Номер 4.210, страница 244 - гдз по алгебре 9 класс учебник Арефьева, Пирютко

Алгебра, 9 класс Учебник, авторы: Арефьева Ирина Глебовна, Пирютко Ольга Николаевна, издательство Народная асвета, Минск, 2019, голубого цвета

Авторы: Арефьева И. Г., Пирютко О. Н.

Тип: Учебник

Издательство: Народная асвета

Год издания: 2019 - 2026

Цвет обложки: голубой, синий с графиком

ISBN: 978-985-03-3077-2

Допущено Министерством образования Республики Беларусь

Популярные ГДЗ в 9 классе

Глава 4. Прогрессии. Параграф 17. Геометрическая прогрессия - номер 4.210, страница 244.

№4.210 (с. 244)
Условие. №4.210 (с. 244)
скриншот условия
Алгебра, 9 класс Учебник, авторы: Арефьева Ирина Глебовна, Пирютко Ольга Николаевна, издательство Народная асвета, Минск, 2019, голубого цвета, страница 244, номер 4.210, Условие

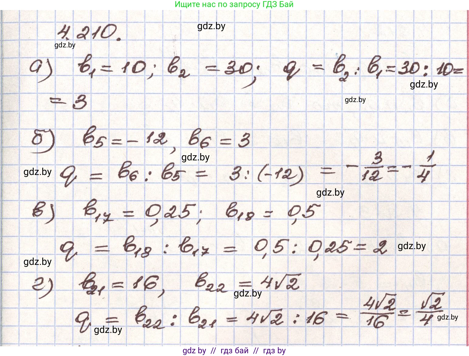
4.210. Найдите знаменатель геометрической прогрессии $(b_n)$, если:

a) $b_1 = 10, b_2 = 30;$

б) $b_5 = -12, b_6 = 3;$

в) $b_{17} = 0,25, b_{18} = 0,5;$

г) $b_{21} = 16, b_{22} = 4\sqrt{2}.$

Решение. №4.210 (с. 244)
Алгебра, 9 класс Учебник, авторы: Арефьева Ирина Глебовна, Пирютко Ольга Николаевна, издательство Народная асвета, Минск, 2019, голубого цвета, страница 244, номер 4.210, Решение
Решение 2. №4.210 (с. 244)

Знаменатель геометрической прогрессии ($q$) — это постоянное число, на которое умножается каждый член прогрессии для получения следующего. Для нахождения знаменателя нужно разделить последующий член прогрессии на предыдущий. Формула для нахождения знаменателя:$q = \frac{b_{n+1}}{b_n}$

а) Дано: $b_1 = 10$, $b_2 = 30$.
Найдем знаменатель прогрессии, разделив второй член на первый:$q = \frac{b_2}{b_1} = \frac{30}{10} = 3$.
Ответ: 3.

б) Дано: $b_5 = -12$, $b_6 = 3$.
Найдем знаменатель прогрессии, разделив шестой член на пятый:$q = \frac{b_6}{b_5} = \frac{3}{-12} = -\frac{1}{4}$.
Ответ: $-\frac{1}{4}$.

в) Дано: $b_{17} = 0,25$, $b_{18} = 0,5$.
Найдем знаменатель прогрессии, разделив восемнадцатый член на семнадцатый:$q = \frac{b_{18}}{b_{17}} = \frac{0.5}{0.25} = 2$.
Ответ: 2.

г) Дано: $b_{21} = 16$, $b_{22} = 4\sqrt{2}$.
Найдем знаменатель прогрессии, разделив двадцать второй член на двадцать первый:$q = \frac{b_{22}}{b_{21}} = \frac{4\sqrt{2}}{16} = \frac{\sqrt{2}}{4}$.
Ответ: $\frac{\sqrt{2}}{4}$.

Помогло решение? Оставьте отзыв в комментариях ниже.

Присоединяйтесь к Телеграм-группе @gdz_by_belarus

Присоединиться

Мы подготовили для вас ответ c подробным объяснением домашего задания по алгебре за 9 класс, для упражнения номер 4.210 расположенного на странице 244 к учебнику 2019 года издания для учащихся школ и гимназий.

Теперь на нашем сайте ГДЗ.ТОП вы всегда легко и бесплатно найдёте условие с правильным ответом на вопрос «Как решить ДЗ» и «Как сделать» задание по алгебре к упражнению №4.210 (с. 244), авторов: Арефьева (Ирина Глебовна), Пирютко (Ольга Николаевна), учебного пособия издательства Народная асвета.