Номер 4.48, страница 218 - гдз по алгебре 9 класс учебник Арефьева, Пирютко

Алгебра, 9 класс Учебник, авторы: Арефьева Ирина Глебовна, Пирютко Ольга Николаевна, издательство Народная асвета, Минск, 2019, голубого цвета

Авторы: Арефьева И. Г., Пирютко О. Н.

Тип: Учебник

Издательство: Народная асвета

Год издания: 2019 - 2026

Цвет обложки: голубой, синий с графиком

ISBN: 978-985-03-3077-2

Допущено Министерством образования Республики Беларусь

Популярные ГДЗ в 9 классе

Глава 4. Прогрессии. Параграф 15. Арифметическая прогрессия - номер 4.48, страница 218.

№4.48 (с. 218)
Условие. №4.48 (с. 218)
скриншот условия
Алгебра, 9 класс Учебник, авторы: Арефьева Ирина Глебовна, Пирютко Ольга Николаевна, издательство Народная асвета, Минск, 2019, голубого цвета, страница 218, номер 4.48, Условие

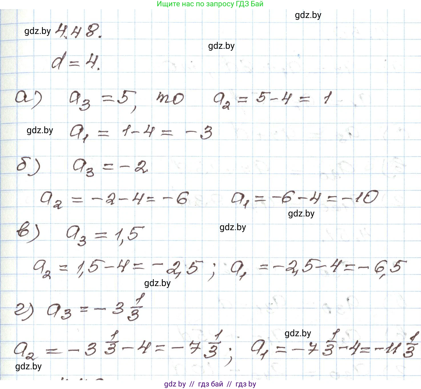
4.48. Разность арифметической прогрессии ($a_n$) равна 4. Найдите первый и второй члены этой прогрессии, если:

а) $a_3 = 5;$

б) $a_3 = -2;$

в) $a_3 = 1,5;$

г) $a_3 = -3\frac{1}{3}.$

Решение. №4.48 (с. 218)
Алгебра, 9 класс Учебник, авторы: Арефьева Ирина Глебовна, Пирютко Ольга Николаевна, издательство Народная асвета, Минск, 2019, голубого цвета, страница 218, номер 4.48, Решение
Решение 2. №4.48 (с. 218)

По условию задачи дана арифметическая прогрессия $(a_n)$, у которой известна разность $d=4$. Требуется найти первый ($a_1$) и второй ($a_2$) члены этой прогрессии для каждого из случаев.

Формула n-го члена арифметической прогрессии: $a_n = a_1 + (n-1)d$.

Зная третий член прогрессии ($a_3$) и разность ($d$), мы можем найти предыдущие члены.
Второй член $a_2$ можно найти по формуле: $a_2 = a_3 - d$.
Первый член $a_1$ можно найти по формуле: $a_1 = a_2 - d$.
Также можно выразить $a_1$ напрямую через $a_3$: $a_1 = a_3 - 2d$.

Рассчитаем значения для каждого подпункта.

а) Дано $a_3 = 5$.
Найдем второй член:
$a_2 = a_3 - d = 5 - 4 = 1$.
Найдем первый член:
$a_1 = a_2 - d = 1 - 4 = -3$.
Ответ: $a_1 = -3$, $a_2 = 1$.
б) Дано $a_3 = -2$.
Найдем второй член:
$a_2 = a_3 - d = -2 - 4 = -6$.
Найдем первый член:
$a_1 = a_2 - d = -6 - 4 = -10$.
Ответ: $a_1 = -10$, $a_2 = -6$.
в) Дано $a_3 = 1,5$.
Найдем второй член:
$a_2 = a_3 - d = 1,5 - 4 = -2,5$.
Найдем первый член:
$a_1 = a_2 - d = -2,5 - 4 = -6,5$.
Ответ: $a_1 = -6,5$, $a_2 = -2,5$.
г) Дано $a_3 = -3\frac{1}{3}$.
Найдем второй член:
$a_2 = a_3 - d = -3\frac{1}{3} - 4 = -7\frac{1}{3}$.
Найдем первый член:
$a_1 = a_2 - d = -7\frac{1}{3} - 4 = -11\frac{1}{3}$.
(Подробный расчет с дробями:
$a_2 = -\frac{10}{3} - \frac{12}{3} = -\frac{22}{3} = -7\frac{1}{3}$
$a_1 = -\frac{22}{3} - \frac{12}{3} = -\frac{34}{3} = -11\frac{1}{3}$)

Ответ: $a_1 = -11\frac{1}{3}$, $a_2 = -7\frac{1}{3}$.

Помогло решение? Оставьте отзыв в комментариях ниже.

Присоединяйтесь к Телеграм-группе @gdz_by_belarus

Присоединиться

Мы подготовили для вас ответ c подробным объяснением домашего задания по алгебре за 9 класс, для упражнения номер 4.48 расположенного на странице 218 к учебнику 2019 года издания для учащихся школ и гимназий.

Теперь на нашем сайте ГДЗ.ТОП вы всегда легко и бесплатно найдёте условие с правильным ответом на вопрос «Как решить ДЗ» и «Как сделать» задание по алгебре к упражнению №4.48 (с. 218), авторов: Арефьева (Ирина Глебовна), Пирютко (Ольга Николаевна), учебного пособия издательства Народная асвета.