Номер 3.164, страница 192 - гдз по алгебре 9 класс учебник Арефьева, Пирютко

Алгебра, 9 класс Учебник, авторы: Арефьева Ирина Глебовна, Пирютко Ольга Николаевна, издательство Народная асвета, Минск, 2019, голубого цвета

Авторы: Арефьева И. Г., Пирютко О. Н.

Тип: Учебник

Издательство: Народная асвета

Год издания: 2019 - 2026

Цвет обложки: голубой, синий с графиком

ISBN: 978-985-03-3077-2

Допущено Министерством образования Республики Беларусь

Популярные ГДЗ в 9 классе

Глава 3. Дробно-рациональные уравнения и неравенства. Параграф 13. Дробно-рациональные неравенства. Метод интервалов для решения рациональных неравенств - номер 3.164, страница 192.

№3.164 (с. 192)
Условие. №3.164 (с. 192)
скриншот условия
Алгебра, 9 класс Учебник, авторы: Арефьева Ирина Глебовна, Пирютко Ольга Николаевна, издательство Народная асвета, Минск, 2019, голубого цвета, страница 192, номер 3.164, Условие

3.164. Решите неравенство методом интервалов, используя алгоритм:

а) $\frac{x-4}{x-1} > 0;$

б) $\frac{x+6}{x-2} < 0;$

в) $\frac{x+10}{x+12} \ge 0;$

г) $\frac{3x-9}{x+5} \le 0;$

д) $\frac{7x-2}{x-3} > 0;$

е) $\frac{6x+12}{x} \le 0.$

Решение. №3.164 (с. 192)
Алгебра, 9 класс Учебник, авторы: Арефьева Ирина Глебовна, Пирютко Ольга Николаевна, издательство Народная асвета, Минск, 2019, голубого цвета, страница 192, номер 3.164, Решение Алгебра, 9 класс Учебник, авторы: Арефьева Ирина Глебовна, Пирютко Ольга Николаевна, издательство Народная асвета, Минск, 2019, голубого цвета, страница 192, номер 3.164, Решение (продолжение 2)
Решение 2. №3.164 (с. 192)

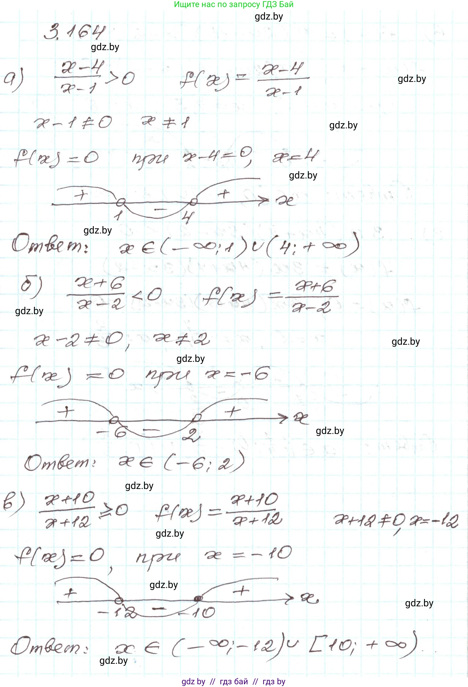
а) Решим неравенство $\frac{x-4}{x-1} > 0$ методом интервалов.
1. Находим нули числителя и знаменателя.
Нуль числителя: $x - 4 = 0 \Rightarrow x = 4$.
Нуль знаменателя: $x - 1 = 0 \Rightarrow x = 1$.
2. Наносим точки $1$ и $4$ на числовую прямую. Так как неравенство строгое ($>$), обе точки будут выколотыми (не включаются в решение). Эти точки делят прямую на три интервала: $(-\infty; 1)$, $(1; 4)$ и $(4; +\infty)$.
3. Определяем знаки выражения в каждом интервале. Так как все множители $(x-a)$ имеют коэффициент $1$ при $x$, то в крайнем правом интервале будет знак "+", а затем знаки будут чередоваться.
Интервалы и знаки: $(-\infty; 1) \rightarrow +$; $(1; 4) \rightarrow -$; $(4; +\infty) \rightarrow +$.
4. Выбираем интервалы со знаком "+", так как неравенство $\frac{x-4}{x-1} > 0$.
Ответ: $x \in (-\infty; 1) \cup (4; +\infty)$.

б) Решим неравенство $\frac{x+6}{x-2} < 0$.
1. Находим нули числителя и знаменателя.
Нуль числителя: $x + 6 = 0 \Rightarrow x = -6$.
Нуль знаменателя: $x - 2 = 0 \Rightarrow x = 2$.
2. Наносим точки $-6$ и $2$ на числовую прямую. Неравенство строгое ($<$), поэтому обе точки выколотые. Интервалы: $(-\infty; -6)$, $(-6; 2)$ и $(2; +\infty)$.
3. Определяем знаки выражения в интервалах.
Интервалы и знаки: $(-\infty; -6) \rightarrow +$; $(-6; 2) \rightarrow -$; $(2; +\infty) \rightarrow +$.
4. Выбираем интервал со знаком "-", так как неравенство $\frac{x+6}{x-2} < 0$.
Ответ: $x \in (-6; 2)$.

в) Решим неравенство $\frac{x+10}{x+12} \geq 0$.
1. Находим нули числителя и знаменателя.
Нуль числителя: $x + 10 = 0 \Rightarrow x = -10$.
Нуль знаменателя: $x + 12 = 0 \Rightarrow x = -12$.
2. Наносим точки на числовую прямую. Так как неравенство нестрогое ($\geq$), нуль числителя ($x=-10$) будет закрашенной точкой (входит в решение). Нуль знаменателя ($x=-12$) всегда выколотая точка. Интервалы: $(-\infty; -12)$, $(-12; -10]$ и $[-10; +\infty)$.
3. Определяем знаки выражения в интервалах.
Интервалы и знаки: $(-\infty; -12) \rightarrow +$; $(-12; -10] \rightarrow -$; $[-10; +\infty) \rightarrow +$.
4. Выбираем интервалы со знаком "+", так как неравенство $\frac{x+10}{x+12} \geq 0$.
Ответ: $x \in (-\infty; -12) \cup [-10; +\infty)$.

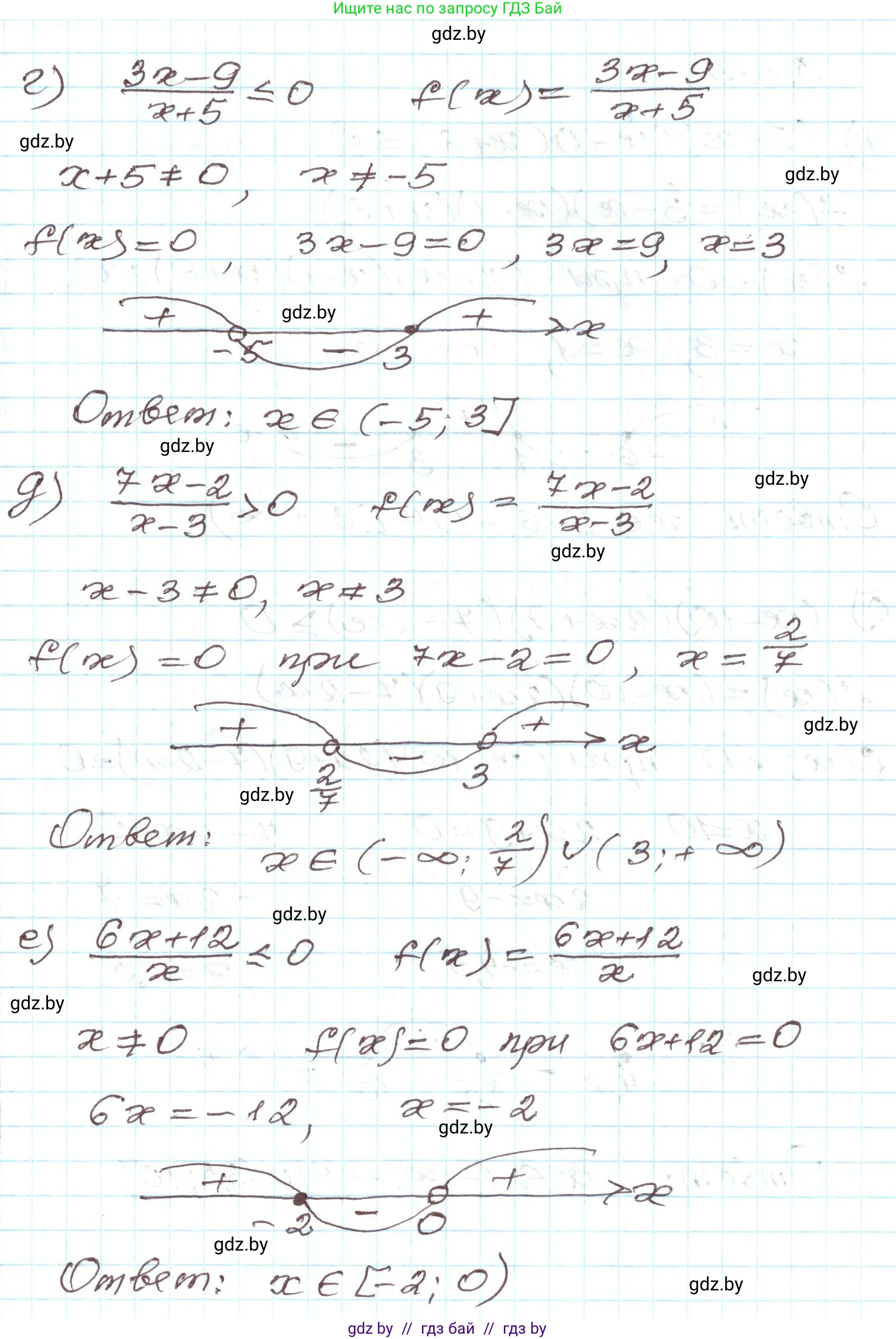
г) Решим неравенство $\frac{3x-9}{x+5} \leq 0$.
1. Находим нули числителя и знаменателя.
Нуль числителя: $3x - 9 = 0 \Rightarrow 3x = 9 \Rightarrow x = 3$.
Нуль знаменателя: $x + 5 = 0 \Rightarrow x = -5$.
2. Наносим точки на числовую прямую. Нуль числителя ($x=3$) — закрашенная точка ($\leq$). Нуль знаменателя ($x=-5$) — выколотая точка. Интервалы: $(-\infty; -5)$, $(-5; 3]$ и $[3; +\infty)$.
3. Определяем знаки выражения. Коэффициенты при $x$ положительны, поэтому знаки чередуются, начиная с "+".
Интервалы и знаки: $(-\infty; -5) \rightarrow +$; $(-5; 3] \rightarrow -$; $[3; +\infty) \rightarrow +$.
4. Выбираем интервал со знаком "-", так как неравенство $\frac{3x-9}{x+5} \leq 0$.
Ответ: $x \in (-5; 3]$.

д) Решим неравенство $\frac{7x-2}{x-3} > 0$.
1. Находим нули числителя и знаменателя.
Нуль числителя: $7x - 2 = 0 \Rightarrow 7x = 2 \Rightarrow x = \frac{2}{7}$.
Нуль знаменателя: $x - 3 = 0 \Rightarrow x = 3$.
2. Наносим точки $\frac{2}{7}$ и $3$ на числовую прямую. Неравенство строгое ($>$), обе точки выколотые. Интервалы: $(-\infty; \frac{2}{7})$, $(\frac{2}{7}; 3)$ и $(3; +\infty)$.
3. Определяем знаки выражения.
Интервалы и знаки: $(-\infty; \frac{2}{7}) \rightarrow +$; $(\frac{2}{7}; 3) \rightarrow -$; $(3; +\infty) \rightarrow +$.
4. Выбираем интервалы со знаком "+", так как неравенство $\frac{7x-2}{x-3} > 0$.
Ответ: $x \in (-\infty; \frac{2}{7}) \cup (3; +\infty)$.

е) Решим неравенство $\frac{6x+12}{x} \leq 0$.
1. Находим нули числителя и знаменателя.
Нуль числителя: $6x + 12 = 0 \Rightarrow 6x = -12 \Rightarrow x = -2$.
Нуль знаменателя: $x = 0$.
2. Наносим точки на числовую прямую. Нуль числителя ($x=-2$) — закрашенная точка ($\leq$). Нуль знаменателя ($x=0$) — выколотая точка. Интервалы: $(-\infty; -2]$, $[-2; 0)$ и $(0; +\infty)$.
3. Определяем знаки выражения.
Интервалы и знаки: $(-\infty; -2] \rightarrow +$; $[-2; 0) \rightarrow -$; $(0; +\infty) \rightarrow +$.
4. Выбираем интервал со знаком "-", так как неравенство $\frac{6x+12}{x} \leq 0$.
Ответ: $x \in [-2; 0)$.

Помогло решение? Оставьте отзыв в комментариях ниже.

Присоединяйтесь к Телеграм-группе @gdz_by_belarus

Присоединиться

Мы подготовили для вас ответ c подробным объяснением домашего задания по алгебре за 9 класс, для упражнения номер 3.164 расположенного на странице 192 к учебнику 2019 года издания для учащихся школ и гимназий.

Теперь на нашем сайте ГДЗ.ТОП вы всегда легко и бесплатно найдёте условие с правильным ответом на вопрос «Как решить ДЗ» и «Как сделать» задание по алгебре к упражнению №3.164 (с. 192), авторов: Арефьева (Ирина Глебовна), Пирютко (Ольга Николаевна), учебного пособия издательства Народная асвета.