Номер 3.192, страница 196 - гдз по алгебре 9 класс учебник Арефьева, Пирютко

Алгебра, 9 класс Учебник, авторы: Арефьева Ирина Глебовна, Пирютко Ольга Николаевна, издательство Народная асвета, Минск, 2019, голубого цвета

Авторы: Арефьева И. Г., Пирютко О. Н.

Тип: Учебник

Издательство: Народная асвета

Год издания: 2019 - 2026

Цвет обложки: голубой, синий с графиком

ISBN: 978-985-03-3077-2

Допущено Министерством образования Республики Беларусь

Популярные ГДЗ в 9 классе

Глава 3. Дробно-рациональные уравнения и неравенства. Параграф 13. Дробно-рациональные неравенства. Метод интервалов для решения рациональных неравенств - номер 3.192, страница 196.

№3.192 (с. 196)
Условие. №3.192 (с. 196)
скриншот условия
Алгебра, 9 класс Учебник, авторы: Арефьева Ирина Глебовна, Пирютко Ольга Николаевна, издательство Народная асвета, Минск, 2019, голубого цвета, страница 196, номер 3.192, Условие

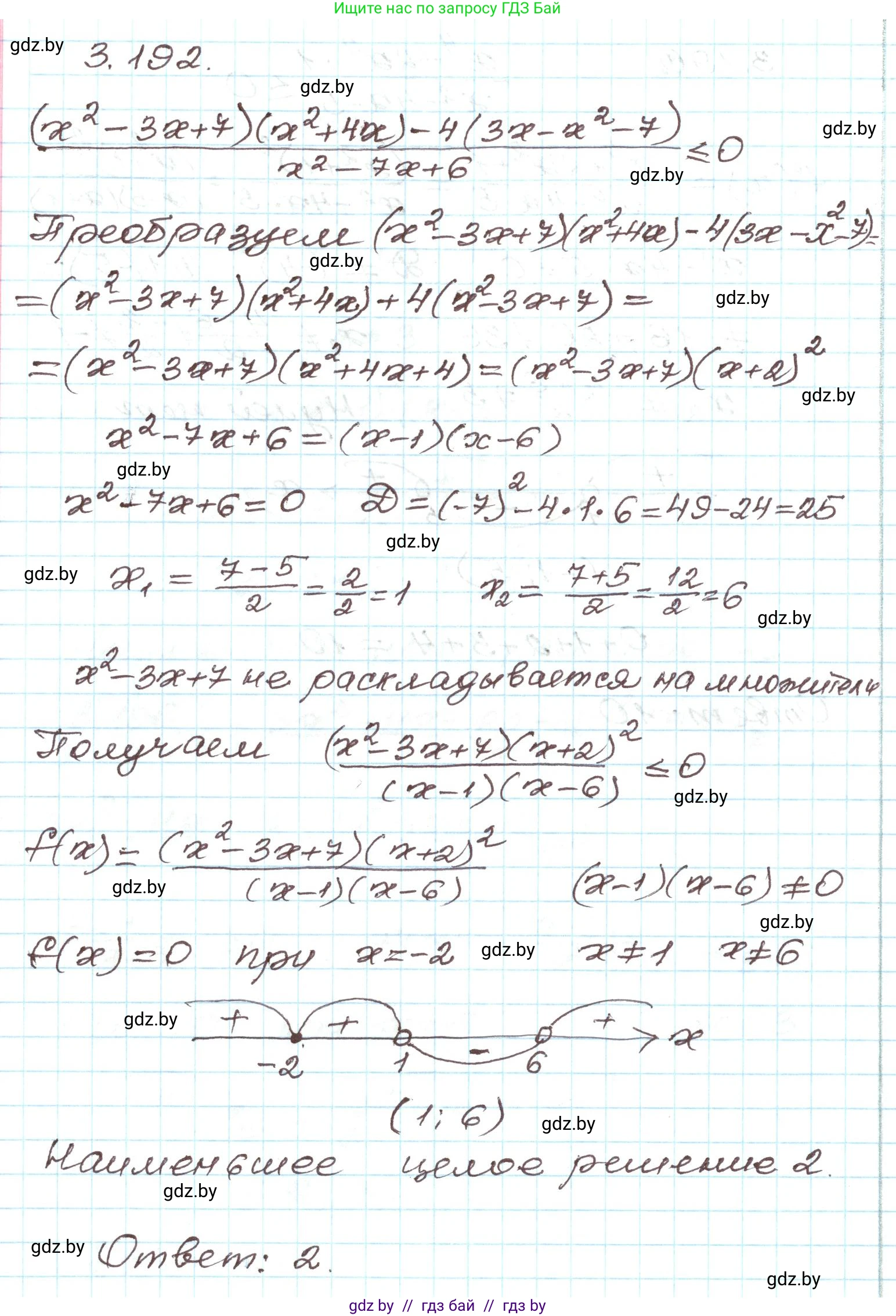
3.192*. Найдите наименьшее целое решение неравенства

$\frac{(x^2 - 3x + 7)(x^2 + 4x) - 4(3x - x^2 - 7)}{x^2 - 7x + 6} \le 0$

Решение. №3.192 (с. 196)
Алгебра, 9 класс Учебник, авторы: Арефьева Ирина Глебовна, Пирютко Ольга Николаевна, издательство Народная асвета, Минск, 2019, голубого цвета, страница 196, номер 3.192, Решение
Решение 2. №3.192 (с. 196)

Для решения данного неравенства выполним следующие шаги:

$$ \frac{(x^2 - 3x + 7)(x^2 + 4x) - 4(3x - x^2 - 7)}{x^2 - 7x + 6} \le 0 $$

1. Упрощение числителя

Рассмотрим выражение в числителе: $(x^2 - 3x + 7)(x^2 + 4x) - 4(3x - x^2 - 7)$.

Преобразуем второе слагаемое: $-4(3x - x^2 - 7) = -4 \cdot (-1) \cdot (-3x + x^2 + 7) = 4(x^2 - 3x + 7)$.

Теперь числитель можно записать в виде:

$$ (x^2 - 3x + 7)(x^2 + 4x) + 4(x^2 - 3x + 7) $$

Вынесем общий множитель $(x^2 - 3x + 7)$ за скобки:

$$ (x^2 - 3x + 7) \cdot ((x^2 + 4x) + 4) = (x^2 - 3x + 7)(x^2 + 4x + 4) $$

Выражение $x^2 + 4x + 4$ является формулой квадрата суммы: $(x+2)^2$.

Таким образом, числитель равен: $(x^2 - 3x + 7)(x + 2)^2$.

2. Анализ множителей числителя

Рассмотрим квадратный трехчлен $x^2 - 3x + 7$. Найдем его дискриминант:

$$ D = b^2 - 4ac = (-3)^2 - 4 \cdot 1 \cdot 7 = 9 - 28 = -19 $$

Так как дискриминант $D < 0$ и коэффициент при $x^2$ положителен ($a=1 > 0$), то выражение $x^2 - 3x + 7$ всегда положительно для любого действительного значения $x$.

Выражение $(x + 2)^2$ всегда неотрицательно, т.е. $(x + 2)^2 \ge 0$. Оно обращается в ноль при $x = -2$.

3. Преобразование знаменателя

Знаменатель $x^2 - 7x + 6$. Найдем его корни, решив уравнение $x^2 - 7x + 6 = 0$.

По теореме Виета, сумма корней равна 7, а их произведение равно 6. Отсюда корни $x_1=1$ и $x_2=6$.

Следовательно, знаменатель можно разложить на множители: $(x-1)(x-6)$.

Область допустимых значений (ОДЗ) неравенства определяется условием, что знаменатель не равен нулю: $x \ne 1$ и $x \ne 6$.

4. Решение неравенства

После преобразований исходное неравенство принимает вид:

$$ \frac{(x^2 - 3x + 7)(x + 2)^2}{(x - 1)(x - 6)} \le 0 $$

Так как множитель $(x^2 - 3x + 7)$ всегда строго положителен, мы можем разделить на него обе части неравенства, не меняя его знака:

$$ \frac{(x + 2)^2}{(x - 1)(x - 6)} \le 0 $$

Решим это неравенство методом интервалов. Нули числителя: $x = -2$. Нули знаменателя: $x = 1, x = 6$.

Неравенство выполняется в двух случаях:

a) Дробь равна нулю. Это возможно, когда числитель равен нулю, а знаменатель не равен нулю. $(x+2)^2 = 0 \Rightarrow x = -2$. При $x=-2$ знаменатель не равен нулю, значит $x=-2$ является решением.

б) Дробь меньше нуля. Так как числитель $(x+2)^2$ положителен при $x \ne -2$, для отрицательности дроби необходимо, чтобы знаменатель был отрицателен:

$$ (x - 1)(x - 6) < 0 $$

Решением этого квадратного неравенства является интервал $(1, 6)$.

Объединяя оба случая, получаем множество решений исходного неравенства: $x \in \{-2\} \cup (1, 6)$.

5. Нахождение наименьшего целого решения

Целые решения, входящие в полученное множество, это число $-2$ и целые числа из интервала $(1, 6)$, то есть $2, 3, 4, 5$.

Полный список целых решений: $\{-2, 2, 3, 4, 5\}$.

Наименьшее из этих целых чисел — это -2.

Ответ: -2

Помогло решение? Оставьте отзыв в комментариях ниже.

Присоединяйтесь к Телеграм-группе @gdz_by_belarus

Присоединиться

Мы подготовили для вас ответ c подробным объяснением домашего задания по алгебре за 9 класс, для упражнения номер 3.192 расположенного на странице 196 к учебнику 2019 года издания для учащихся школ и гимназий.

Теперь на нашем сайте ГДЗ.ТОП вы всегда легко и бесплатно найдёте условие с правильным ответом на вопрос «Как решить ДЗ» и «Как сделать» задание по алгебре к упражнению №3.192 (с. 196), авторов: Арефьева (Ирина Глебовна), Пирютко (Ольга Николаевна), учебного пособия издательства Народная асвета.