Номер 4.265, страница 253 - гдз по алгебре 9 класс учебник Арефьева, Пирютко

Алгебра, 9 класс Учебник, авторы: Арефьева Ирина Глебовна, Пирютко Ольга Николаевна, издательство Народная асвета, Минск, 2019, голубого цвета

Авторы: Арефьева И. Г., Пирютко О. Н.

Тип: Учебник

Издательство: Народная асвета

Год издания: 2019 - 2026

Цвет обложки: голубой, синий с графиком

ISBN: 978-985-03-3077-2

Допущено Министерством образования Республики Беларусь

Популярные ГДЗ в 9 классе

Глава 4. Прогрессии. Параграф 18. Формула суммы n первых членов геометрической прогрессии - номер 4.265, страница 253.

№4.265 (с. 253)
Условие. №4.265 (с. 253)
скриншот условия
Алгебра, 9 класс Учебник, авторы: Арефьева Ирина Глебовна, Пирютко Ольга Николаевна, издательство Народная асвета, Минск, 2019, голубого цвета, страница 253, номер 4.265, Условие

4.265. В геометрической прогрессии ($b_n$) найдите $S_7$, если известно, что:

а) $b_6 = 48,6$; $b_7 = 72,9$;

б) $b_3 = 34$; $b_8 = 1088$.

Решение. №4.265 (с. 253)
Алгебра, 9 класс Учебник, авторы: Арефьева Ирина Глебовна, Пирютко Ольга Николаевна, издательство Народная асвета, Минск, 2019, голубого цвета, страница 253, номер 4.265, Решение Алгебра, 9 класс Учебник, авторы: Арефьева Ирина Глебовна, Пирютко Ольга Николаевна, издательство Народная асвета, Минск, 2019, голубого цвета, страница 253, номер 4.265, Решение (продолжение 2)
Решение 2. №4.265 (с. 253)

Для нахождения суммы первых семи членов геометрической прогрессии $S_7$ воспользуемся формулой суммы первых $n$ членов:

$S_n = \frac{b_1(q^n - 1)}{q - 1}$

где $b_1$ — это первый член прогрессии, а $q$ — её знаменатель. Для каждого пункта задачи сначала найдем $b_1$ и $q$.

а) Дано: $b_6 = 48,6$ и $b_7 = 72,9$.

1. Находим знаменатель прогрессии $q$ из отношения двух последовательных членов:

$q = \frac{b_7}{b_6} = \frac{72,9}{48,6} = \frac{3}{2} = 1,5$

2. Находим первый член прогрессии $b_1$, используя формулу $n$-го члена $b_n = b_1 \cdot q^{n-1}$:

$b_6 = b_1 \cdot q^{5} \implies b_1 = \frac{b_6}{q^5} = \frac{48,6}{(1,5)^5} = \frac{486/10}{(3/2)^5} = \frac{243/5}{243/32} = \frac{32}{5} = 6,4$

3. Вычисляем сумму $S_7$ и представляем результат в виде смешанной дроби:

$S_7 = \frac{b_1(q^7 - 1)}{q - 1} = \frac{\frac{32}{5}((\frac{3}{2})^7 - 1)}{\frac{3}{2} - 1} = \frac{\frac{32}{5}(\frac{2187}{128} - 1)}{\frac{1}{2}} = \frac{\frac{32}{5} \cdot \frac{2059}{128}}{\frac{1}{2}} = \frac{2059}{10} = 205\frac{9}{10}$

Ответ: $S_7 = \mathbf{205}\frac{9}{10}$

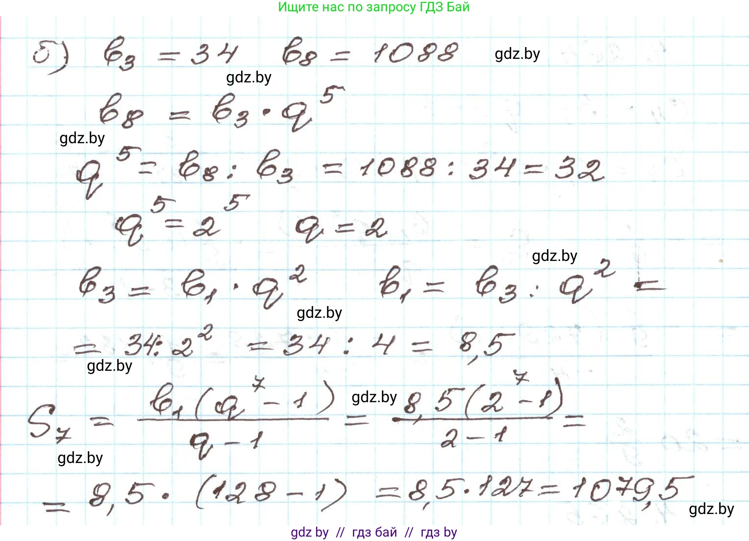
б) Дано: $b_3 = 34$ и $b_8 = 1088$.

1. Находим знаменатель прогрессии $q$ из соотношения $b_m = b_k \cdot q^{m-k}$:

$b_8 = b_3 \cdot q^{8-3} \implies 1088 = 34 \cdot q^5 \implies q^5 = \frac{1088}{34} = 32 \implies q = 2$

2. Находим первый член прогрессии $b_1$ из формулы $b_n = b_1 \cdot q^{n-1}$:

$b_3 = b_1 \cdot q^{2} \implies 34 = b_1 \cdot 2^2 \implies b_1 = \frac{34}{4} = \frac{17}{2} = 8,5$

3. Вычисляем сумму $S_7$ и представляем результат в виде смешанной дроби:

$S_7 = \frac{b_1(q^7 - 1)}{q - 1} = \frac{\frac{17}{2}(2^7 - 1)}{2 - 1} = \frac{17}{2} \cdot 127 = \frac{2159}{2} = 1079\frac{1}{2}$

Ответ: $S_7 = \mathbf{1079}\frac{1}{2}$

Помогло решение? Оставьте отзыв в комментариях ниже.

Присоединяйтесь к Телеграм-группе @gdz_by_belarus

Присоединиться

Мы подготовили для вас ответ c подробным объяснением домашего задания по алгебре за 9 класс, для упражнения номер 4.265 расположенного на странице 253 к учебнику 2019 года издания для учащихся школ и гимназий.

Теперь на нашем сайте ГДЗ.ТОП вы всегда легко и бесплатно найдёте условие с правильным ответом на вопрос «Как решить ДЗ» и «Как сделать» задание по алгебре к упражнению №4.265 (с. 253), авторов: Арефьева (Ирина Глебовна), Пирютко (Ольга Николаевна), учебного пособия издательства Народная асвета.