Номер 2.97, страница 114 - гдз по алгебре 9 класс учебник Арефьева, Пирютко

Алгебра, 9 класс Учебник, авторы: Арефьева Ирина Глебовна, Пирютко Ольга Николаевна, издательство Народная асвета, Минск, 2019, голубого цвета

Авторы: Арефьева И. Г., Пирютко О. Н.

Тип: Учебник

Издательство: Народная асвета

Год издания: 2019 - 2026

Цвет обложки: голубой, синий с графиком

ISBN: 978-985-03-3077-2

Допущено Министерством образования Республики Беларусь

Популярные ГДЗ в 9 классе

Глава 2. Функции. Параграф 8. Четные и нечетные функции - номер 2.97, страница 114.

№2.97 (с. 114)
Условие. №2.97 (с. 114)
скриншот условия
Алгебра, 9 класс Учебник, авторы: Арефьева Ирина Глебовна, Пирютко Ольга Николаевна, издательство Народная асвета, Минск, 2019, голубого цвета, страница 114, номер 2.97, Условие

2.97. Используя алгоритм, докажите, что функция является четной:

а) $f(x)=3x^4+5x^2$;

б) $f(x)=5|x|-2$;

в) $f(x)=\frac{7}{x^2}$;

г) $f(x)=\sqrt{x^2-9}$.

Решение. №2.97 (с. 114)
Алгебра, 9 класс Учебник, авторы: Арефьева Ирина Глебовна, Пирютко Ольга Николаевна, издательство Народная асвета, Минск, 2019, голубого цвета, страница 114, номер 2.97, Решение Алгебра, 9 класс Учебник, авторы: Арефьева Ирина Глебовна, Пирютко Ольга Николаевна, издательство Народная асвета, Минск, 2019, голубого цвета, страница 114, номер 2.97, Решение (продолжение 2)
Решение 2. №2.97 (с. 114)

Алгоритм для доказательства четности функции состоит из двух шагов:

  1. Найти область определения функции $D(f)$ и убедиться, что она симметрична относительно начала координат (то есть, если $x \in D(f)$, то и $-x \in D(f)$).
  2. Проверить выполнение равенства $f(-x) = f(x)$ для всех $x$ из области определения.

Если оба условия выполняются, функция является четной.

а) $f(x) = 3x^4 + 5x^2$
1. Область определения данной функции — все действительные числа, $D(f) = (-\infty; +\infty)$. Эта область симметрична относительно нуля.
2. Найдем $f(-x)$:
$f(-x) = 3(-x)^4 + 5(-x)^2 = 3x^4 + 5x^2 = f(x)$.
Оба условия выполняются. Ответ: функция является четной.

б) $f(x) = 5|x| - 2$
1. Область определения данной функции — все действительные числа, $D(f) = (-\infty; +\infty)$. Эта область симметрична относительно нуля.
2. Найдем $f(-x)$:
$f(-x) = 5|-x| - 2 = 5|x| - 2 = f(x)$, так как по свойству модуля $|-x| = |x|$.
Оба условия выполняются. Ответ: функция является четной.

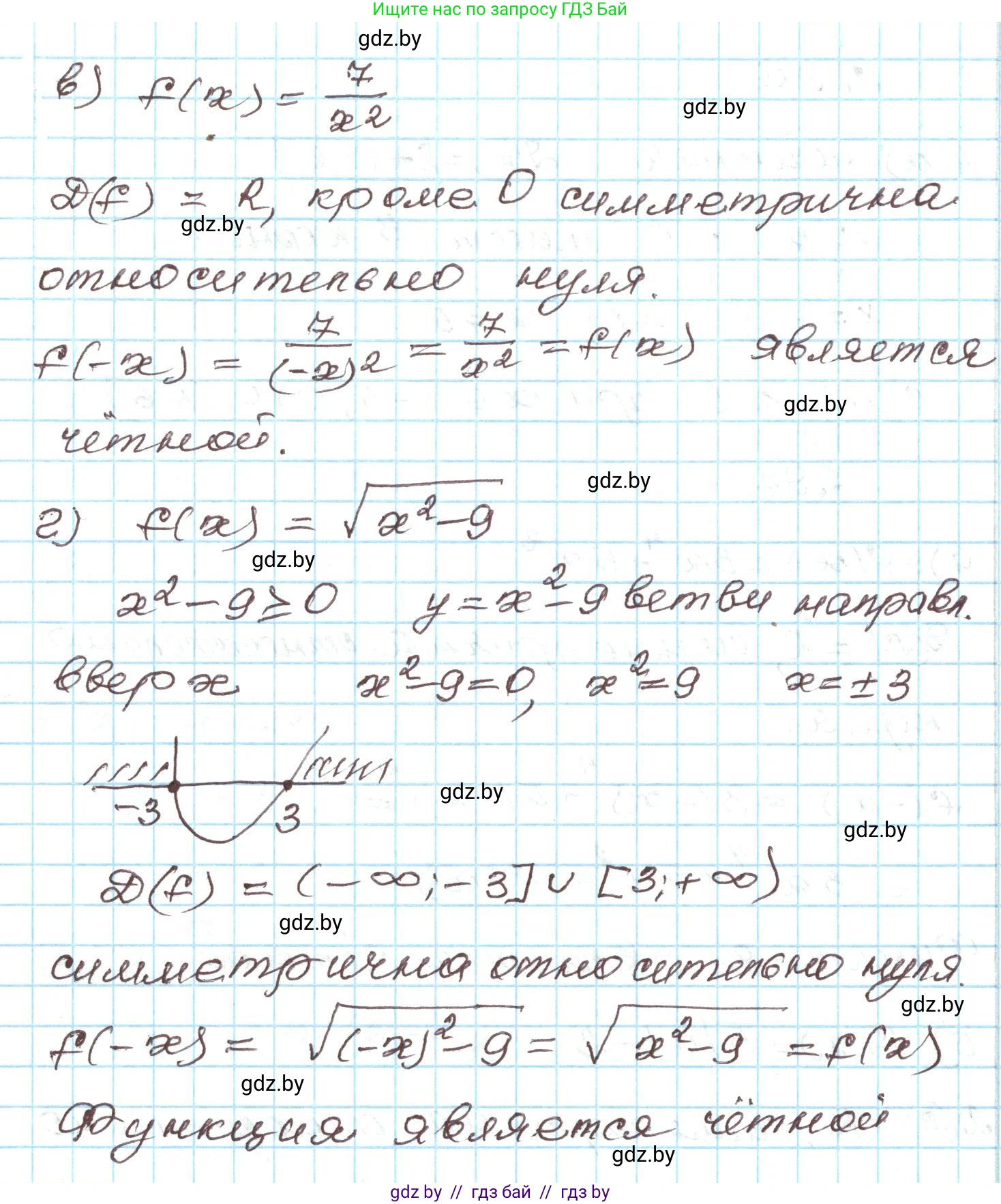
в) $f(x) = \frac{7}{x^2}$
1. Область определения данной функции — все действительные числа, кроме $x=0$, так как знаменатель не может быть равен нулю. $D(f) = (-\infty; 0) \cup (0; +\infty)$. Эта область симметрична относительно нуля.
2. Найдем $f(-x)$:
$f(-x) = \frac{7}{(-x)^2} = \frac{7}{x^2} = f(x)$.
Оба условия выполняются. Ответ: функция является четной.

г) $f(x) = \sqrt{x^2 - 9}$
1. Область определения данной функции — все значения $x$, для которых подкоренное выражение неотрицательно: $x^2 - 9 \ge 0 \implies x^2 \ge 9 \implies |x| \ge 3$. Таким образом, $D(f) = (-\infty; -3] \cup [3; +\infty)$. Эта область симметрична относительно нуля.
2. Найдем $f(-x)$:
$f(-x) = \sqrt{(-x)^2 - 9} = \sqrt{x^2 - 9} = f(x)$.
Оба условия выполняются. Ответ: функция является четной.

Помогло решение? Оставьте отзыв в комментариях ниже.

Присоединяйтесь к Телеграм-группе @gdz_by_belarus

Присоединиться

Мы подготовили для вас ответ c подробным объяснением домашего задания по алгебре за 9 класс, для упражнения номер 2.97 расположенного на странице 114 к учебнику 2019 года издания для учащихся школ и гимназий.

Теперь на нашем сайте ГДЗ.ТОП вы всегда легко и бесплатно найдёте условие с правильным ответом на вопрос «Как решить ДЗ» и «Как сделать» задание по алгебре к упражнению №2.97 (с. 114), авторов: Арефьева (Ирина Глебовна), Пирютко (Ольга Николаевна), учебного пособия издательства Народная асвета.