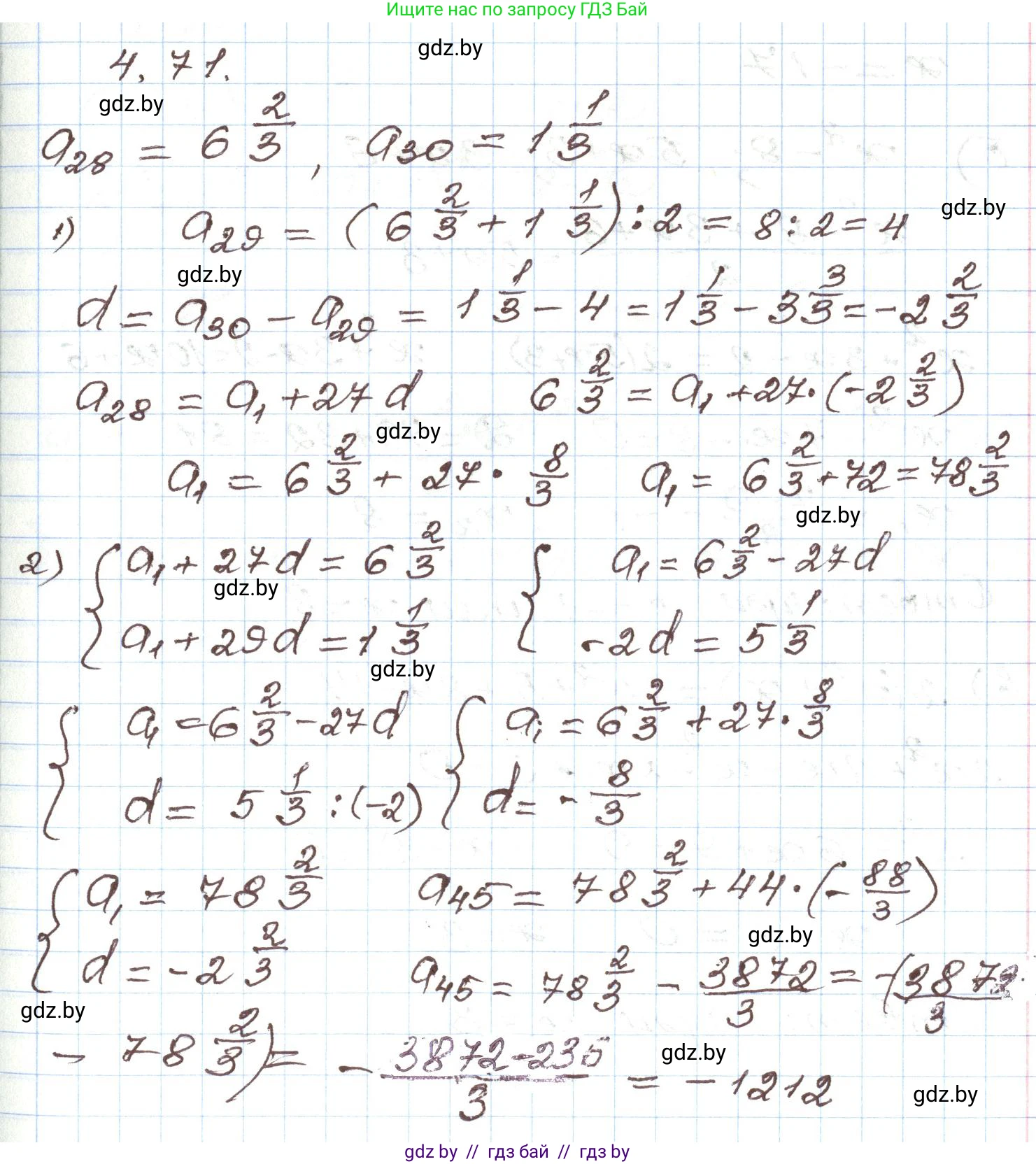
4.71. В арифметической прогрессии $a_{28} = 6\frac{2}{3}$, $a_{30} = 1\frac{1}{3}$.

Найдите $a_{29}$; $d$; $a_1$; $a_{45}$. Выполните задание разными способами.

Решение. №4.71 (с. 220)
Алгебра, 9 класс Учебник, авторы: Арефьева Ирина Глебовна, Пирютко Ольга Николаевна, издательство Народная асвета, Минск, 2019, голубого цвета, страница 220, номер 4.71, Решение
Решение 2. №4.71 (с. 220)

Дана арифметическая прогрессия, в которой известны два члена: $a_{28} = 6\frac{2}{3}$ и $a_{30} = 1\frac{1}{3}$.

Для удобства вычислений переведем смешанные числа в неправильные дроби:
$a_{28} = 6\frac{2}{3} = \frac{6 \cdot 3 + 2}{3} = \frac{20}{3}$
$a_{30} = 1\frac{1}{3} = \frac{1 \cdot 3 + 1}{3} = \frac{4}{3}$

Требуется найти $a_{29}$, разность прогрессии $d$, первый член $a_1$ и сорок пятый член $a_{45}$.

Способ 1: Нахождение $a_{29}$ через среднее арифметическое

  1. Находим $a_{29}$
    Каждый член арифметической прогрессии, начиная со второго, является средним арифметическим соседних с ним членов. Поэтому $a_{29}$ можно найти как среднее арифметическое $a_{28}$ и $a_{30}$:
    $a_{29} = \frac{a_{28} + a_{30}}{2} = \frac{\frac{20}{3} + \frac{4}{3}}{2} = \frac{\frac{24}{3}}{2} = \frac{8}{2} = 4$.
  2. Находим разность прогрессии $d$
    Разность прогрессии $d$ — это разница между любым последующим и предыдущим членом:
    $d = a_{29} - a_{28} = 4 - 6\frac{2}{3} = \frac{12}{3} - \frac{20}{3} = -\frac{8}{3} = -2\frac{2}{3}$.
  3. Находим первый член $a_1$
    Используем формулу n-го члена арифметической прогрессии: $a_n = a_1 + (n-1)d$. Выразим $a_1$ через $a_{28}$:
    $a_1 = a_{28} - (28-1)d = a_{28} - 27d$
    $a_1 = \frac{20}{3} - 27 \cdot \left(-\frac{8}{3}\right) = \frac{20}{3} + 9 \cdot 8 = \frac{20}{3} + 72 = \frac{20 + 216}{3} = \frac{236}{3} = 78\frac{2}{3}$.
  4. Находим $a_{45}$
    Используем ту же формулу: $a_{45} = a_1 + (45-1)d = a_1 + 44d$.
    $a_{45} = \frac{236}{3} + 44 \cdot \left(-\frac{8}{3}\right) = \frac{236}{3} - \frac{352}{3} = \frac{236 - 352}{3} = -\frac{116}{3} = -38\frac{2}{3}$.

Способ 2: Нахождение разности $d$ в первую очередь

  1. Находим разность прогрессии $d$
    Используем формулу, связывающую два любых члена прогрессии: $a_m = a_n + (m-n)d$.
    $a_{30} = a_{28} + (30-28)d \Rightarrow a_{30} = a_{28} + 2d$
    Выразим $d$:
    $2d = a_{30} - a_{28} = \frac{4}{3} - \frac{20}{3} = -\frac{16}{3}$
    $d = -\frac{16}{3 \cdot 2} = -\frac{8}{3} = -2\frac{2}{3}$.
  2. Находим $a_{29}$
    Теперь, зная $d$, найдем $a_{29}$:
    $a_{29} = a_{28} + d = \frac{20}{3} + \left(-\frac{8}{3}\right) = \frac{20-8}{3} = \frac{12}{3} = 4$.
  3. Находим первый член $a_1$
    Вычисления аналогичны первому способу:
    $a_1 = a_{28} - 27d = \frac{20}{3} - 27 \left(-\frac{8}{3}\right) = \frac{20}{3} + 72 = \frac{236}{3} = 78\frac{2}{3}$.
  4. Находим $a_{45}$
    Также можно найти $a_{45}$ через любой другой известный член, например, $a_{30}$:
    $a_{45} = a_{30} + (45-30)d = a_{30} + 15d$
    $a_{45} = \frac{4}{3} + 15 \left(-\frac{8}{3}\right) = \frac{4}{3} - 5 \cdot 8 = \frac{4}{3} - 40 = \frac{4-120}{3} = -\frac{116}{3} = -38\frac{2}{3}$.

a29: Ответ: 4

d: Ответ: -2 $\frac{2}{3}$

a1: Ответ: 78 $\frac{2}{3}$

a45: Ответ: -38 $\frac{2}{3}$

Помогло решение? Оставьте отзыв в комментариях ниже.

Присоединяйтесь к Телеграм-группе @gdz_by_belarus

Присоединиться

Мы подготовили для вас ответ c подробным объяснением домашего задания по алгебре за 9 класс, для упражнения номер 4.71 расположенного на странице 220 к учебнику 2019 года издания для учащихся школ и гимназий.

Теперь на нашем сайте ГДЗ.ТОП вы всегда легко и бесплатно найдёте условие с правильным ответом на вопрос «Как решить ДЗ» и «Как сделать» задание по алгебре к упражнению №4.71 (с. 220), авторов: Арефьева (Ирина Глебовна), Пирютко (Ольга Николаевна), учебного пособия издательства Народная асвета.