Номер 3.177, страница 194 - гдз по алгебре 9 класс учебник Арефьева, Пирютко

Алгебра, 9 класс Учебник, авторы: Арефьева Ирина Глебовна, Пирютко Ольга Николаевна, издательство Народная асвета, Минск, 2019, голубого цвета

Авторы: Арефьева И. Г., Пирютко О. Н.

Тип: Учебник

Издательство: Народная асвета

Год издания: 2019 - 2026

Цвет обложки: голубой, синий с графиком

ISBN: 978-985-03-3077-2

Допущено Министерством образования Республики Беларусь

Популярные ГДЗ в 9 классе

Глава 3. Дробно-рациональные уравнения и неравенства. Параграф 13. Дробно-рациональные неравенства. Метод интервалов для решения рациональных неравенств - номер 3.177, страница 194.

№3.177 (с. 194)
Условие. №3.177 (с. 194)
скриншот условия
Алгебра, 9 класс Учебник, авторы: Арефьева Ирина Глебовна, Пирютко Ольга Николаевна, издательство Народная асвета, Минск, 2019, голубого цвета, страница 194, номер 3.177, Условие

3.177. Решите неравенство:

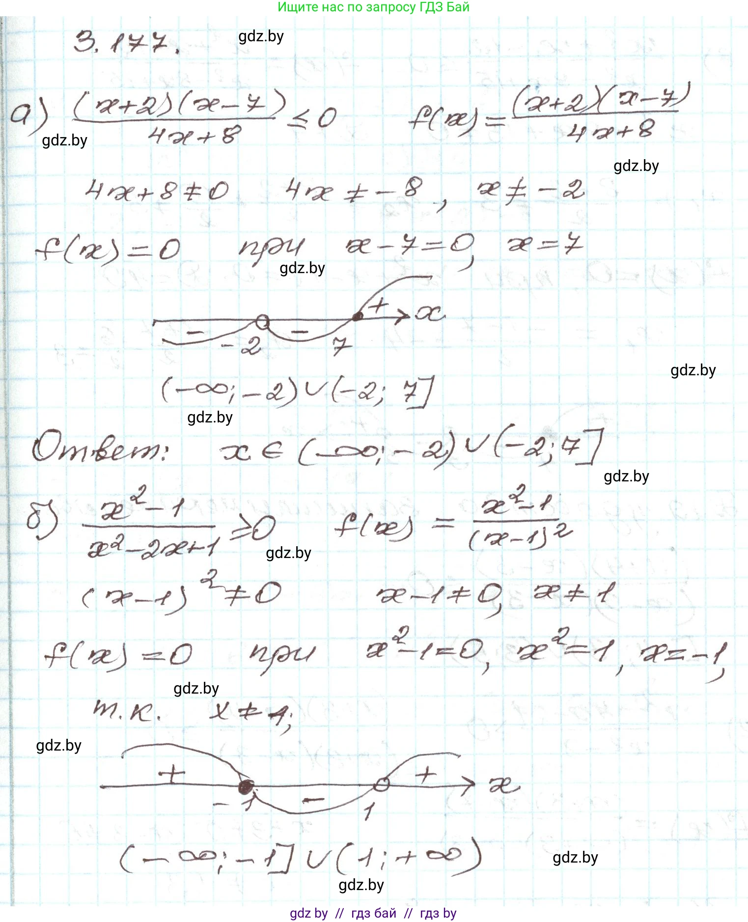
а) $\frac{(x+2)(x-7)}{4x+8} \le 0;$

б) $\frac{x^2-1}{x^2-2x+1} \ge 0;$

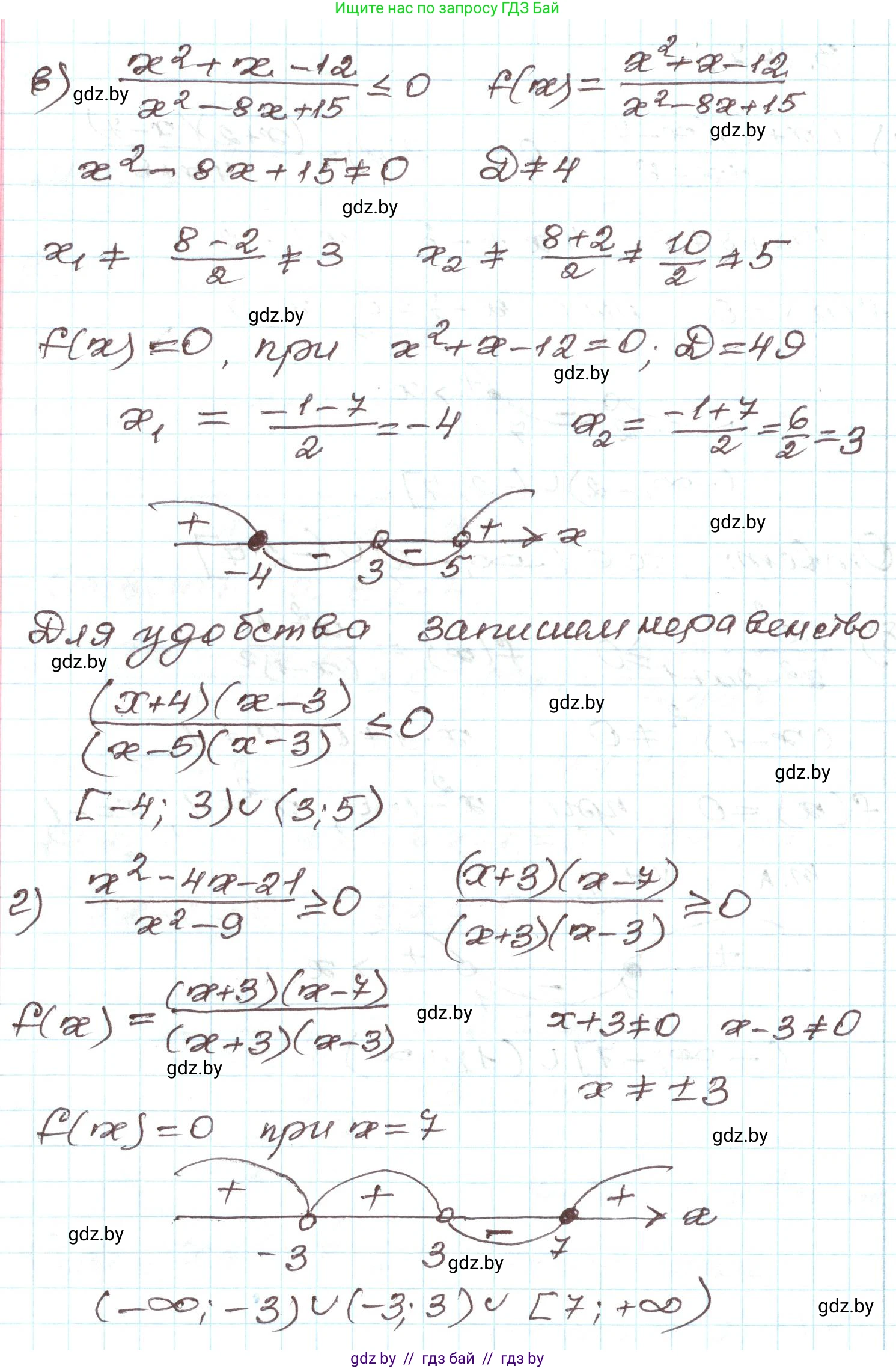
в) $\frac{x^2+x-12}{x^2-8x+15} \le 0;$

г) $\frac{x^2-4x-21}{x^2-9} \ge 0.$

Решение. №3.177 (с. 194)
Алгебра, 9 класс Учебник, авторы: Арефьева Ирина Глебовна, Пирютко Ольга Николаевна, издательство Народная асвета, Минск, 2019, голубого цвета, страница 194, номер 3.177, Решение Алгебра, 9 класс Учебник, авторы: Арефьева Ирина Глебовна, Пирютко Ольга Николаевна, издательство Народная асвета, Минск, 2019, голубого цвета, страница 194, номер 3.177, Решение (продолжение 2)
Решение 2. №3.177 (с. 194)

а) Решим неравенство $\frac{(x+2)(x-7)}{4x+8} \le 0$.
Сначала найдем область допустимых значений (ОДЗ). Знаменатель дроби не должен быть равен нулю: $4x + 8 \neq 0$
$4x \neq -8$
$x \neq -2$
Теперь упростим неравенство. Вынесем в знаменателе общий множитель 4 за скобки: $\frac{(x+2)(x-7)}{4(x+2)} \le 0$
Поскольку из ОДЗ мы знаем, что $x \neq -2$, мы можем сократить дробь на $(x+2)$: $\frac{x-7}{4} \le 0$
Умножим обе части неравенства на 4. Так как 4 > 0, знак неравенства не меняется: $x-7 \le 0$
$x \le 7$
Теперь необходимо объединить это решение с ОДЗ ($x \neq -2$). Получаем, что решением является множество всех чисел, которые меньше или равны 7, за исключением точки -2.

Ответ: а) $x \in (-\infty, -2) \cup (-2, 7]$.

б) Решим неравенство $\frac{x^2-1}{x^2-2x+1} \ge 0$.
Разложим числитель и знаменатель на множители. Числитель - это разность квадратов, а знаменатель - полный квадрат: $x^2-1 = (x-1)(x+1)$
$x^2-2x+1 = (x-1)^2$
Подставим разложенные выражения в неравенство: $\frac{(x-1)(x+1)}{(x-1)^2} \ge 0$
ОДЗ: знаменатель не равен нулю, значит $(x-1)^2 \neq 0$, откуда $x \neq 1$.
Так как $(x-1)^2 > 0$ для всех $x$ из ОДЗ, знак дроби зависит только от знака числителя $(x-1)(x+1)$. Однако мы не можем просто отбросить знаменатель, так как в точке $x=1$ он влияет на ОДЗ. Вместо этого сократим дробь на $(x-1)$, учитывая, что $x \neq 1$: $\frac{x+1}{x-1} \ge 0$
Решим это неравенство методом интервалов. Корни числителя и знаменателя: $x = -1$ и $x = 1$. Отметим эти точки на числовой оси. Точка $x=-1$ будет закрашенной (включена в решение), так как неравенство нестрогое. Точка $x=1$ будет выколотой (не включена в решение), так как она обращает знаменатель в ноль.
Определим знаки выражения на интервалах:

  • При $x > 1$ (например, $x=2$): $\frac{2+1}{2-1} = 3 > 0$. Интервал $(1, \infty)$ подходит.
  • При $-1 < x < 1$ (например, $x=0$): $\frac{0+1}{0-1} = -1 < 0$. Интервал не подходит.
  • При $x < -1$ (например, $x=-2$): $\frac{-2+1}{-2-1} = \frac{-1}{-3} > 0$. Интервал $(-\infty, -1)$ подходит.

Объединяя подходящие интервалы и включая точку $x=-1$, получаем решение.

Ответ: б) $x \in (-\infty, -1] \cup (1, \infty)$.

в) Решим неравенство $\frac{x^2+x-12}{x^2-8x+15} \le 0$.
Разложим на множители числитель и знаменатель, найдя их корни.
Для числителя $x^2+x-12=0$, по теореме Виета, корни $x_1=-4$ и $x_2=3$. Значит, $x^2+x-12 = (x+4)(x-3)$.
Для знаменателя $x^2-8x+15=0$, по теореме Виета, корни $x_1=3$ и $x_2=5$. Значит, $x^2-8x+15 = (x-3)(x-5)$.
Неравенство принимает вид: $\frac{(x+4)(x-3)}{(x-3)(x-5)} \le 0$
ОДЗ: знаменатель не равен нулю, т.е. $x \neq 3$ и $x \neq 5$.
При $x \neq 3$, можем сократить дробь на $(x-3)$: $\frac{x+4}{x-5} \le 0$
Решим методом интервалов. Корни: $x=-4$ и $x=5$. Точка $x=-4$ включается, точка $x=5$ исключается.

  • При $x > 5$: $\frac{+}{+} > 0$.
  • При $-4 < x < 5$: $\frac{+}{-} < 0$. Этот интервал подходит.
  • При $x < -4$: $\frac{-}{-} > 0$.

Решение для упрощенного неравенства: $x \in [-4, 5)$.
Теперь учтем ОДЗ: $x \neq 3$ и $x \neq 5$. Точка $x=5$ уже исключена. Необходимо также исключить точку $x=3$ из интервала $[-4, 5)$, разбив его на два.

Ответ: в) $x \in [-4, 3) \cup (3, 5)$.

г) Решим неравенство $\frac{x^2-4x-21}{x^2-9} \ge 0$.
Разложим на множители числитель и знаменатель.
Для числителя $x^2-4x-21=0$, по теореме Виета, корни $x_1=7$ и $x_2=-3$. Значит, $x^2-4x-21 = (x-7)(x+3)$.
Знаменатель $x^2-9 = (x-3)(x+3)$.
Неравенство принимает вид: $\frac{(x-7)(x+3)}{(x-3)(x+3)} \ge 0$
ОДЗ: знаменатель не равен нулю, т.е. $x \neq 3$ и $x \neq -3$.
При $x \neq -3$, можем сократить дробь на $(x+3)$: $\frac{x-7}{x-3} \ge 0$
Решим методом интервалов. Корни: $x=7$ и $x=3$. Точка $x=7$ включается, точка $x=3$ исключается.

  • При $x > 7$: $\frac{+}{+} > 0$. Интервал $[7, \infty)$ подходит.
  • При $3 < x < 7$: $\frac{-}{+} < 0$.
  • При $x < 3$: $\frac{-}{-} > 0$. Интервал $(-\infty, 3)$ подходит.

Решение для упрощенного неравенства: $x \in (-\infty, 3) \cup [7, \infty)$.
Учтем ОДЗ: $x \neq 3$ и $x \neq -3$. Точка $x=3$ уже исключена. Необходимо исключить точку $x=-3$ из интервала $(-\infty, 3)$.

Ответ: г) $x \in (-\infty, -3) \cup (-3, 3) \cup [7, \infty)$.

Помогло решение? Оставьте отзыв в комментариях ниже.

Присоединяйтесь к Телеграм-группе @gdz_by_belarus

Присоединиться

Мы подготовили для вас ответ c подробным объяснением домашего задания по алгебре за 9 класс, для упражнения номер 3.177 расположенного на странице 194 к учебнику 2019 года издания для учащихся школ и гимназий.

Теперь на нашем сайте ГДЗ.ТОП вы всегда легко и бесплатно найдёте условие с правильным ответом на вопрос «Как решить ДЗ» и «Как сделать» задание по алгебре к упражнению №3.177 (с. 194), авторов: Арефьева (Ирина Глебовна), Пирютко (Ольга Николаевна), учебного пособия издательства Народная асвета.