Номер 3.25, страница 149 - гдз по алгебре 9 класс учебник Арефьева, Пирютко

Алгебра, 9 класс Учебник, авторы: Арефьева Ирина Глебовна, Пирютко Ольга Николаевна, издательство Народная асвета, Минск, 2019, голубого цвета

Авторы: Арефьева И. Г., Пирютко О. Н.

Тип: Учебник

Издательство: Народная асвета

Год издания: 2019 - 2026

Цвет обложки: голубой, синий с графиком

ISBN: 978-985-03-3077-2

Допущено Министерством образования Республики Беларусь

Популярные ГДЗ в 9 классе

Глава 3. Дробно-рациональные уравнения и неравенства. Параграф 10. Дробно-рациональные уравнения - номер 3.25, страница 149.

№3.25 (с. 149)
Условие. №3.25 (с. 149)
скриншот условия
Алгебра, 9 класс Учебник, авторы: Арефьева Ирина Глебовна, Пирютко Ольга Николаевна, издательство Народная асвета, Минск, 2019, голубого цвета, страница 149, номер 3.25, Условие

3.25. Решите задачу:

а) Биатлонисту на тренировке необходимо было пробежать расстояние в 30 км. Начав бег на 3 мин позже намеченного срока, биатлонист бежал со скоростью больше предполагавшейся на $1 \frac{\text{км}}{\text{ч}}$ и прибежал к месту назначения вовремя. Найдите скорость, с которой бежал биатлонист.

б) Из одного города в другой к определенному времени грузовой автомобиль должен был доставить груз. Первые 200 км пути автомобиль двигался с запланированной скоростью. Затем погодные условия ухудшились, и последние 150 км грузовику пришлось двигаться со скоростью на $20 \frac{\text{км}}{\text{ч}}$ меньше запланированной. На весь путь между городами потребовалось 5 ч. Найдите время, на которое опоздал водитель с доставкой груза.

в) Прогулка по реке на туристическом катере длится 3 ч. За это время катер проплывает 40 км по течению реки и возвращается обратно к пристани. Найдите собственную скорость катера, если скорость течения реки составляет $3 \frac{\text{км}}{\text{ч}}$.

Решение. №3.25 (с. 149)
Алгебра, 9 класс Учебник, авторы: Арефьева Ирина Глебовна, Пирютко Ольга Николаевна, издательство Народная асвета, Минск, 2019, голубого цвета, страница 149, номер 3.25, Решение Алгебра, 9 класс Учебник, авторы: Арефьева Ирина Глебовна, Пирютко Ольга Николаевна, издательство Народная асвета, Минск, 2019, голубого цвета, страница 149, номер 3.25, Решение (продолжение 2)
Решение 2. №3.25 (с. 149)

а) Пусть $x$ км/ч — предполагавшаяся скорость биатлониста. Тогда его фактическая скорость была $(x+1)$ км/ч.
Расстояние, которое нужно было пробежать, составляет 30 км.
Планируемое время на дистанцию: $t_1 = \frac{30}{x}$ ч.
Фактическое время на дистанцию: $t_2 = \frac{30}{x+1}$ ч.

Биатлонист начал бег на 3 минуты позже, но прибыл вовремя. Это значит, что он потратил на бег на 3 минуты меньше, чем планировалось.
Переведем 3 минуты в часы: $3 \text{ мин} = \frac{3}{60} \text{ ч} = \frac{1}{20}$ ч.

Составим уравнение, исходя из разницы во времени:
$t_1 - t_2 = \frac{1}{20}$
$\frac{30}{x} - \frac{30}{x+1} = \frac{1}{20}$

Приведем левую часть к общему знаменателю:
$\frac{30(x+1) - 30x}{x(x+1)} = \frac{1}{20}$
$\frac{30x + 30 - 30x}{x^2+x} = \frac{1}{20}$
$\frac{30}{x^2+x} = \frac{1}{20}$

Используем свойство пропорции:
$x^2+x = 30 \times 20$
$x^2+x = 600$
$x^2+x-600 = 0$

Решим квадратное уравнение. Дискриминант $D = b^2 - 4ac = 1^2 - 4 \cdot 1 \cdot (-600) = 1 + 2400 = 2401$.
Корень из дискриминанта $\sqrt{D} = \sqrt{2401} = 49$.
$x_1 = \frac{-1 + 49}{2} = \frac{48}{2} = 24$
$x_2 = \frac{-1 - 49}{2} = \frac{-50}{2} = -25$

Скорость не может быть отрицательной, поэтому планируемая скорость $x = 24$ км/ч.
Вопрос задачи — найти скорость, с которой бежал биатлонист, то есть фактическую скорость:
$x+1 = 24+1 = 25$ км/ч.

Ответ: 25 км/ч.

б) Пусть $x$ км/ч — запланированная скорость грузового автомобиля.
Весь путь составляет $200 + 150 = 350$ км.

Автомобиль проехал первые 200 км с запланированной скоростью $x$. Время на этом участке:
$t_1 = \frac{200}{x}$ ч.
Оставшиеся 150 км автомобиль ехал со скоростью на 20 км/ч меньше, то есть $(x-20)$ км/ч. Время на этом участке:
$t_2 = \frac{150}{x-20}$ ч.

Общее время в пути составило 5 часов. Составим уравнение:
$t_1 + t_2 = 5$
$\frac{200}{x} + \frac{150}{x-20} = 5$

Разделим обе части уравнения на 5:
$\frac{40}{x} + \frac{30}{x-20} = 1$

Приведем левую часть к общему знаменателю (при условии $x > 20$):
$\frac{40(x-20) + 30x}{x(x-20)} = 1$
$40x - 800 + 30x = x(x-20)$
$70x - 800 = x^2 - 20x$
$x^2 - 90x + 800 = 0$

Решим квадратное уравнение. Дискриминант $D = b^2 - 4ac = (-90)^2 - 4 \cdot 1 \cdot 800 = 8100 - 3200 = 4900$.
Корень из дискриминанта $\sqrt{D} = \sqrt{4900} = 70$.
$x_1 = \frac{90 + 70}{2} = \frac{160}{2} = 80$
$x_2 = \frac{90 - 70}{2} = \frac{20}{2} = 10$

Корень $x_2=10$ не удовлетворяет условию $x>20$. Следовательно, запланированная скорость автомобиля $x=80$ км/ч.

Найдем запланированное время на весь путь:
$t_p = \frac{350}{80} = \frac{35}{8}$ ч.

Фактическое время в пути составило 5 часов. Найдем время опоздания:
$t_{опоздания} = 5 - t_p = 5 - \frac{35}{8} = \frac{40}{8} - \frac{35}{8} = \frac{5}{8}$ ч.

Переведем время опоздания в минуты, чтобы представить в виде смешанного числа:
$\frac{5}{8} \text{ ч} = \frac{5}{8} \times 60 \text{ мин} = \frac{300}{8} \text{ мин} = \frac{75}{2} \text{ мин} = 37\frac{1}{2}$ мин.

Ответ: 37$\frac{1}{2}$ мин.

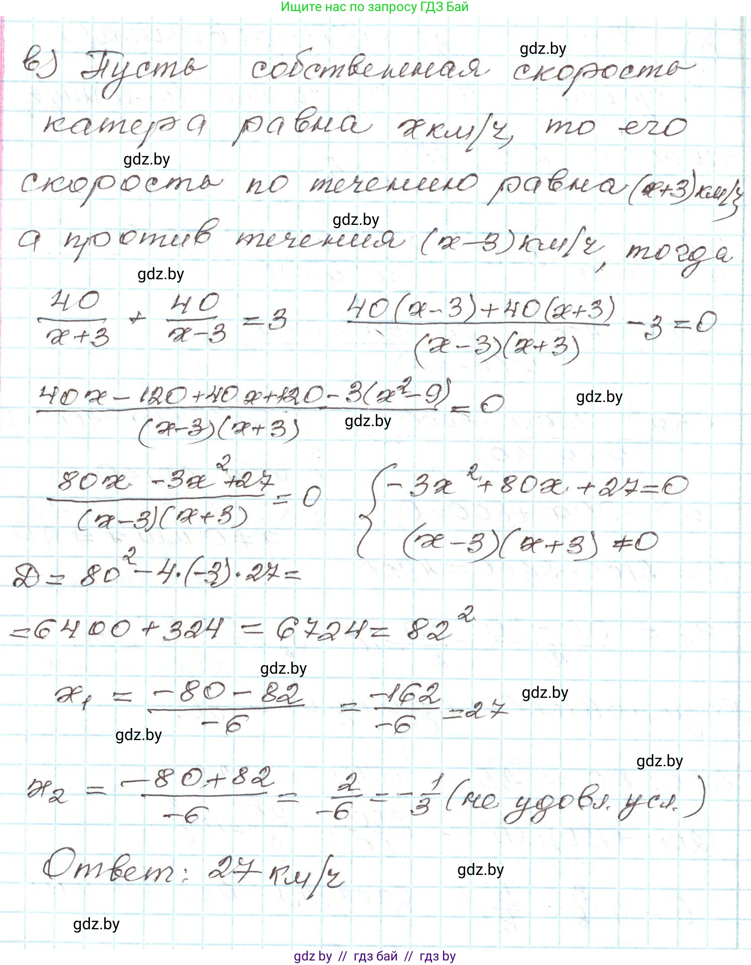
в) Пусть $x$ км/ч — собственная скорость катера.
Скорость течения реки — 3 км/ч.
Тогда скорость катера по течению составляет $(x+3)$ км/ч, а скорость против течения — $(x-3)$ км/ч.
Расстояние в один конец — 40 км.

Время, затраченное на путь по течению: $t_1 = \frac{40}{x+3}$ ч.
Время, затраченное на путь против течения: $t_2 = \frac{40}{x-3}$ ч.

Общее время прогулки составляет 3 часа. Составим уравнение:
$t_1 + t_2 = 3$
$\frac{40}{x+3} + \frac{40}{x-3} = 3$

Приведем левую часть к общему знаменателю (при условии $x > 3$):
$\frac{40(x-3) + 40(x+3)}{(x+3)(x-3)} = 3$
$\frac{40x - 120 + 40x + 120}{x^2 - 9} = 3$
$\frac{80x}{x^2 - 9} = 3$

Используем свойство пропорции:
$3(x^2 - 9) = 80x$
$3x^2 - 27 = 80x$
$3x^2 - 80x - 27 = 0$

Решим квадратное уравнение. Дискриминант $D = b^2 - 4ac = (-80)^2 - 4 \cdot 3 \cdot (-27) = 6400 + 324 = 6724$.
Корень из дискриминанта $\sqrt{D} = \sqrt{6724} = 82$.
$x_1 = \frac{80 + 82}{2 \cdot 3} = \frac{162}{6} = 27$
$x_2 = \frac{80 - 82}{6} = \frac{-2}{6} = -\frac{1}{3}$

Скорость не может быть отрицательной, поэтому собственная скорость катера $x = 27$ км/ч. Этот корень удовлетворяет условию $x>3$.

Ответ: 27 км/ч.

Помогло решение? Оставьте отзыв в комментариях ниже.

Присоединяйтесь к Телеграм-группе @gdz_by_belarus

Присоединиться

Мы подготовили для вас ответ c подробным объяснением домашего задания по алгебре за 9 класс, для упражнения номер 3.25 расположенного на странице 149 к учебнику 2019 года издания для учащихся школ и гимназий.

Теперь на нашем сайте ГДЗ.ТОП вы всегда легко и бесплатно найдёте условие с правильным ответом на вопрос «Как решить ДЗ» и «Как сделать» задание по алгебре к упражнению №3.25 (с. 149), авторов: Арефьева (Ирина Глебовна), Пирютко (Ольга Николаевна), учебного пособия издательства Народная асвета.