Номер 3.49, страница 153 - гдз по алгебре 9 класс учебник Арефьева, Пирютко

Алгебра, 9 класс Учебник, авторы: Арефьева Ирина Глебовна, Пирютко Ольга Николаевна, издательство Народная асвета, Минск, 2019, голубого цвета

Авторы: Арефьева И. Г., Пирютко О. Н.

Тип: Учебник

Издательство: Народная асвета

Год издания: 2019 - 2026

Цвет обложки: голубой, синий с графиком

ISBN: 978-985-03-3077-2

Допущено Министерством образования Республики Беларусь

Популярные ГДЗ в 9 классе

Глава 3. Дробно-рациональные уравнения и неравенства. Параграф 10. Дробно-рациональные уравнения - номер 3.49, страница 153.

№3.49 (с. 153)
Условие. №3.49 (с. 153)
скриншот условия
Алгебра, 9 класс Учебник, авторы: Арефьева Ирина Глебовна, Пирютко Ольга Николаевна, издательство Народная асвета, Минск, 2019, голубого цвета, страница 153, номер 3.49, Условие

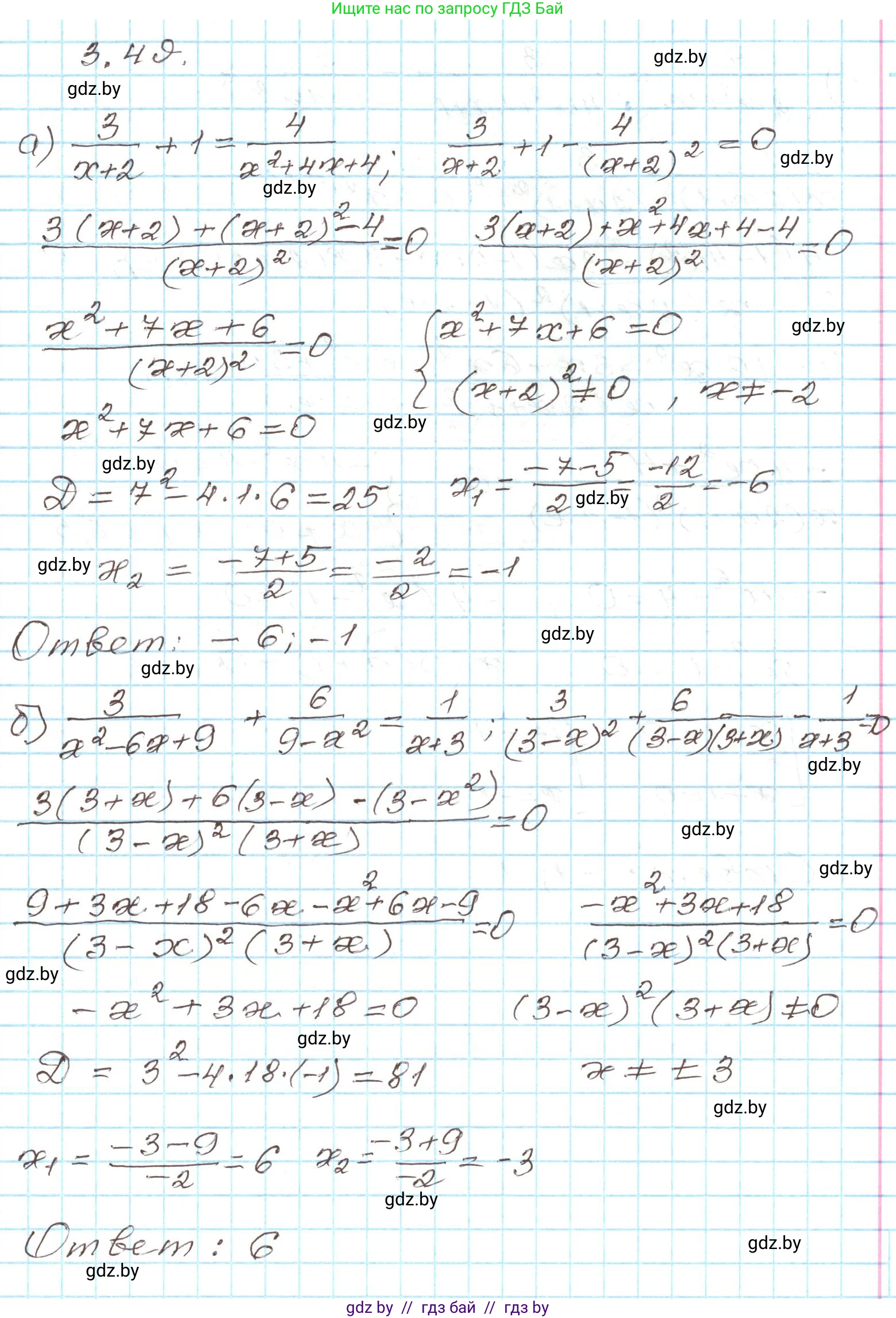
3.49. Найдите корни уравнения:

a) $\frac{3}{x+2} + 1 = \frac{4}{x^2+4x+4};$

б) $\frac{3}{x^2-6x+9} + \frac{6}{9-x^2} = \frac{1}{x+3};$

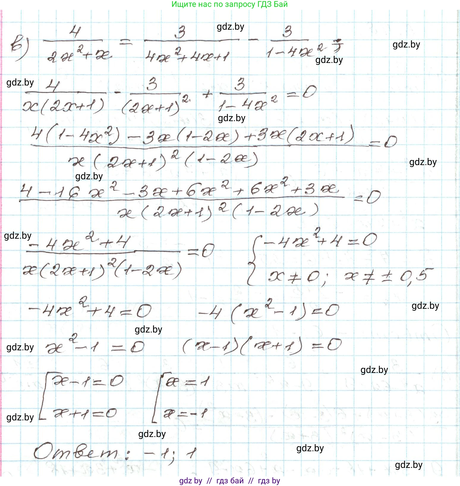
в) $\frac{4}{2x^2+x} = \frac{3}{4x^2+4x+1} - \frac{3}{1-4x^2}.$

Решение. №3.49 (с. 153)
Алгебра, 9 класс Учебник, авторы: Арефьева Ирина Глебовна, Пирютко Ольга Николаевна, издательство Народная асвета, Минск, 2019, голубого цвета, страница 153, номер 3.49, Решение Алгебра, 9 класс Учебник, авторы: Арефьева Ирина Глебовна, Пирютко Ольга Николаевна, издательство Народная асвета, Минск, 2019, голубого цвета, страница 153, номер 3.49, Решение (продолжение 2)
Решение 2. №3.49 (с. 153)

а) Исходное уравнение: $\frac{3}{x+2} + 1 = \frac{4}{x^2+4x+4}$

1. Определим область допустимых значений (ОДЗ). Знаменатели дробей не могут быть равны нулю.
В знаменателе левой части $x+2$. Значит, $x+2 \neq 0 \Rightarrow x \neq -2$.
В знаменателе правой части $x^2+4x+4$. Это формула квадрата суммы: $(x+2)^2$. Условие то же самое: $(x+2)^2 \neq 0 \Rightarrow x \neq -2$.
Таким образом, ОДЗ: $x \neq -2$.

2. Приведем уравнение к общему знаменателю $(x+2)^2$. Для этого умножим обе части уравнения на $(x+2)^2$:
$\frac{3}{x+2} \cdot (x+2)^2 + 1 \cdot (x+2)^2 = \frac{4}{(x+2)^2} \cdot (x+2)^2$

3. После сокращения получаем:
$3(x+2) + (x+2)^2 = 4$

4. Раскроем скобки и решим полученное квадратное уравнение:
$3x + 6 + x^2 + 4x + 4 = 4$
$x^2 + (3x+4x) + (6+4) = 4$
$x^2 + 7x + 10 = 4$
$x^2 + 7x + 6 = 0$

5. Найдем корни по теореме Виета:
$x_1 + x_2 = -7$
$x_1 \cdot x_2 = 6$
Подбором находим корни: $x_1 = -1$ и $x_2 = -6$.

6. Оба корня $(-1 \text{ и } -6)$ удовлетворяют ОДЗ ($x \neq -2$).

Ответ: -6; -1.


б) Исходное уравнение: $\frac{3}{x^2-6x+9} + \frac{6}{9-x^2} = \frac{1}{x+3}$

1. Разложим знаменатели на множители:
$x^2-6x+9 = (x-3)^2$
$9-x^2 = (3-x)(3+x) = -(x-3)(x+3)$

2. Перепишем уравнение:
$\frac{3}{(x-3)^2} - \frac{6}{(x-3)(x+3)} = \frac{1}{x+3}$

3. Определим ОДЗ. Знаменатели не могут быть равны нулю:
$x-3 \neq 0 \Rightarrow x \neq 3$
$x+3 \neq 0 \Rightarrow x \neq -3$
ОДЗ: $x \neq 3$ и $x \neq -3$.

4. Приведем уравнение к общему знаменателю $(x-3)^2(x+3)$ и умножим на него обе части:
$3(x+3) - 6(x-3) = 1(x-3)^2$

5. Раскроем скобки и упростим:
$3x + 9 - 6x + 18 = x^2 - 6x + 9$
$-3x + 27 = x^2 - 6x + 9$

6. Перенесем все члены в одну сторону, чтобы получить стандартное квадратное уравнение:
$0 = x^2 - 6x + 3x + 9 - 27$
$x^2 - 3x - 18 = 0$

7. Найдем корни по теореме Виета:
$x_1 + x_2 = 3$
$x_1 \cdot x_2 = -18$
Корни: $x_1 = 6$ и $x_2 = -3$.

8. Проверим корни по ОДЗ ($x \neq 3, x \neq -3$).
Корень $x_1 = 6$ удовлетворяет ОДЗ.
Корень $x_2 = -3$ не удовлетворяет ОДЗ, поэтому является посторонним.

Ответ: 6.


в) Исходное уравнение: $\frac{4}{2x^2+x} = \frac{3}{4x^2+4x+1} - \frac{3}{1-4x^2}$

1. Разложим знаменатели на множители:
$2x^2+x = x(2x+1)$
$4x^2+4x+1 = (2x+1)^2$
$1-4x^2 = (1-2x)(1+2x) = -(2x-1)(2x+1)$

2. Перепишем уравнение, изменив знак в последней дроби:
$\frac{4}{x(2x+1)} = \frac{3}{(2x+1)^2} + \frac{3}{(2x-1)(2x+1)}$

3. Определим ОДЗ:
$x \neq 0$
$2x+1 \neq 0 \Rightarrow x \neq -1/2$
$2x-1 \neq 0 \Rightarrow x \neq 1/2$
ОДЗ: $x \neq 0, x \neq -1/2, x \neq 1/2$.

4. Преобразуем правую часть уравнения, приведя дроби к общему знаменателю $(2x+1)^2(2x-1)$:
$\frac{3(2x-1) + 3(2x+1)}{(2x+1)^2(2x-1)} = \frac{6x-3+6x+3}{(2x+1)^2(2x-1)} = \frac{12x}{(2x+1)^2(2x-1)}$

5. Теперь уравнение выглядит так:
$\frac{4}{x(2x+1)} = \frac{12x}{(2x-1)(2x+1)^2}$

6. Поскольку $x \neq -1/2$, то $2x+1 \neq 0$, и мы можем разделить обе части на $\frac{1}{2x+1}$:
$\frac{4}{x} = \frac{12x}{(2x-1)(2x+1)}$
$\frac{4}{x} = \frac{12x}{4x^2-1}$

7. Воспользуемся правилом пропорции ("крест-накрест"):
$4(4x^2-1) = x \cdot 12x$
$16x^2 - 4 = 12x^2$

8. Решим полученное уравнение:
$16x^2 - 12x^2 = 4$
$4x^2 = 4$
$x^2 = 1$
$x_1 = 1$, $x_2 = -1$.

9. Оба корня $(1 \text{ и } -1)$ удовлетворяют ОДЗ ($x \neq 0, \pm 1/2$).

Ответ: -1; 1.

Помогло решение? Оставьте отзыв в комментариях ниже.

Присоединяйтесь к Телеграм-группе @gdz_by_belarus

Присоединиться

Мы подготовили для вас ответ c подробным объяснением домашего задания по алгебре за 9 класс, для упражнения номер 3.49 расположенного на странице 153 к учебнику 2019 года издания для учащихся школ и гимназий.

Теперь на нашем сайте ГДЗ.ТОП вы всегда легко и бесплатно найдёте условие с правильным ответом на вопрос «Как решить ДЗ» и «Как сделать» задание по алгебре к упражнению №3.49 (с. 153), авторов: Арефьева (Ирина Глебовна), Пирютко (Ольга Николаевна), учебного пособия издательства Народная асвета.