Номер 7, страница 201 - гдз по алгебре 9 класс учебник Арефьева, Пирютко

Алгебра, 9 класс Учебник, авторы: Арефьева Ирина Глебовна, Пирютко Ольга Николаевна, издательство Народная асвета, Минск, 2019, голубого цвета

Авторы: Арефьева И. Г., Пирютко О. Н.

Тип: Учебник

Издательство: Народная асвета

Год издания: 2019 - 2026

Цвет обложки: голубой, синий с графиком

ISBN: 978-985-03-3077-2

Допущено Министерством образования Республики Беларусь

Популярные ГДЗ в 9 классе

Глава 3. Дробно-рациональные уравнения и неравенства. Я проверяю свои знания - номер 7, страница 201.

№7 (с. 201)
Условие. №7 (с. 201)
скриншот условия
Алгебра, 9 класс Учебник, авторы: Арефьева Ирина Глебовна, Пирютко Ольга Николаевна, издательство Народная асвета, Минск, 2019, голубого цвета, страница 201, номер 7, Условие

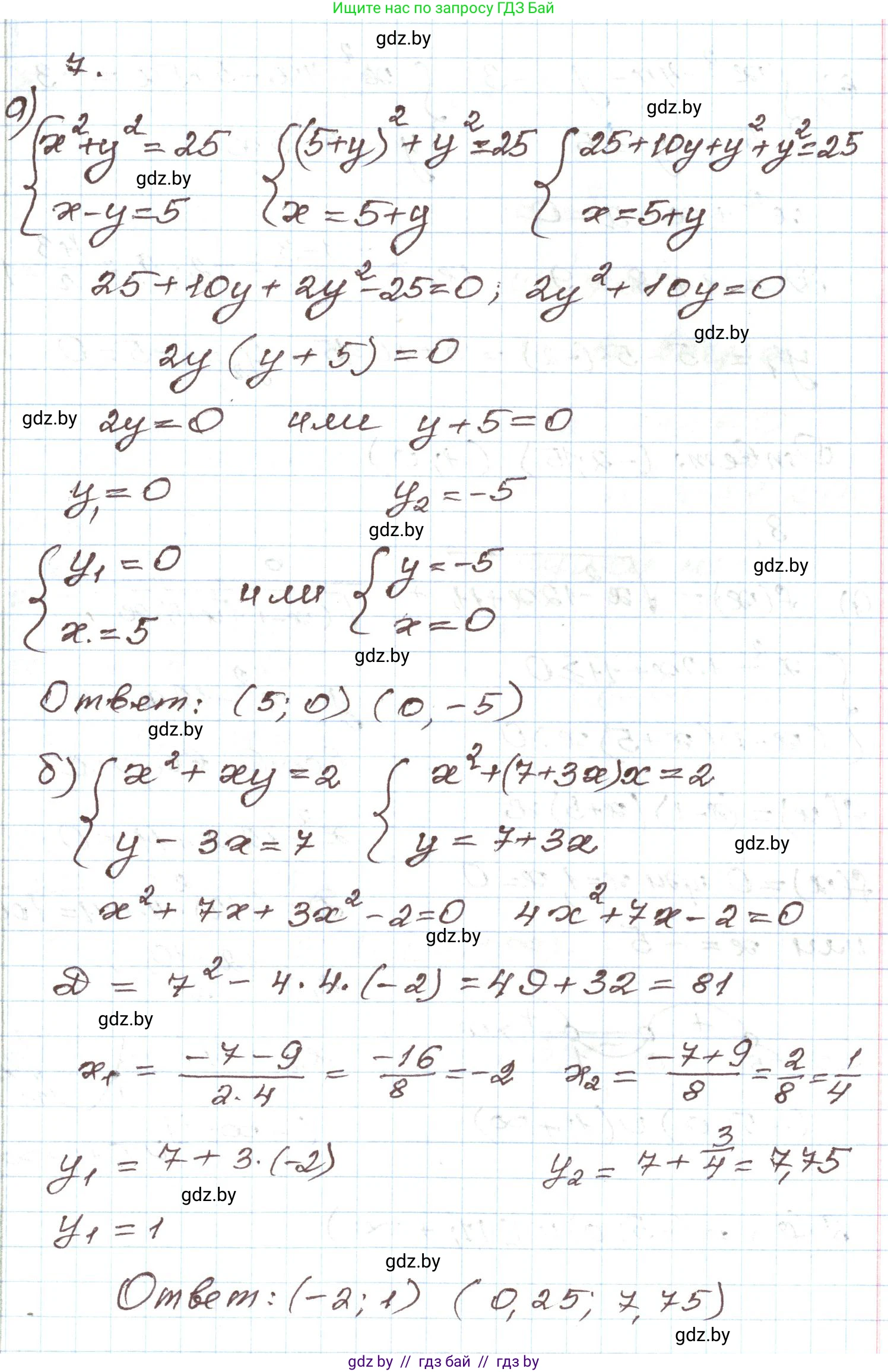
7. Решите систему уравнений:

а) $\begin{cases} x^2 + y^2 = 25, \\ x - y = 5; \end{cases}$

б) $\begin{cases} x^2 + xy = 2, \\ y - 3x = 7; \end{cases}$

в) $\begin{cases} x^2 - 4x - y = -3, \\ 5x + y = 5. \end{cases}$

Решение. №7 (с. 201)
Алгебра, 9 класс Учебник, авторы: Арефьева Ирина Глебовна, Пирютко Ольга Николаевна, издательство Народная асвета, Минск, 2019, голубого цвета, страница 201, номер 7, Решение Алгебра, 9 класс Учебник, авторы: Арефьева Ирина Глебовна, Пирютко Ольга Николаевна, издательство Народная асвета, Минск, 2019, голубого цвета, страница 201, номер 7, Решение (продолжение 2)
Решение 2. №7 (с. 201)

а) Дана система уравнений:

$\begin{cases} x^2 + y^2 = 25, \\ x - y = 5; \end{cases}$

Для решения этой системы используем метод подстановки. Выразим переменную $x$ из второго уравнения:

$x = y + 5$

Теперь подставим это выражение для $x$ в первое уравнение системы:

$(y + 5)^2 + y^2 = 25$

Раскроем скобки и упростим полученное уравнение:

$y^2 + 10y + 25 + y^2 = 25$

$2y^2 + 10y + 25 - 25 = 0$

$2y^2 + 10y = 0$

Вынесем общий множитель $2y$ за скобки:

$2y(y + 5) = 0$

Это уравнение имеет два корня:

$2y = 0 \Rightarrow y_1 = 0$

$y + 5 = 0 \Rightarrow y_2 = -5$

Теперь найдем соответствующие значения $x$, используя формулу $x = y + 5$:

При $y_1 = 0$, $x_1 = 0 + 5 = 5$.

При $y_2 = -5$, $x_2 = -5 + 5 = 0$.

Таким образом, система имеет два решения.

Ответ: $(5, 0)$, $(0, -5)$.

б) Дана система уравнений:

$\begin{cases} x^2 + xy = 2, \\ y - 3x = 7; \end{cases}$

Решим систему методом подстановки. Выразим переменную $y$ из второго уравнения:

$y = 3x + 7$

Подставим это выражение для $y$ в первое уравнение:

$x^2 + x(3x + 7) = 2$

Раскроем скобки и приведем подобные слагаемые:

$x^2 + 3x^2 + 7x = 2$

$4x^2 + 7x - 2 = 0$

Мы получили квадратное уравнение. Решим его с помощью дискриминанта:

$D = b^2 - 4ac = 7^2 - 4 \cdot 4 \cdot (-2) = 49 + 32 = 81$

$\sqrt{D} = \sqrt{81} = 9$

Найдем корни уравнения:

$x_1 = \frac{-b + \sqrt{D}}{2a} = \frac{-7 + 9}{2 \cdot 4} = \frac{2}{8} = \frac{1}{4}$

$x_2 = \frac{-b - \sqrt{D}}{2a} = \frac{-7 - 9}{2 \cdot 4} = \frac{-16}{8} = -2$

Теперь найдем соответствующие значения $y$, используя формулу $y = 3x + 7$:

При $x_1 = \frac{1}{4}$, $y_1 = 3 \cdot (\frac{1}{4}) + 7 = \frac{3}{4} + 7 = 7\frac{3}{4}$.

При $x_2 = -2$, $y_2 = 3 \cdot (-2) + 7 = -6 + 7 = 1$.

Система имеет два решения.

Ответ: $(\frac{1}{4}, 7\frac{3}{4})$, $(-2, 1)$.

в) Дана система уравнений:

$\begin{cases} x^2 - 4x - y = -3, \\ 5x + y = 5; \end{cases}$

Воспользуемся методом подстановки. Выразим $y$ из второго уравнения:

$y = 5 - 5x$

Подставим полученное выражение в первое уравнение:

$x^2 - 4x - (5 - 5x) = -3$

Раскроем скобки и упростим:

$x^2 - 4x - 5 + 5x = -3$

$x^2 + x - 5 = -3$

Перенесем все члены в левую часть, чтобы получить стандартное квадратное уравнение:

$x^2 + x - 5 + 3 = 0$

$x^2 + x - 2 = 0$

Это уравнение можно решить по теореме Виета или разложением на множители. Найдем два числа, произведение которых равно -2, а сумма равна -1. Это числа -2 и 1. Но по теореме Виета сумма корней $x_1+x_2 = -1$, а произведение $x_1x_2=-2$. Корни: $x_1 = -2$ и $x_2 = 1$.

Можно также разложить на множители:

$(x + 2)(x - 1) = 0$

Отсюда находим корни:

$x + 2 = 0 \Rightarrow x_1 = -2$

$x - 1 = 0 \Rightarrow x_2 = 1$

Теперь найдем соответствующие значения $y$ по формуле $y = 5 - 5x$:

При $x_1 = -2$, $y_1 = 5 - 5(-2) = 5 + 10 = 15$.

При $x_2 = 1$, $y_2 = 5 - 5(1) = 5 - 5 = 0$.

Система имеет два решения.

Ответ: $(-2, 15)$, $(1, 0)$.

Помогло решение? Оставьте отзыв в комментариях ниже.

Присоединяйтесь к Телеграм-группе @gdz_by_belarus

Присоединиться

Мы подготовили для вас ответ c подробным объяснением домашего задания по алгебре за 9 класс, для упражнения номер 7 расположенного на странице 201 к учебнику 2019 года издания для учащихся школ и гимназий.

Теперь на нашем сайте ГДЗ.ТОП вы всегда легко и бесплатно найдёте условие с правильным ответом на вопрос «Как решить ДЗ» и «Как сделать» задание по алгебре к упражнению №7 (с. 201), авторов: Арефьева (Ирина Глебовна), Пирютко (Ольга Николаевна), учебного пособия издательства Народная асвета.