Номер 3.40, страница 151 - гдз по алгебре 9 класс учебник Арефьева, Пирютко

Алгебра, 9 класс Учебник, авторы: Арефьева Ирина Глебовна, Пирютко Ольга Николаевна, издательство Народная асвета, Минск, 2019, голубого цвета

Авторы: Арефьева И. Г., Пирютко О. Н.

Тип: Учебник

Издательство: Народная асвета

Год издания: 2019 - 2026

Цвет обложки: голубой, синий с графиком

ISBN: 978-985-03-3077-2

Допущено Министерством образования Республики Беларусь

Популярные ГДЗ в 9 классе

Глава 3. Дробно-рациональные уравнения и неравенства. Параграф 10. Дробно-рациональные уравнения - номер 3.40, страница 151.

№3.40 (с. 151)
Условие. №3.40 (с. 151)
скриншот условия
Алгебра, 9 класс Учебник, авторы: Арефьева Ирина Глебовна, Пирютко Ольга Николаевна, издательство Народная асвета, Минск, 2019, голубого цвета, страница 151, номер 3.40, Условие

3.40. Найдите все корни уравнения:

a) $ \frac{x^2}{x-7} = \frac{49}{x-7}; $

б) $ \frac{x^2-2x}{x-4} = \frac{2x}{x-4}; $

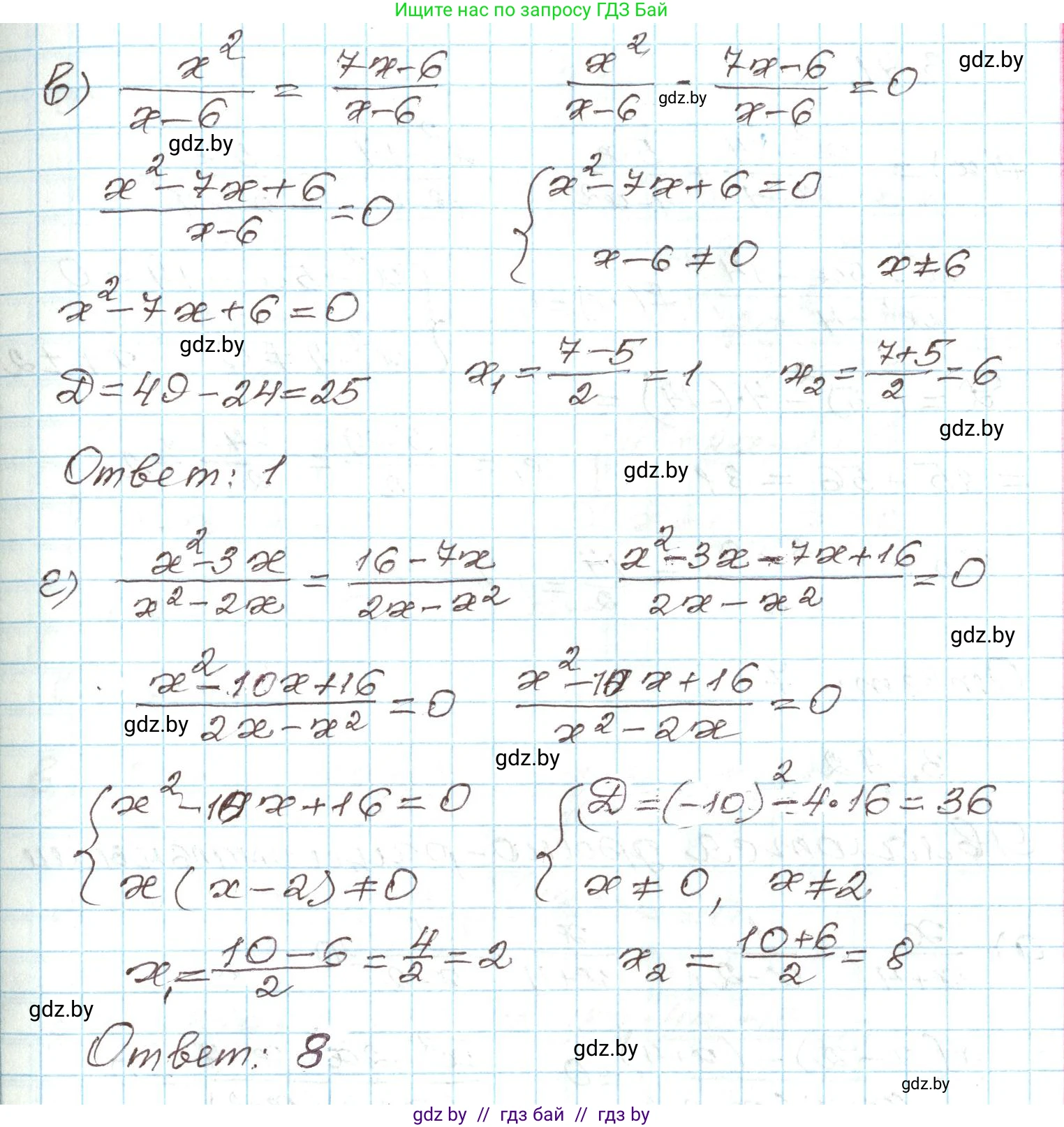
В) $ \frac{x^2}{x-6} = \frac{7x-6}{x-6}; $

Г) $ \frac{x^2-3x}{x^2-2x} = \frac{16-7x}{2x-x^2}. $

Решение. №3.40 (с. 151)
Алгебра, 9 класс Учебник, авторы: Арефьева Ирина Глебовна, Пирютко Ольга Николаевна, издательство Народная асвета, Минск, 2019, голубого цвета, страница 151, номер 3.40, Решение Алгебра, 9 класс Учебник, авторы: Арефьева Ирина Глебовна, Пирютко Ольга Николаевна, издательство Народная асвета, Минск, 2019, голубого цвета, страница 151, номер 3.40, Решение (продолжение 2)
Решение 2. №3.40 (с. 151)

а) $\frac{x^2}{x-7} = \frac{49}{x-7}$

Данное уравнение является рациональным. Область допустимых значений (ОДЗ) определяется условием, что знаменатель не должен быть равен нулю:

$x - 7 \neq 0 \implies x \neq 7$

Так как знаменатели в обеих частях уравнения одинаковы, мы можем приравнять числители:

$x^2 = 49$

Решим полученное квадратное уравнение:

$x^2 - 49 = 0$

Используя формулу разности квадратов, получаем:

$(x - 7)(x + 7) = 0$

Отсюда получаем два возможных корня: $x_1 = 7$ и $x_2 = -7$.

Теперь необходимо проверить найденные корни на соответствие ОДЗ ($x \neq 7$).

Корень $x_1 = 7$ не входит в ОДЗ, так как при этом значении знаменатель обращается в ноль. Следовательно, $x=7$ является посторонним корнем.

Корень $x_2 = -7$ удовлетворяет ОДЗ.

Таким образом, единственным решением уравнения является $x = -7$.

Ответ: -7.


б) $\frac{x^2 - 2x}{x-4} = \frac{2x}{x-4}$

Определим область допустимых значений (ОДЗ). Знаменатель не может быть равен нулю:

$x - 4 \neq 0 \implies x \neq 4$

Поскольку знаменатели дробей равны, приравниваем их числители:

$x^2 - 2x = 2x$

Перенесем все члены в левую часть и упростим:

$x^2 - 2x - 2x = 0$

$x^2 - 4x = 0$

Вынесем общий множитель $x$ за скобки:

$x(x - 4) = 0$

Это уравнение имеет два возможных корня: $x_1 = 0$ и $x_2 = 4$.

Проверим корни на соответствие ОДЗ ($x \neq 4$).

Корень $x_1 = 0$ удовлетворяет ОДЗ.

Корень $x_2 = 4$ не удовлетворяет ОДЗ и является посторонним.

Следовательно, уравнение имеет один корень.

Ответ: 0.


в) $\frac{x^2}{x-6} = \frac{7x-6}{x-6}$

ОДЗ: знаменатель не равен нулю.

$x - 6 \neq 0 \implies x \neq 6$

Приравниваем числители, так как знаменатели одинаковы:

$x^2 = 7x - 6$

Получаем квадратное уравнение:

$x^2 - 7x + 6 = 0$

Решим его с помощью теоремы Виета. Сумма корней равна 7, а их произведение равно 6:

$x_1 + x_2 = 7$

$x_1 \cdot x_2 = 6$

Подбором находим корни: $x_1 = 1$ и $x_2 = 6$.

Проверяем корни по ОДЗ ($x \neq 6$).

Корень $x_1 = 1$ удовлетворяет ОДЗ.

Корень $x_2 = 6$ не удовлетворяет ОДЗ, поэтому является посторонним.

Таким образом, решением уравнения является только один корень.

Ответ: 1.


г) $\frac{x^2 - 3x}{x^2 - 2x} = \frac{16 - 7x}{2x - x^2}$

Сначала преобразуем знаменатель в правой части уравнения:

$2x - x^2 = -(x^2 - 2x)$

Подставим это в исходное уравнение:

$\frac{x^2 - 3x}{x^2 - 2x} = \frac{16 - 7x}{-(x^2 - 2x)}$

$\frac{x^2 - 3x}{x^2 - 2x} = -\frac{16 - 7x}{x^2 - 2x}$

ОДЗ: $x^2 - 2x \neq 0$.

$x(x - 2) \neq 0 \implies x \neq 0$ и $x \neq 2$.

Перенесем все слагаемые в одну сторону:

$\frac{x^2 - 3x}{x^2 - 2x} + \frac{16 - 7x}{x^2 - 2x} = 0$

Сложим дроби с одинаковым знаменателем:

$\frac{x^2 - 3x + 16 - 7x}{x^2 - 2x} = 0$

$\frac{x^2 - 10x + 16}{x^2 - 2x} = 0$

Дробь равна нулю, если ее числитель равен нулю, а знаменатель не равен нулю. Решим уравнение для числителя:

$x^2 - 10x + 16 = 0$

По теореме Виета:

$x_1 + x_2 = 10$

$x_1 \cdot x_2 = 16$

Корни этого уравнения: $x_1 = 2$ и $x_2 = 8$.

Проверим найденные корни на соответствие ОДЗ ($x \neq 0$ и $x \neq 2$).

Корень $x_1 = 2$ не удовлетворяет ОДЗ и является посторонним.

Корень $x_2 = 8$ удовлетворяет ОДЗ.

Следовательно, уравнение имеет один корень.

Ответ: 8.

Помогло решение? Оставьте отзыв в комментариях ниже.

Присоединяйтесь к Телеграм-группе @gdz_by_belarus

Присоединиться

Мы подготовили для вас ответ c подробным объяснением домашего задания по алгебре за 9 класс, для упражнения номер 3.40 расположенного на странице 151 к учебнику 2019 года издания для учащихся школ и гимназий.

Теперь на нашем сайте ГДЗ.ТОП вы всегда легко и бесплатно найдёте условие с правильным ответом на вопрос «Как решить ДЗ» и «Как сделать» задание по алгебре к упражнению №3.40 (с. 151), авторов: Арефьева (Ирина Глебовна), Пирютко (Ольга Николаевна), учебного пособия издательства Народная асвета.