Номер 2.36, страница 89 - гдз по алгебре 9 класс учебник Арефьева, Пирютко

Алгебра, 9 класс Учебник, авторы: Арефьева Ирина Глебовна, Пирютко Ольга Николаевна, издательство Народная асвета, Минск, 2019, голубого цвета

Авторы: Арефьева И. Г., Пирютко О. Н.

Тип: Учебник

Издательство: Народная асвета

Год издания: 2019 - 2026

Цвет обложки: голубой, синий с графиком

ISBN: 978-985-03-3077-2

Допущено Министерством образования Республики Беларусь

Популярные ГДЗ в 9 классе

Глава 2. Функции. Параграф 6. Функция числового аргумента. Область определения, множество значений. Способы задания функции - номер 2.36, страница 89.

№2.36 (с. 89)
Условие. №2.36 (с. 89)
скриншот условия
Алгебра, 9 класс Учебник, авторы: Арефьева Ирина Глебовна, Пирютко Ольга Николаевна, издательство Народная асвета, Минск, 2019, голубого цвета, страница 89, номер 2.36, Условие

2.36. Найдите $D(y)$ и запишите ответ в виде числового промежутка или объединения числовых промежутков:

а) $y = \sqrt{x+1} + \sqrt{4-x}$;

б) $y = \frac{7x}{\sqrt{6-x}} - \sqrt{3x+2}$;

в) $y = \sqrt{x^2+4x-5} + \sqrt{6-x}$;

г) $y = \sqrt{3x-x^2} - \frac{3}{\sqrt{x^2-4}}$.

Решение. №2.36 (с. 89)
Алгебра, 9 класс Учебник, авторы: Арефьева Ирина Глебовна, Пирютко Ольга Николаевна, издательство Народная асвета, Минск, 2019, голубого цвета, страница 89, номер 2.36, Решение Алгебра, 9 класс Учебник, авторы: Арефьева Ирина Глебовна, Пирютко Ольга Николаевна, издательство Народная асвета, Минск, 2019, голубого цвета, страница 89, номер 2.36, Решение (продолжение 2)
Решение 2. №2.36 (с. 89)

а) Для функции $y = \sqrt{x+1} + \sqrt{4-x}$

Область определения функции $D(y)$ — это множество всех значений аргумента $x$, при которых функция имеет смысл. Данная функция представляет собой сумму двух квадратных корней. Выражение под знаком квадратного корня должно быть неотрицательным. Поэтому мы должны решить систему неравенств:

$ \begin{cases} x+1 \ge 0 \\ 4-x \ge 0 \end{cases} $

Решаем каждое неравенство:

  1. $x+1 \ge 0 \implies x \ge -1$
  2. $4-x \ge 0 \implies 4 \ge x \implies x \le 4$

Найдем пересечение решений: $x \ge -1$ и $x \le 4$. На числовой оси это соответствует промежутку от -1 до 4, включая концы. Таким образом, область определения функции:

$D(y) = [-1, 4]$

Ответ: $[-1, 4]$.


б) Для функции $y = \frac{7x}{\sqrt{6-x}} - \sqrt{3x+2}$

Область определения этой функции определяется двумя условиями:

  1. Выражение под знаком корня в знаменателе, $6-x$, должно быть строго положительным (потому что корень не может быть из отрицательного числа, и знаменатель не может быть равен нулю).
  2. Выражение под знаком второго корня, $3x+2$, должно быть неотрицательным.

Запишем и решим систему неравенств:

$ \begin{cases} 6-x > 0 \\ 3x+2 \ge 0 \end{cases} $

Решаем каждое неравенство:

  1. $6-x > 0 \implies 6 > x \implies x < 6$
  2. $3x+2 \ge 0 \implies 3x \ge -2 \implies x \ge -\frac{2}{3}$

Найдем пересечение решений: $x \ge -\frac{2}{3}$ и $x < 6$. Это соответствует числовому промежутку от $-\frac{2}{3}$ до 6, включая левый конец, но не включая правый. Таким образом, область определения функции:

$D(y) = [-\frac{2}{3}, 6)$

Ответ: $[-\frac{2}{3}, 6)$.


в) Для функции $y = \sqrt{x^2+4x-5} + \sqrt{6-x}$

Область определения функции — это множество значений $x$, для которых оба подкоренных выражения неотрицательны. Составим и решим систему неравенств:

$ \begin{cases} x^2+4x-5 \ge 0 \\ 6-x \ge 0 \end{cases} $

Решим первое неравенство: $x^2+4x-5 \ge 0$. Найдем корни квадратного уравнения $x^2+4x-5=0$. Используя, например, теорему Виета, получаем корни $x_1 = -5$ и $x_2 = 1$. График функции $f(x)=x^2+4x-5$ — это парабола с ветвями, направленными вверх. Значения функции неотрицательны при $x$ вне интервала между корнями. Решение первого неравенства: $x \in (-\infty, -5] \cup [1, +\infty)$.

Решим второе неравенство: $6-x \ge 0 \implies x \le 6$. Решение второго неравенства: $x \in (-\infty, 6]$.

Теперь найдем пересечение этих двух множеств: $( (-\infty, -5] \cup [1, +\infty) ) \cap (-\infty, 6]$. Это пересечение состоит из двух интервалов:

  • $(-\infty, -5] \cap (-\infty, 6] = (-\infty, -5]$
  • $[1, +\infty) \cap (-\infty, 6] = [1, 6]$

Объединяя эти два результата, получаем область определения:

$D(y) = (-\infty, -5] \cup [1, 6]$

Ответ: $(-\infty, -5] \cup [1, 6]$.


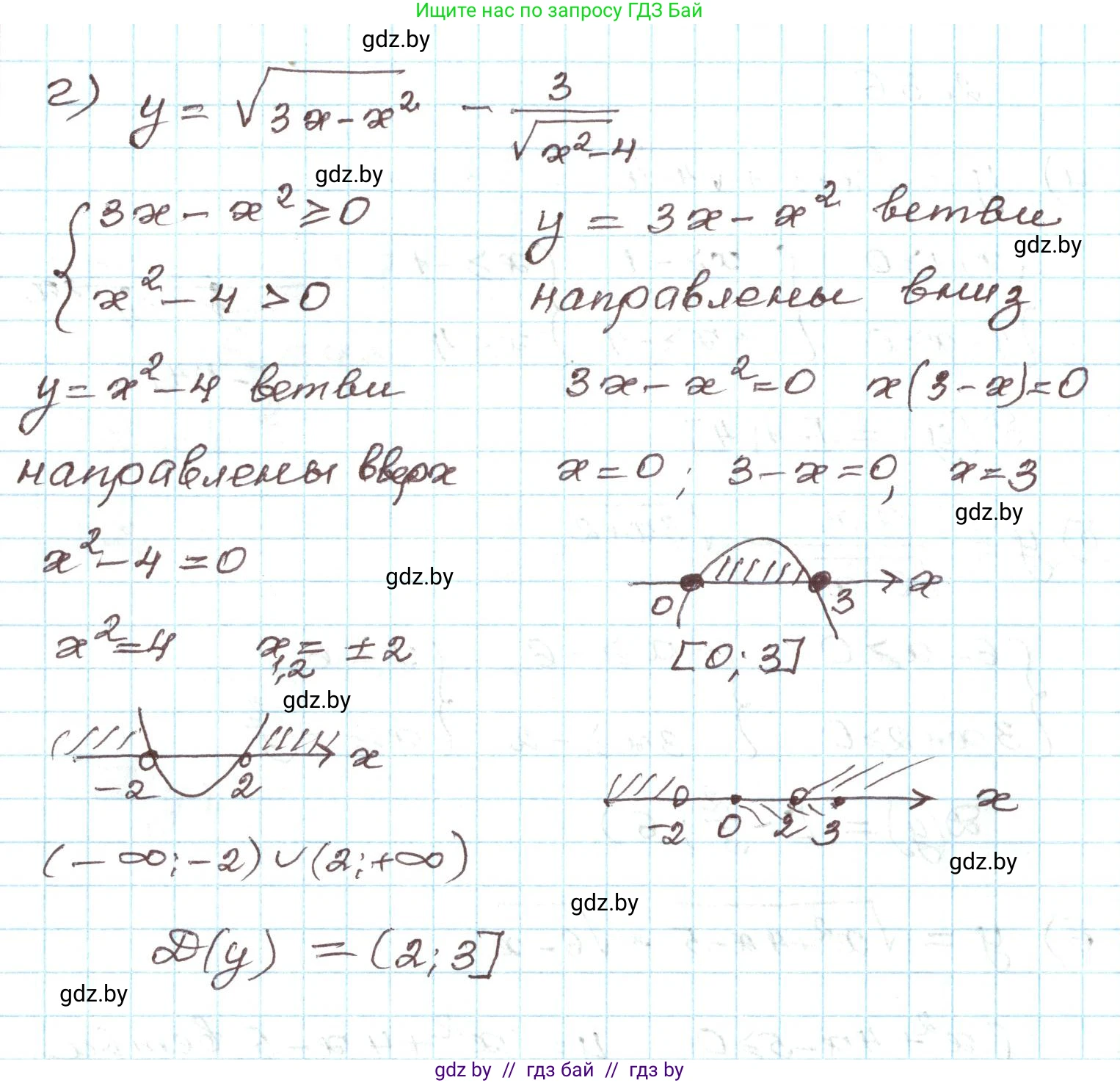
г) Для функции $y = \sqrt{3x-x^2} - \frac{3}{\sqrt{x^2-4}}$

Область определения функции определяется следующими условиями:

  1. Выражение под первым корнем, $3x-x^2$, должно быть неотрицательным.
  2. Выражение под корнем в знаменателе, $x^2-4$, должно быть строго положительным.

Составим и решим систему неравенств:

$ \begin{cases} 3x-x^2 \ge 0 \\ x^2-4 > 0 \end{cases} $

Решим первое неравенство: $3x-x^2 \ge 0 \implies x(3-x) \ge 0$. Корни уравнения $x(3-x)=0$ это $x=0$ и $x=3$. График $f(x)=3x-x^2$ — это парабола с ветвями вниз, поэтому функция принимает неотрицательные значения между корнями (включая их). Решение первого неравенства: $x \in [0, 3]$.

Решим второе неравенство: $x^2-4 > 0 \implies (x-2)(x+2) > 0$. Корни уравнения $(x-2)(x+2)=0$ это $x=-2$ и $x=2$. График $f(x)=x^2-4$ — парабола с ветвями вверх, поэтому функция положительна вне интервала между корнями. Решение второго неравенства: $x \in (-\infty, -2) \cup (2, +\infty)$.

Найдем пересечение решений: $[0, 3] \cap ((-\infty, -2) \cup (2, +\infty))$. Пересечение множества $[0, 3]$ с $(-\infty, -2)$ является пустым множеством. Пересечение множества $[0, 3]$ с $(2, +\infty)$ дает интервал $(2, 3]$. Таким образом, область определения функции:

$D(y) = (2, 3]$

Ответ: $(2, 3]$.

Помогло решение? Оставьте отзыв в комментариях ниже.

Присоединяйтесь к Телеграм-группе @gdz_by_belarus

Присоединиться

Мы подготовили для вас ответ c подробным объяснением домашего задания по алгебре за 9 класс, для упражнения номер 2.36 расположенного на странице 89 к учебнику 2019 года издания для учащихся школ и гимназий.

Теперь на нашем сайте ГДЗ.ТОП вы всегда легко и бесплатно найдёте условие с правильным ответом на вопрос «Как решить ДЗ» и «Как сделать» задание по алгебре к упражнению №2.36 (с. 89), авторов: Арефьева (Ирина Глебовна), Пирютко (Ольга Николаевна), учебного пособия издательства Народная асвета.