Номер 2.73, страница 102 - гдз по алгебре 9 класс учебник Арефьева, Пирютко

Алгебра, 9 класс Учебник, авторы: Арефьева Ирина Глебовна, Пирютко Ольга Николаевна, издательство Народная асвета, Минск, 2019, голубого цвета

Авторы: Арефьева И. Г., Пирютко О. Н.

Тип: Учебник

Издательство: Народная асвета

Год издания: 2019 - 2026

Цвет обложки: голубой, синий с графиком

ISBN: 978-985-03-3077-2

Допущено Министерством образования Республики Беларусь

Популярные ГДЗ в 9 классе

Глава 2. Функции. Параграф 7. Свойства функции - номер 2.73, страница 102.

№2.73 (с. 102)
Условие. №2.73 (с. 102)
скриншот условия
Алгебра, 9 класс Учебник, авторы: Арефьева Ирина Глебовна, Пирютко Ольга Николаевна, издательство Народная асвета, Минск, 2019, голубого цвета, страница 102, номер 2.73, Условие

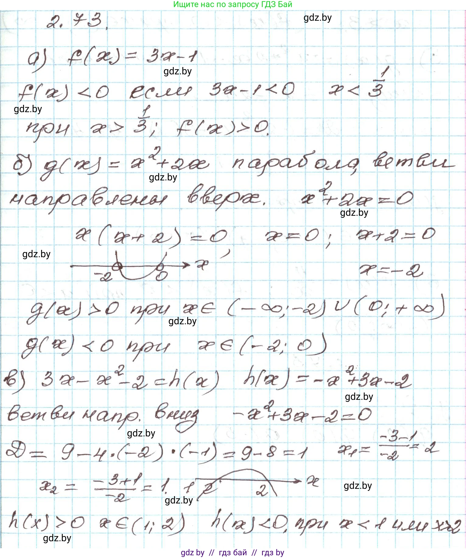
2.73. Найдите промежутки знакопостоянства функции:

а) $f(x)=3x-1$;

б) $g(x)=x^2+2x$;

в) $h(x)=3x-x^2-2$;

г) $p(x)=x^2+7$.

Решение. №2.73 (с. 102)
Алгебра, 9 класс Учебник, авторы: Арефьева Ирина Глебовна, Пирютко Ольга Николаевна, издательство Народная асвета, Минск, 2019, голубого цвета, страница 102, номер 2.73, Решение Алгебра, 9 класс Учебник, авторы: Арефьева Ирина Глебовна, Пирютко Ольга Николаевна, издательство Народная асвета, Минск, 2019, голубого цвета, страница 102, номер 2.73, Решение (продолжение 2)
Решение 2. №2.73 (с. 102)

Для нахождения промежутков знакопостоянства функции необходимо определить, на каких интервалах области определения функция принимает положительные значения ($f(x) > 0$), а на каких — отрицательные ($f(x) < 0$). Общий подход заключается в следующем:

  1. Найти нули функции, решив уравнение $f(x)=0$.
  2. Нули функции разбивают числовую прямую на интервалы.
  3. Определить знак функции на каждом из этих интервалов. Это можно сделать, подставив в функцию любое значение из интервала (метод интервалов) или проанализировав свойства графика функции (например, направление ветвей параболы).

а) $f(x)=3x-1$
Это линейная функция. Найдем ее нуль:$3x-1=0 \implies 3x=1 \implies x=\frac{1}{3}$.
Точка $x=\frac{1}{3}$ делит числовую прямую на два промежутка: $(-\infty; \frac{1}{3})$ и $(\frac{1}{3}; +\infty)$.
Так как угловой коэффициент $k=3$ положителен, функция является возрастающей. Это значит, что слева от корня она отрицательна, а справа — положительна.

  • Проверим: для $x \in (\frac{1}{3}, +\infty)$, возьмем $x=1$, получим $f(1)=3(1)-1=2>0$.
  • Проверим: для $x \in (-\infty, \frac{1}{3})$, возьмем $x=0$, получим $f(0)=3(0)-1=-1<0$.

Ответ: $f(x)>0$ при $x \in (\frac{1}{3}; +\infty)$; $f(x)<0$ при $x \in (-\infty; \frac{1}{3})$.

б) $g(x)=x^2+2x$
Это квадратичная функция. Найдем ее нули:$x^2+2x=0 \implies x(x+2)=0$.
Нули функции: $x_1=-2$, $x_2=0$.
Эти точки делят числовую прямую на три интервала: $(-\infty; -2)$, $(-2; 0)$ и $(0; +\infty)$.
График функции — парабола, ветви которой направлены вверх (коэффициент при $x^2$ равен $1 > 0$). Следовательно, функция положительна на интервалах слева и справа от корней и отрицательна между корнями.Ответ: $g(x)>0$ при $x \in (-\infty; -2) \cup (0; +\infty)$; $g(x)<0$ при $x \in (-2; 0)$.

в) $h(x)=3x-x^2-2$
Это квадратичная функция. Перепишем ее в стандартном виде: $h(x)=-x^2+3x-2$.
Найдем нули функции:$-x^2+3x-2=0$.
Умножим уравнение на -1: $x^2-3x+2=0$.
По теореме Виета, корни уравнения: $x_1=1$, $x_2=2$.
Эти точки делят числовую прямую на три интервала: $(-\infty; 1)$, $(1; 2)$ и $(2; +\infty)$.
График функции — парабола, ветви которой направлены вниз (коэффициент при $x^2$ равен $-1 < 0$). Следовательно, функция отрицательна на интервалах слева и справа от корней и положительна между корнями.Ответ: $h(x)>0$ при $x \in (1; 2)$; $h(x)<0$ при $x \in (-\infty; 1) \cup (2; +\infty)$.

г) $p(x)=x^2+7$
Это квадратичная функция. Найдем ее нули:$x^2+7=0 \implies x^2=-7$.
Данное уравнение не имеет действительных корней, так как квадрат любого действительного числа не может быть отрицательным. Это означает, что график функции не пересекает ось Ox.
Поскольку функция непрерывна и не имеет нулей, она сохраняет свой знак на всей числовой прямой. Для определения знака подставим любое значение, например $x=0$: $p(0)=0^2+7=7>0$.
Значит, функция положительна при всех значениях $x$.Ответ: $p(x)>0$ при $x \in (-\infty; +\infty)$; промежутков, где $p(x)<0$, не существует.

Помогло решение? Оставьте отзыв в комментариях ниже.

Присоединяйтесь к Телеграм-группе @gdz_by_belarus

Присоединиться

Мы подготовили для вас ответ c подробным объяснением домашего задания по алгебре за 9 класс, для упражнения номер 2.73 расположенного на странице 102 к учебнику 2019 года издания для учащихся школ и гимназий.

Теперь на нашем сайте ГДЗ.ТОП вы всегда легко и бесплатно найдёте условие с правильным ответом на вопрос «Как решить ДЗ» и «Как сделать» задание по алгебре к упражнению №2.73 (с. 102), авторов: Арефьева (Ирина Глебовна), Пирютко (Ольга Николаевна), учебного пособия издательства Народная асвета.