Номер 2.58, страница 100 - гдз по алгебре 9 класс учебник Арефьева, Пирютко
Авторы: Арефьева И. Г., Пирютко О. Н.
Тип: Учебник
Издательство: Народная асвета
Год издания: 2019 - 2026
Цвет обложки: голубой, синий с графиком
ISBN: 978-985-03-3077-2
Допущено Министерством образования Республики Беларусь
Популярные ГДЗ в 9 классе
Глава 2. Функции. Параграф 7. Свойства функции - номер 2.58, страница 100.
№2.58 (с. 100)
Условие. №2.58 (с. 100)
скриншот условия
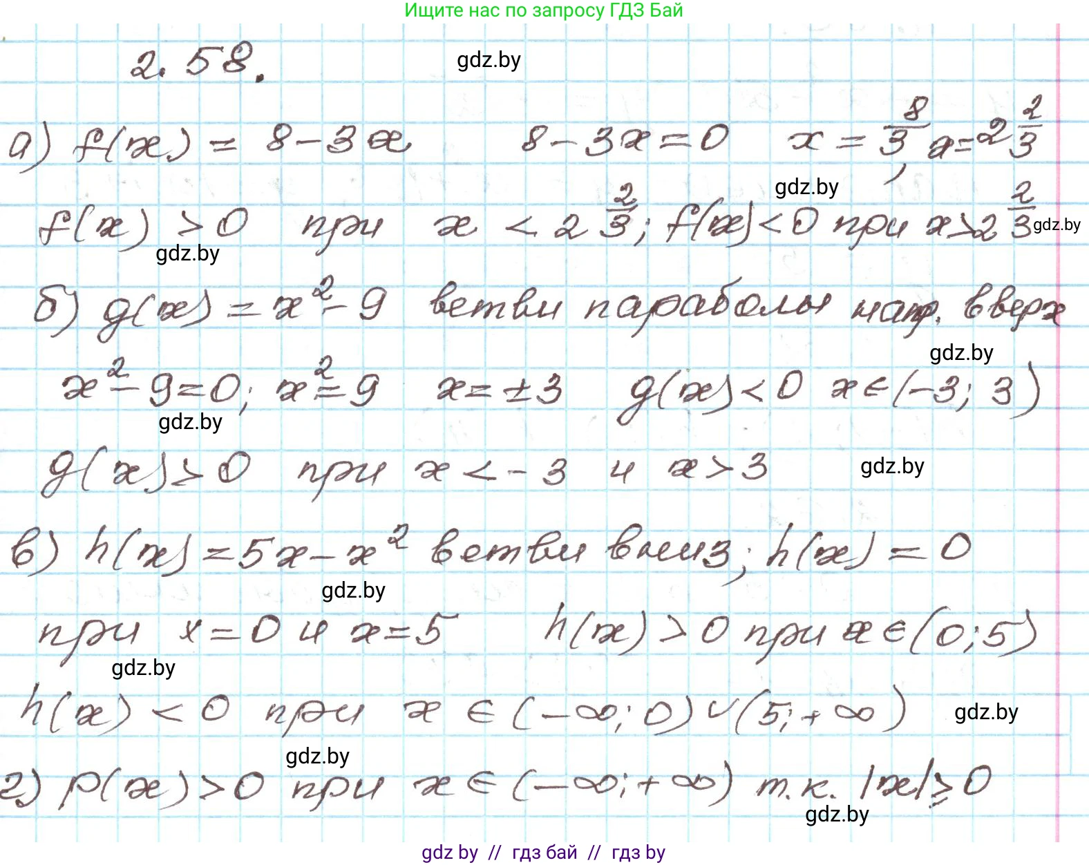
2.58. Составьте план решения и найдите промежутки знакопостоянства функции:
а) $f(x)=8-3x;$
б) $g(x)=x^2-9;$
в) $h(x)=5x-x^2;$
г)* $p(x)=|x|+7.$
Решение. №2.58 (с. 100)
Решение 2. №2.58 (с. 100)
План решения:
- Найти область определения функции $D(y)$.
- Найти нули функции, то есть решить уравнение $y(x) = 0$. Нули функции – это точки, в которых она может менять свой знак.
- Отметить нули функции на числовой оси. Эти точки разделят ось на несколько промежутков знакопостоянства.
- Определить знак функции на каждом из полученных промежутков. Для этого достаточно вычислить значение функции в любой одной точке из каждого промежутка.
- Записать итоговые промежутки, на которых функция положительна ($y > 0$) и на которых отрицательна ($y < 0$).
а) $f(x) = 8 - 3x$
1. Область определения функции: все действительные числа, $D(f) = (-\infty; +\infty)$.
2. Найдем нули функции, решив уравнение $f(x) = 0$:
$8 - 3x = 0$
$3x = 8$
$x = \frac{8}{3} = 2\frac{2}{3}$
3. Точка $x = 2\frac{2}{3}$ делит числовую ось на два промежутка: $(-\infty; 2\frac{2}{3})$ и $(2\frac{2}{3}; +\infty)$.
4. Определим знак функции на каждом промежутке:
- Возьмем точку из первого промежутка, например $x=0$. $f(0) = 8 - 3 \cdot 0 = 8 > 0$. Значит, на всем промежутке $(-\infty; 2\frac{2}{3})$ функция положительна.
- Возьмем точку из второго промежутка, например $x=3$. $f(3) = 8 - 3 \cdot 3 = 8 - 9 = -1 < 0$. Значит, на всем промежутке $(2\frac{2}{3}; +\infty)$ функция отрицательна.
Ответ: $f(x) > 0$ при $x \in (-\infty; \mathbf{2}\frac{2}{3})$; $f(x) < 0$ при $x \in (\mathbf{2}\frac{2}{3}; +\infty)$.
б) $g(x) = x^2 - 9$
1. Область определения: $D(g) = (-\infty; +\infty)$.
2. Найдем нули функции: $g(x) = 0 \Rightarrow x^2 - 9 = 0$.
Это разность квадратов: $(x - 3)(x + 3) = 0$.
Нули функции: $x_1 = -3$, $x_2 = 3$.
3. Нули делят числовую ось на три промежутка: $(-\infty; -3)$, $(-3; 3)$ и $(3; +\infty)$. Графиком функции является парабола, ветви которой направлены вверх, так как коэффициент при $x^2$ положителен.
4. Следовательно, функция положительна по бокам от корней и отрицательна между корнями.
- Промежутки, где $g(x) > 0$: $(-\infty; -3)$ и $(3; +\infty)$.
- Промежуток, где $g(x) < 0$: $(-3; 3)$.
Ответ: $g(x) > 0$ при $x \in (-\infty; -3) \cup (3; +\infty)$; $g(x) < 0$ при $x \in (-3; 3)$.
в) $h(x) = 5x - x^2$
1. Область определения: $D(h) = (-\infty; +\infty)$.
2. Найдем нули функции: $h(x) = 0 \Rightarrow 5x - x^2 = 0$.
Вынесем $x$ за скобки: $x(5 - x) = 0$.
Нули функции: $x_1 = 0$, $x_2 = 5$.
3. Нули делят числовую ось на три промежутка: $(-\infty; 0)$, $(0; 5)$ и $(5; +\infty)$. Графиком функции является парабола, ветви которой направлены вниз, так как коэффициент при $x^2$ отрицателен.
4. Следовательно, функция отрицательна по бокам от корней и положительна между корнями.
- Промежуток, где $h(x) > 0$: $(0; 5)$.
- Промежутки, где $h(x) < 0$: $(-\infty; 0)$ и $(5; +\infty)$.
Ответ: $h(x) > 0$ при $x \in (0; 5)$; $h(x) < 0$ при $x \in (-\infty; 0) \cup (5; +\infty)$.
г)* $p(x) = |x| + 7$
1. Область определения: $D(p) = (-\infty; +\infty)$.
2. Найдем нули функции: $p(x) = 0 \Rightarrow |x| + 7 = 0$.
$|x| = -7$.
Это уравнение не имеет решений в действительных числах, так как модуль любого числа по определению неотрицателен ($|x| \geq 0$). Значит, у функции нет нулей.
3. Так как функция непрерывна и не обращается в ноль, она сохраняет свой знак на всей числовой оси.
4. Чтобы определить этот знак, выберем любую точку, например $x=0$.
$p(0) = |0| + 7 = 7 > 0$.
Кроме того, для любого $x$ верно неравенство $|x| \geq 0$, следовательно $|x| + 7 \geq 7$. Таким образом, функция всегда положительна.
Ответ: $p(x) > 0$ при $x \in (-\infty; +\infty)$; промежутков, где $p(x) < 0$, не существует.
Другие задания:
Помогло решение? Оставьте отзыв в комментариях ниже.
Присоединяйтесь к Телеграм-группе @gdz_by_belarus
ПрисоединитьсяМы подготовили для вас ответ c подробным объяснением домашего задания по алгебре за 9 класс, для упражнения номер 2.58 расположенного на странице 100 к учебнику 2019 года издания для учащихся школ и гимназий.
Теперь на нашем сайте ГДЗ.ТОП вы всегда легко и бесплатно найдёте условие с правильным ответом на вопрос «Как решить ДЗ» и «Как сделать» задание по алгебре к упражнению №2.58 (с. 100), авторов: Арефьева (Ирина Глебовна), Пирютко (Ольга Николаевна), учебного пособия издательства Народная асвета.