Номер 3.9, страница 146 - гдз по алгебре 9 класс учебник Арефьева, Пирютко

Алгебра, 9 класс Учебник, авторы: Арефьева Ирина Глебовна, Пирютко Ольга Николаевна, издательство Народная асвета, Минск, 2019, голубого цвета

Авторы: Арефьева И. Г., Пирютко О. Н.

Тип: Учебник

Издательство: Народная асвета

Год издания: 2019 - 2026

Цвет обложки: голубой, синий с графиком

ISBN: 978-985-03-3077-2

Допущено Министерством образования Республики Беларусь

Популярные ГДЗ в 9 классе

Глава 3. Дробно-рациональные уравнения и неравенства. Параграф 10. Дробно-рациональные уравнения - номер 3.9, страница 146.

№3.9 (с. 146)
Условие. №3.9 (с. 146)
скриншот условия
Алгебра, 9 класс Учебник, авторы: Арефьева Ирина Глебовна, Пирютко Ольга Николаевна, издательство Народная асвета, Минск, 2019, голубого цвета, страница 146, номер 3.9, Условие

3.9. Решите уравнение, используя алгоритм:

а) $\frac{x-6}{x} = 4;$

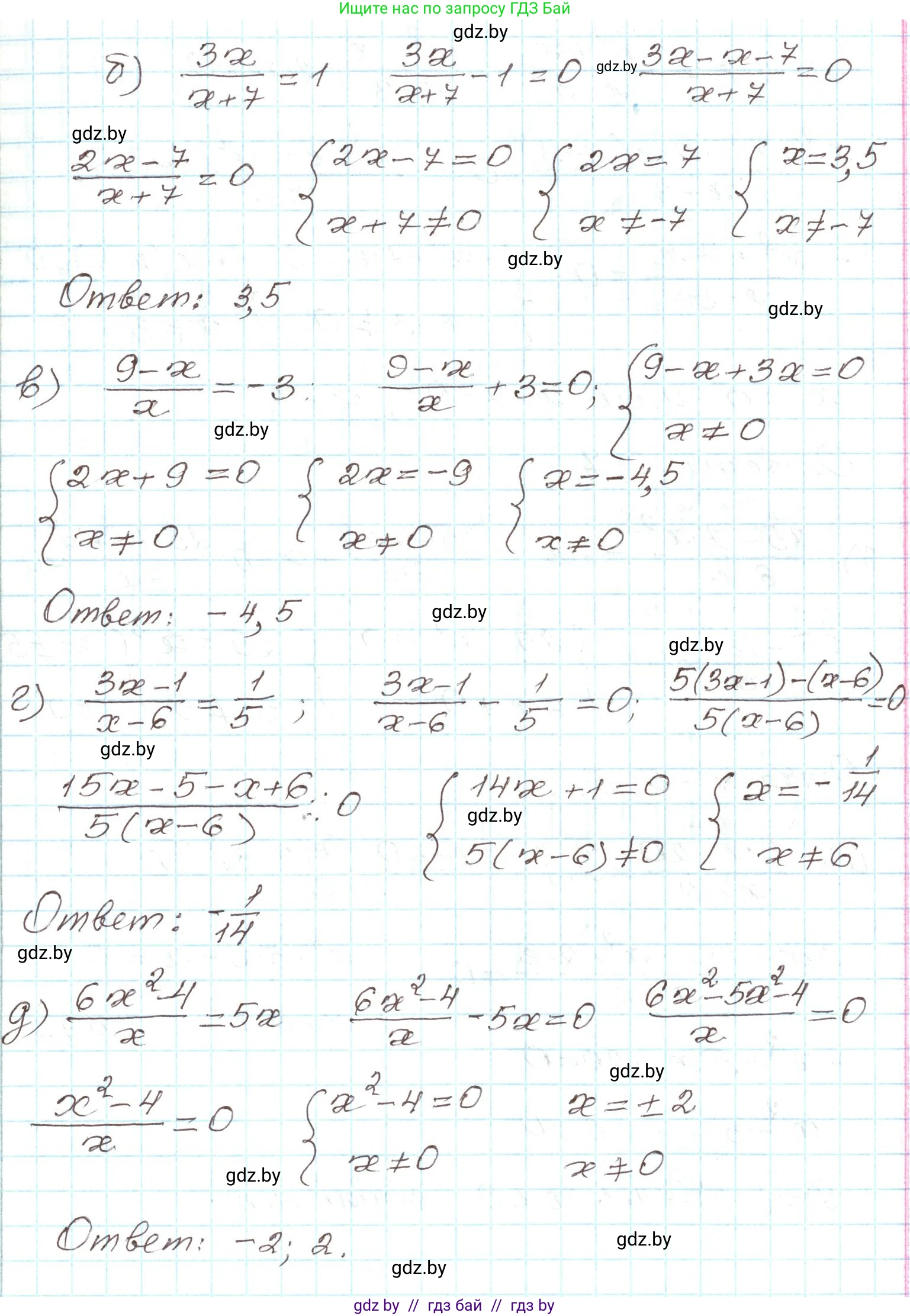
б) $\frac{3x}{x+7} = 1;$

в) $\frac{9-x}{x} = -3;$

г) $\frac{3x-1}{x-6} = \frac{1}{5};$

д) $\frac{x^2+3}{x} = 4;$

е) $\frac{6x^2-4}{x} = 5x;$

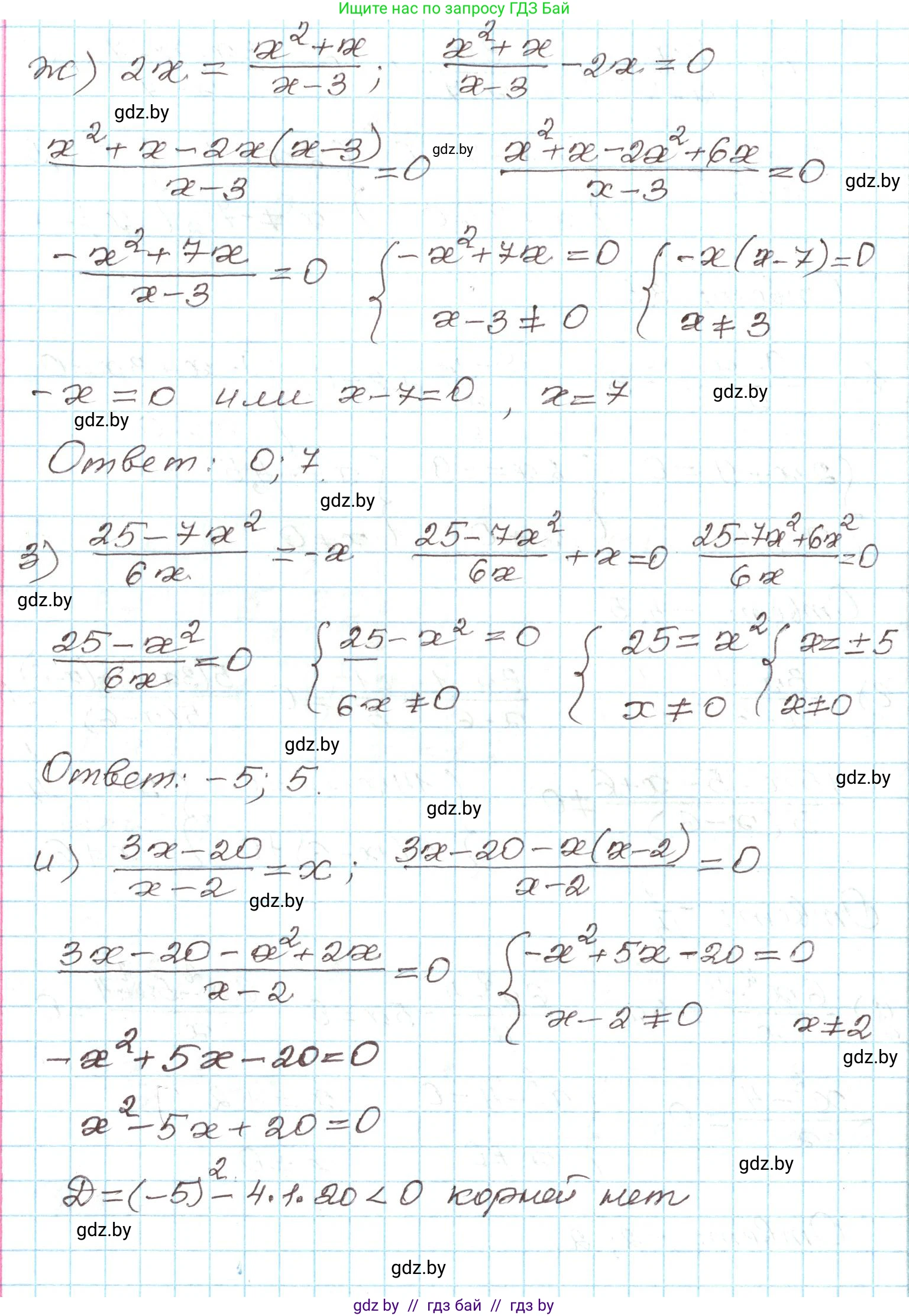
ж) $2x = \frac{x^2+x}{x-3};$

з) $\frac{25-7x^2}{6x} = -x;$

и) $\frac{3x-20}{x-2} = x;$

к) $x+2 = \frac{15}{x};$

л) $x-3 = \frac{4}{x};$

м) $x = 1 + \frac{2}{x}.$

Решение. №3.9 (с. 146)
Алгебра, 9 класс Учебник, авторы: Арефьева Ирина Глебовна, Пирютко Ольга Николаевна, издательство Народная асвета, Минск, 2019, голубого цвета, страница 146, номер 3.9, Решение Алгебра, 9 класс Учебник, авторы: Арефьева Ирина Глебовна, Пирютко Ольга Николаевна, издательство Народная асвета, Минск, 2019, голубого цвета, страница 146, номер 3.9, Решение (продолжение 2)
Решение 2. №3.9 (с. 146)

а) Решим уравнение $\frac{x-6}{x} = 4$.

1. Область допустимых значений (ОДЗ): знаменатель не должен быть равен нулю, поэтому $x \neq 0$.

2. Умножим обе части уравнения на $x$, чтобы избавиться от дроби:

$x-6 = 4x$

3. Перенесем слагаемые с $x$ в одну сторону, а числа в другую:

$x - 4x = 6$

$-3x = 6$

$x = \frac{6}{-3}$

$x = -2$

4. Проверим, соответствует ли корень ОДЗ. Так как $-2 \neq 0$, корень подходит.

Ответ: $x = -2$.

б) Решим уравнение $\frac{3x}{x+7} = 1$.

1. ОДЗ: $x+7 \neq 0 \implies x \neq -7$.

2. Умножим обе части уравнения на $(x+7)$:

$3x = 1 \cdot (x+7)$

$3x = x+7$

3. Решим полученное линейное уравнение:

$3x - x = 7$

$2x = 7$

$x = \frac{7}{2}$

4. Проверим корень: $\frac{7}{2} \neq -7$. Корень подходит.

Представим неправильную дробь в виде смешанного числа: $\frac{7}{2} = 3\frac{1}{2}$.

Ответ: $x = \mathbf{3}\frac{1}{2}$.

в) Решим уравнение $\frac{9-x}{x} = -3$.

1. ОДЗ: $x \neq 0$.

2. Умножим обе части на $x$:

$9-x = -3x$

3. Решим уравнение:

$3x - x = -9$

$2x = -9$

$x = -\frac{9}{2}$

4. Проверим корень: $-\frac{9}{2} \neq 0$. Корень подходит.

Представим неправильную дробь в виде смешанного числа: $-\frac{9}{2} = -4\frac{1}{2}$.

Ответ: $x = \mathbf{-4}\frac{1}{2}$.

г) Решим уравнение $\frac{3x-1}{x-6} = \frac{1}{5}$.

1. ОДЗ: $x-6 \neq 0 \implies x \neq 6$.

2. Используем свойство пропорции (перекрестное умножение):

$5(3x-1) = 1(x-6)$

$15x - 5 = x - 6$

3. Решим линейное уравнение:

$15x - x = -6 + 5$

$14x = -1$

$x = -\frac{1}{14}$

4. Проверим корень: $-\frac{1}{14} \neq 6$. Корень подходит.

Ответ: $x = -\frac{1}{14}$.

д) Решим уравнение $\frac{x^2+3}{x} = 4$.

1. ОДЗ: $x \neq 0$.

2. Умножим обе части на $x$:

$x^2+3 = 4x$

3. Приведем уравнение к стандартному квадратному виду $ax^2+bx+c=0$:

$x^2 - 4x + 3 = 0$

4. Решим квадратное уравнение. По теореме Виета, сумма корней равна 4, а их произведение равно 3. Подбором находим корни: $x_1 = 1, x_2 = 3$.

5. Оба корня ($1$ и $3$) не равны нулю, значит, они удовлетворяют ОДЗ.

Ответ: $x_1 = 1, x_2 = 3$.

е) Решим уравнение $\frac{6x^2-4}{x} = 5x$.

1. ОДЗ: $x \neq 0$.

2. Умножим обе части на $x$:

$6x^2 - 4 = 5x \cdot x$

$6x^2 - 4 = 5x^2$

3. Решим уравнение:

$6x^2 - 5x^2 = 4$

$x^2 = 4$

$x_1 = 2, x_2 = -2$

4. Оба корня ($2$ и $-2$) удовлетворяют ОДЗ ($x \neq 0$).

Ответ: $x_1 = 2, x_2 = -2$.

ж) Решим уравнение $2x = \frac{x^2+x}{x-3}$.

1. ОДЗ: $x-3 \neq 0 \implies x \neq 3$.

2. Умножим обе части на $(x-3)$:

$2x(x-3) = x^2+x$

$2x^2 - 6x = x^2+x$

3. Приведем к стандартному квадратному виду:

$2x^2 - x^2 - 6x - x = 0$

$x^2 - 7x = 0$

4. Решим неполное квадратное уравнение, вынеся $x$ за скобки:

$x(x-7) = 0$

$x_1 = 0$ или $x-7=0 \implies x_2 = 7$.

5. Оба корня ($0$ и $7$) не равны 3, значит, они удовлетворяют ОДЗ.

Ответ: $x_1 = 0, x_2 = 7$.

з) Решим уравнение $\frac{25-7x^2}{6x} = -x$.

1. ОДЗ: $6x \neq 0 \implies x \neq 0$.

2. Умножим обе части на $6x$:

$25 - 7x^2 = -x \cdot 6x$

$25 - 7x^2 = -6x^2$

3. Решим уравнение:

$25 = -6x^2 + 7x^2$

$25 = x^2$

$x_1 = 5, x_2 = -5$

4. Оба корня ($5$ и $-5$) удовлетворяют ОДЗ ($x \neq 0$).

Ответ: $x_1 = 5, x_2 = -5$.

и) Решим уравнение $\frac{3x-20}{x-2} = x$.

1. ОДЗ: $x-2 \neq 0 \implies x \neq 2$.

2. Умножим обе части на $(x-2)$:

$3x-20 = x(x-2)$

$3x-20 = x^2 - 2x$

3. Приведем к стандартному квадратному виду:

$0 = x^2 - 2x - 3x + 20$

$x^2 - 5x + 20 = 0$

4. Найдем дискриминант $D = b^2 - 4ac$:

$D = (-5)^2 - 4 \cdot 1 \cdot 20 = 25 - 80 = -55$

5. Так как $D < 0$, уравнение не имеет действительных корней.

Ответ: корней нет.

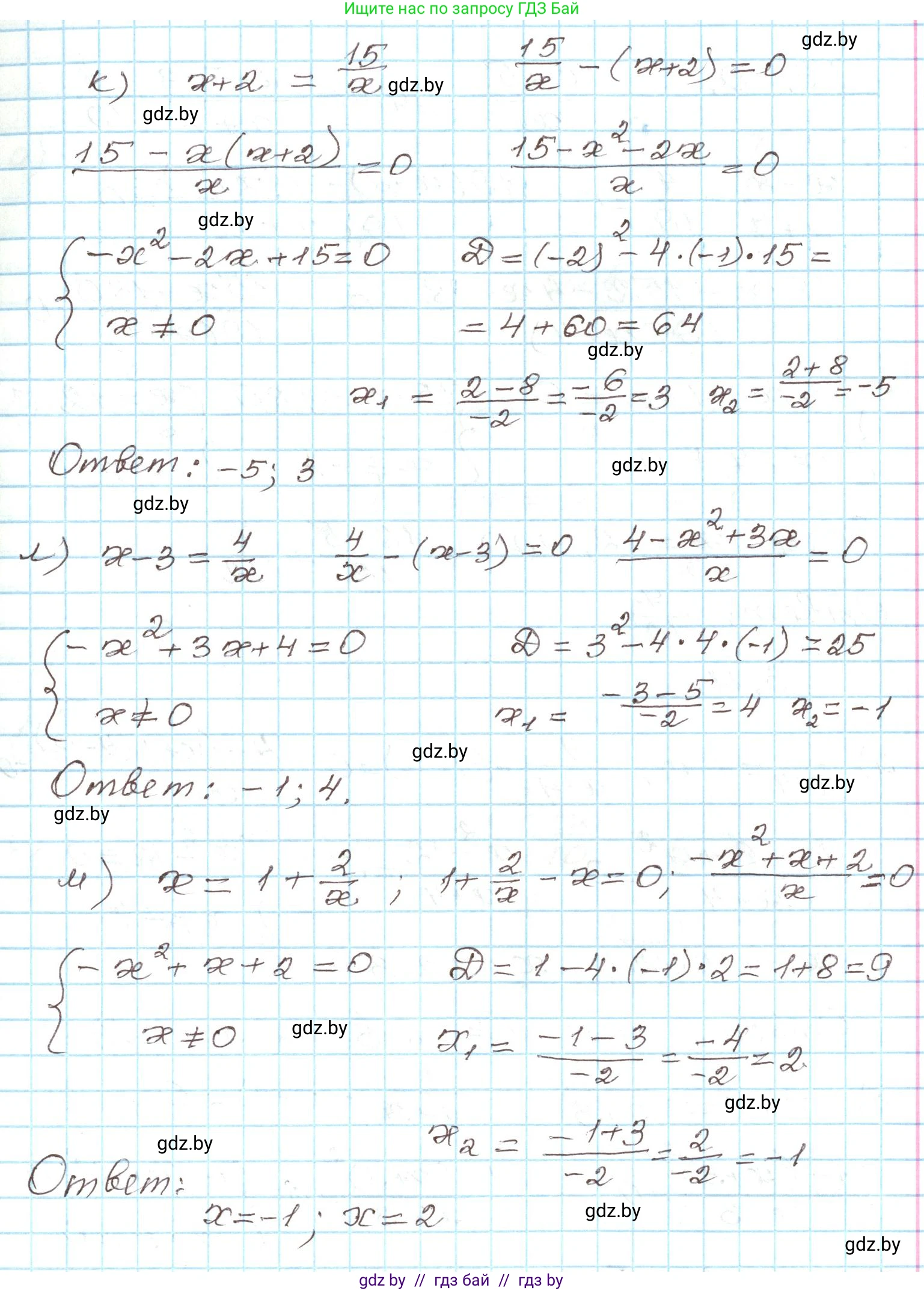
к) Решим уравнение $x+2 = \frac{15}{x}$.

1. ОДЗ: $x \neq 0$.

2. Умножим обе части на $x$:

$x(x+2) = 15$

$x^2 + 2x = 15$

3. Приведем к стандартному квадратному виду:

$x^2 + 2x - 15 = 0$

4. Решим по теореме Виета: сумма корней равна -2, произведение равно -15. Корни: $x_1 = 3, x_2 = -5$.

5. Оба корня ($3$ и $-5$) удовлетворяют ОДЗ ($x \neq 0$).

Ответ: $x_1 = 3, x_2 = -5$.

л) Решим уравнение $x-3 = \frac{4}{x}$.

1. ОДЗ: $x \neq 0$.

2. Умножим обе части на $x$:

$x(x-3) = 4$

$x^2 - 3x = 4$

3. Приведем к стандартному квадратному виду:

$x^2 - 3x - 4 = 0$

4. Решим по теореме Виета: сумма корней равна 3, произведение равно -4. Корни: $x_1 = 4, x_2 = -1$.

5. Оба корня ($4$ и $-1$) удовлетворяют ОДЗ ($x \neq 0$).

Ответ: $x_1 = 4, x_2 = -1$.

м) Решим уравнение $x = 1 + \frac{2}{x}$.

1. ОДЗ: $x \neq 0$.

2. Умножим обе части на $x$:

$x \cdot x = 1 \cdot x + \frac{2}{x} \cdot x$

$x^2 = x + 2$

3. Приведем к стандартному квадратному виду:

$x^2 - x - 2 = 0$

4. Решим по теореме Виета: сумма корней равна 1, произведение равно -2. Корни: $x_1 = 2, x_2 = -1$.

5. Оба корня ($2$ и $-1$) удовлетворяют ОДЗ ($x \neq 0$).

Ответ: $x_1 = 2, x_2 = -1$.

Помогло решение? Оставьте отзыв в комментариях ниже.

Присоединяйтесь к Телеграм-группе @gdz_by_belarus

Присоединиться

Мы подготовили для вас ответ c подробным объяснением домашего задания по алгебре за 9 класс, для упражнения номер 3.9 расположенного на странице 146 к учебнику 2019 года издания для учащихся школ и гимназий.

Теперь на нашем сайте ГДЗ.ТОП вы всегда легко и бесплатно найдёте условие с правильным ответом на вопрос «Как решить ДЗ» и «Как сделать» задание по алгебре к упражнению №3.9 (с. 146), авторов: Арефьева (Ирина Глебовна), Пирютко (Ольга Николаевна), учебного пособия издательства Народная асвета.