Номер 4.199, страница 243 - гдз по алгебре 9 класс учебник Арефьева, Пирютко
Авторы: Арефьева И. Г., Пирютко О. Н.
Тип: Учебник
Издательство: Народная асвета
Год издания: 2019 - 2026
Цвет обложки: голубой, синий с графиком
ISBN: 978-985-03-3077-2
Допущено Министерством образования Республики Беларусь
Популярные ГДЗ в 9 классе
Глава 4. Прогрессии. Параграф 17. Геометрическая прогрессия - номер 4.199, страница 243.
№4.199 (с. 243)
Условие. №4.199 (с. 243)
скриншот условия
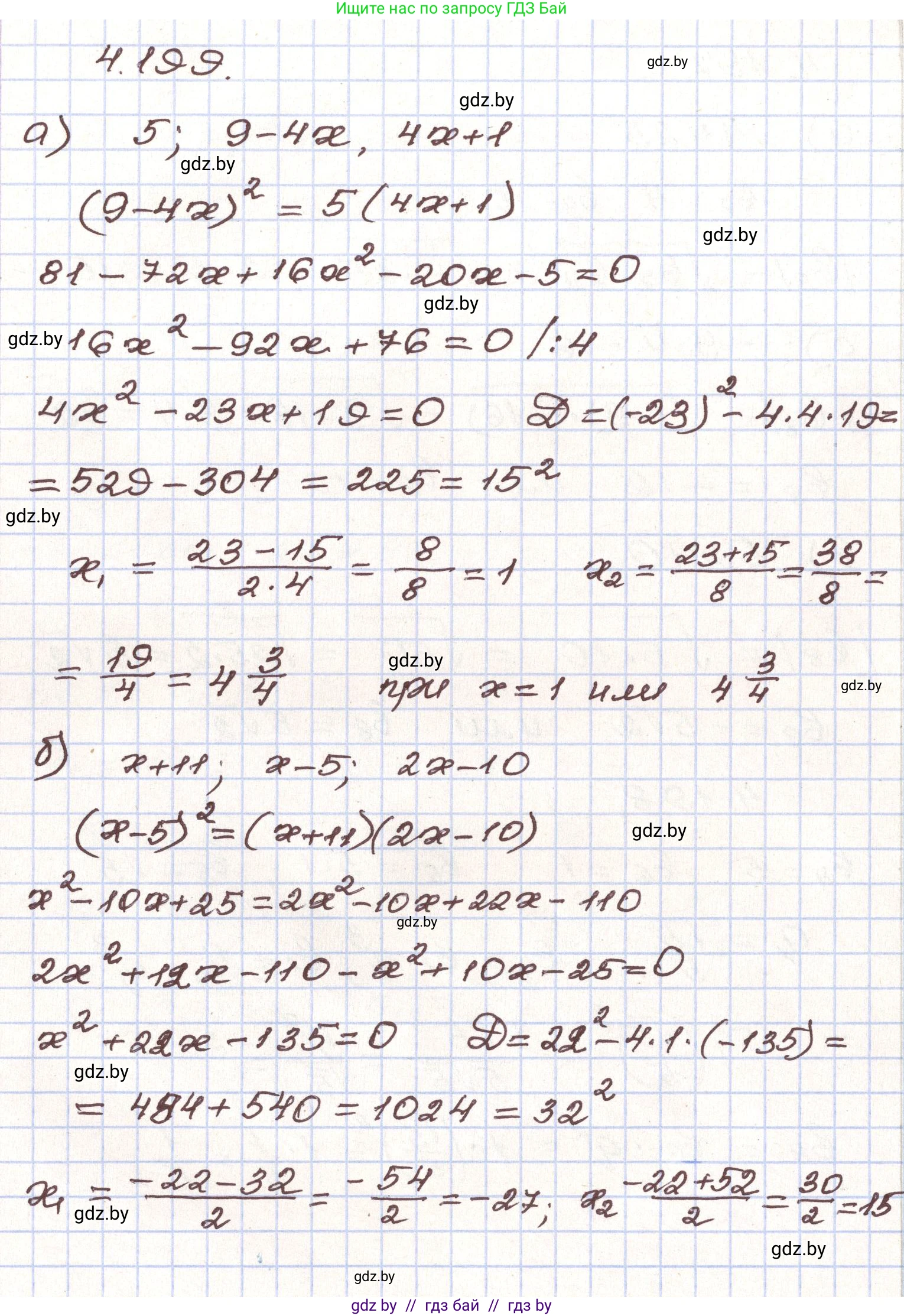
4.199. Найдите, при каком значении переменной значения выражений будут последовательными членами геометрической прогрессии:
а) $5$; $9-4x$ и $4x+1$;
б) $x+11$; $x-5$ и $2x-10$;
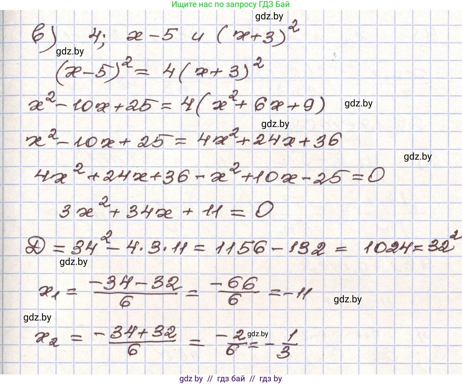
в) $4$; $x-5$ и $(x+3)^2$.
Решение. №4.199 (с. 243)
Решение 2. №4.199 (с. 243)
Для того чтобы три числа $b_1$, $b_2$ и $b_3$ были последовательными членами геометрической прогрессии, необходимо и достаточно, чтобы выполнялось характеристическое свойство геометрической прогрессии: квадрат среднего члена равен произведению двух крайних членов.
Формула: $b_2^2 = b_1 \cdot b_3$
а) 5; 9 − 4x и 4x + 1;Пусть $b_1 = 5$, $b_2 = 9 - 4x$ и $b_3 = 4x + 1$.
Согласно свойству геометрической прогрессии, составим уравнение:
$(9 - 4x)^2 = 5 \cdot (4x + 1)$
Раскроем скобки в обеих частях уравнения:
$81 - 2 \cdot 9 \cdot 4x + (4x)^2 = 20x + 5$
$81 - 72x + 16x^2 = 20x + 5$
Перенесем все члены в левую часть и приведем подобные слагаемые, чтобы получить квадратное уравнение:
$16x^2 - 72x - 20x + 81 - 5 = 0$
$16x^2 - 92x + 76 = 0$
Для удобства разделим все уравнение на 4:
$4x^2 - 23x + 19 = 0$
Решим квадратное уравнение через дискриминант $D = b^2 - 4ac$:
$D = (-23)^2 - 4 \cdot 4 \cdot 19 = 529 - 304 = 225$
Найдем корни уравнения:
$x_1 = \frac{-(-23) + \sqrt{225}}{2 \cdot 4} = \frac{23 + 15}{8} = \frac{38}{8} = \frac{19}{4}$
$x_2 = \frac{-(-23) - \sqrt{225}}{2 \cdot 4} = \frac{23 - 15}{8} = \frac{8}{8} = 1$
Преобразуем неправильную дробь $\frac{19}{4}$ в смешанное число: $\frac{19}{4} = 4\frac{3}{4}$.
Ответ: $1$ и $\mathbf{4}\frac{3}{4}$.
б) x + 11; x − 5 и 2x − 10;Пусть $b_1 = x + 11$, $b_2 = x - 5$ и $b_3 = 2x - 10$.
Составим уравнение на основе свойства геометрической прогрессии:
$(x - 5)^2 = (x + 11)(2x - 10)$
Вынесем общий множитель 2 в правой части:
$(x - 5)^2 = (x + 11) \cdot 2(x - 5)$
Перенесем все в левую часть и вынесем общий множитель $(x - 5)$ за скобки:
$(x - 5)^2 - 2(x + 11)(x - 5) = 0$
$(x - 5) \cdot [ (x - 5) - 2(x + 11) ] = 0$
$(x - 5) \cdot (x - 5 - 2x - 22) = 0$
$(x - 5) \cdot (-x - 27) = 0$
Произведение равно нулю, если один из множителей равен нулю:
1) $x - 5 = 0 \implies x = 5$
2) $-x - 27 = 0 \implies -x = 27 \implies x = -27$
Ответ: $-27$ и $5$.
в) 4; x − 5 и (x + 3)²;Пусть $b_1 = 4$, $b_2 = x - 5$ и $b_3 = (x + 3)^2$.
Составим уравнение, используя свойство геометрической прогрессии:
$(x - 5)^2 = 4 \cdot (x + 3)^2$
Это уравнение вида $A^2 = B^2$, которое равносильно $A = B$ или $A = -B$. Возьмем квадратный корень из обеих частей:
$\sqrt{(x - 5)^2} = \sqrt{4(x + 3)^2}$
$|x - 5| = 2|x + 3|$
Раскроем модули, что приводит к двум случаям:
Случай 1: $x - 5 = 2(x + 3)$
$x - 5 = 2x + 6$
$x - 2x = 6 + 5$
$-x = 11 \implies x = -11$
Случай 2: $x - 5 = -2(x + 3)$
$x - 5 = -2x - 6$
$x + 2x = 5 - 6$
$3x = -1 \implies x = -\frac{1}{3}$
Ответ: $-11$ и $-\frac{1}{3}$.
Другие задания:
Помогло решение? Оставьте отзыв в комментариях ниже.
Присоединяйтесь к Телеграм-группе @gdz_by_belarus
ПрисоединитьсяМы подготовили для вас ответ c подробным объяснением домашего задания по алгебре за 9 класс, для упражнения номер 4.199 расположенного на странице 243 к учебнику 2019 года издания для учащихся школ и гимназий.
Теперь на нашем сайте ГДЗ.ТОП вы всегда легко и бесплатно найдёте условие с правильным ответом на вопрос «Как решить ДЗ» и «Как сделать» задание по алгебре к упражнению №4.199 (с. 243), авторов: Арефьева (Ирина Глебовна), Пирютко (Ольга Николаевна), учебного пособия издательства Народная асвета.