Номер 4.17, страница 209 - гдз по алгебре 9 класс учебник Арефьева, Пирютко

Алгебра, 9 класс Учебник, авторы: Арефьева Ирина Глебовна, Пирютко Ольга Николаевна, издательство Народная асвета, Минск, 2019, голубого цвета

Авторы: Арефьева И. Г., Пирютко О. Н.

Тип: Учебник

Издательство: Народная асвета

Год издания: 2019 - 2026

Цвет обложки: голубой, синий с графиком

ISBN: 978-985-03-3077-2

Допущено Министерством образования Республики Беларусь

Популярные ГДЗ в 9 классе

Глава 4. Прогрессии. Параграф 14. Числовая последовательность - номер 4.17, страница 209.

№4.17 (с. 209)
Условие. №4.17 (с. 209)
скриншот условия
Алгебра, 9 класс Учебник, авторы: Арефьева Ирина Глебовна, Пирютко Ольга Николаевна, издательство Народная асвета, Минск, 2019, голубого цвета, страница 209, номер 4.17, Условие

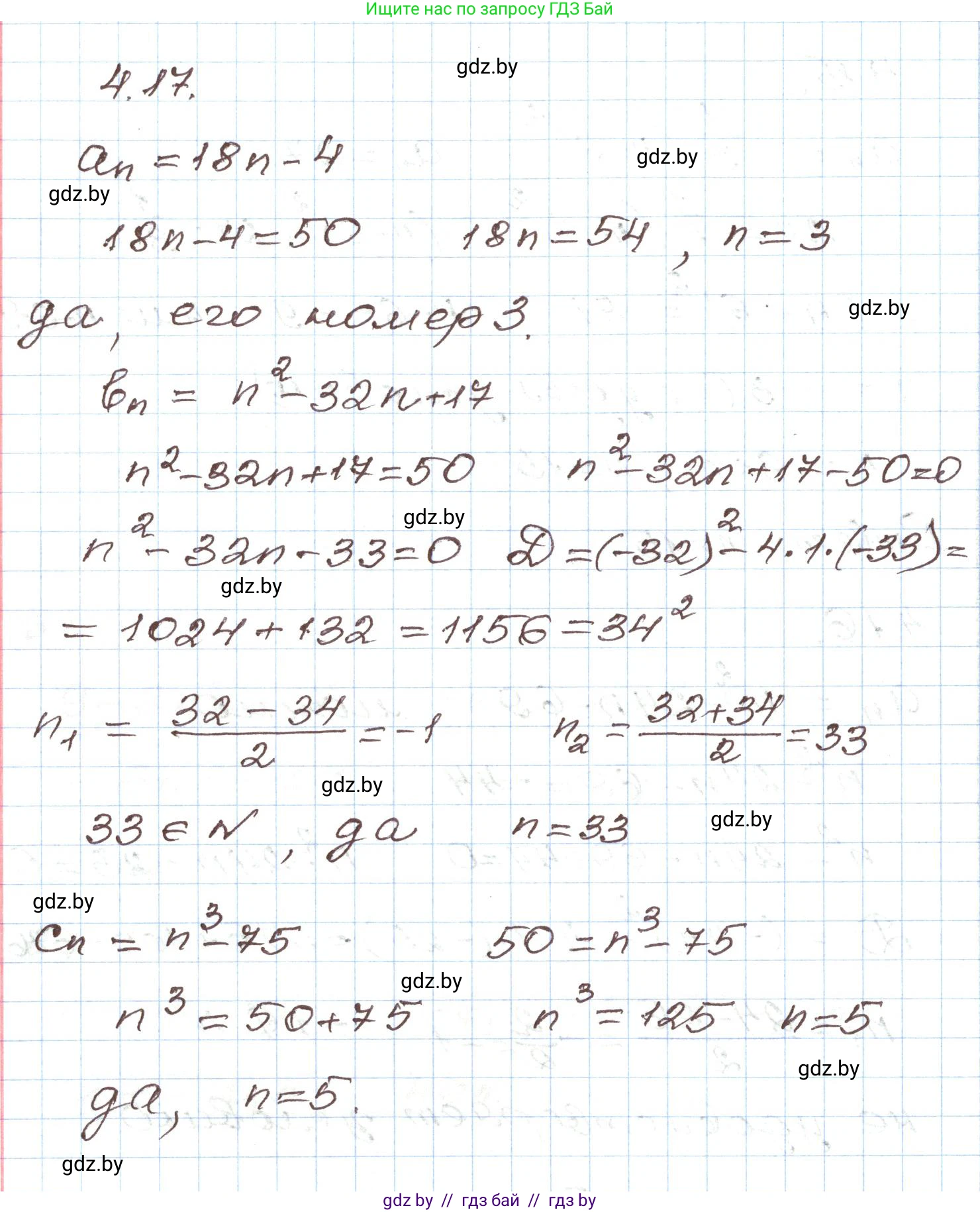
4.17. Последовательности $(a_n)$, $(b_n)$ и $(c_n)$ заданы формулами $n$-го члена $a_n = 18n - 4$; $b_n = n^2 - 32n + 17$; $c_n = n^3 - 75$. Существует ли в каждой последовательности член, равный 50? Если существует, найдите его номер.

Решение. №4.17 (с. 209)
Алгебра, 9 класс Учебник, авторы: Арефьева Ирина Глебовна, Пирютко Ольга Николаевна, издательство Народная асвета, Минск, 2019, голубого цвета, страница 209, номер 4.17, Решение
Решение 2. №4.17 (с. 209)

Чтобы определить, существует ли в каждой последовательности член, равный 50, необходимо приравнять формулу n-го члена к 50 и решить полученное уравнение относительно n. Номер члена последовательности n должен быть натуральным числом ($n \in \mathbb{N}$).

(an)

Для последовательности $a_n = 18n - 4$ составим и решим уравнение:

$18n - 4 = 50$

$18n = 50 + 4$

$18n = 54$

$n = \frac{54}{18} = 3$

Поскольку $n=3$ — натуральное число, член последовательности, равный 50, существует. Ответ: 3.

(bn)

Для последовательности $b_n = n^2 - 32n + 17$ составим и решим уравнение:

$n^2 - 32n + 17 = 50$

$n^2 - 32n - 33 = 0$

Это квадратное уравнение. Найдем его корни через дискриминант:

$D = b^2 - 4ac = (-32)^2 - 4 \cdot 1 \cdot (-33) = 1024 + 132 = 1156$

$\sqrt{D} = \sqrt{1156} = 34$

Корни уравнения:

$n_1 = \frac{-(-32) + 34}{2} = \frac{66}{2} = 33$

$n_2 = \frac{-(-32) - 34}{2} = \frac{-2}{2} = -1$

Корень $n_2 = -1$ не является натуральным числом. Корень $n_1 = 33$ является натуральным числом. Следовательно, член последовательности, равный 50, существует. Ответ: 33.

(cn)

Для последовательности $c_n = n^3 - 75$ составим и решим уравнение:

$n^3 - 75 = 50$

$n^3 = 50 + 75$

$n^3 = 125$

$n = \sqrt[3]{125} = 5$

Поскольку $n=5$ — натуральное число, член последовательности, равный 50, существует. Ответ: 5.

Помогло решение? Оставьте отзыв в комментариях ниже.

Присоединяйтесь к Телеграм-группе @gdz_by_belarus

Присоединиться

Мы подготовили для вас ответ c подробным объяснением домашего задания по алгебре за 9 класс, для упражнения номер 4.17 расположенного на странице 209 к учебнику 2019 года издания для учащихся школ и гимназий.

Теперь на нашем сайте ГДЗ.ТОП вы всегда легко и бесплатно найдёте условие с правильным ответом на вопрос «Как решить ДЗ» и «Как сделать» задание по алгебре к упражнению №4.17 (с. 209), авторов: Арефьева (Ирина Глебовна), Пирютко (Ольга Николаевна), учебного пособия издательства Народная асвета.