Номер 2.18, страница 86 - гдз по алгебре 9 класс учебник Арефьева, Пирютко

Алгебра, 9 класс Учебник, авторы: Арефьева Ирина Глебовна, Пирютко Ольга Николаевна, издательство Народная асвета, Минск, 2019, голубого цвета

Авторы: Арефьева И. Г., Пирютко О. Н.

Тип: Учебник

Издательство: Народная асвета

Год издания: 2019 - 2026

Цвет обложки: голубой, синий с графиком

ISBN: 978-985-03-3077-2

Допущено Министерством образования Республики Беларусь

Популярные ГДЗ в 9 классе

Глава 2. Функции. Параграф 6. Функция числового аргумента. Область определения, множество значений. Способы задания функции - номер 2.18, страница 86.

№2.18 (с. 86)
Условие. №2.18 (с. 86)
скриншот условия
Алгебра, 9 класс Учебник, авторы: Арефьева Ирина Глебовна, Пирютко Ольга Николаевна, издательство Народная асвета, Минск, 2019, голубого цвета, страница 86, номер 2.18, Условие

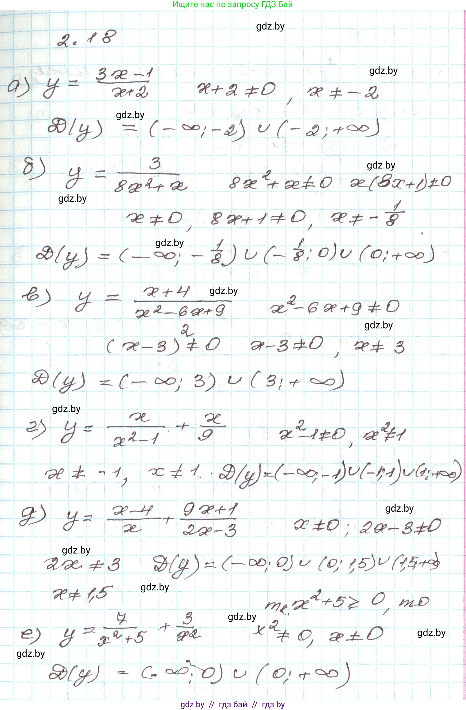
2.18. Найдите область определения функции:

а) $y = \frac{3x - 1}{x + 2}$;

б) $y = \frac{3}{8x^2 + x}$;

в) $y = \frac{x + 4}{x^2 - 6x + 9}$;

г) $y = \frac{x}{x^2 - 1} + \frac{x}{9}$;

д) $y = \frac{x - 4}{x} + \frac{9x + 1}{2x - 3}$;

е) $y = \frac{7}{x^2 + 5} + \frac{3}{x^2}$.

Решение. №2.18 (с. 86)
Алгебра, 9 класс Учебник, авторы: Арефьева Ирина Глебовна, Пирютко Ольга Николаевна, издательство Народная асвета, Минск, 2019, голубого цвета, страница 86, номер 2.18, Решение
Решение 2. №2.18 (с. 86)

Область определения функции — это множество всех значений аргумента $x$, при которых функция определена (имеет смысл). Для представленных дробно-рациональных функций основным ограничением является то, что знаменатель дроби не может быть равен нулю, так как на ноль делить нельзя.

а) $y = \frac{3x - 1}{x + 2}$

Функция определена для всех значений $x$, при которых знаменатель $x + 2$ не равен нулю.

Найдем недопустимое значение $x$, приравняв знаменатель к нулю:

$x + 2 = 0$

$x = -2$

Следовательно, область определения функции — это все действительные числа, кроме $x = -2$.

Ответ: $x \in (-\infty; -2) \cup (-2; +\infty)$.

б) $y = \frac{3}{8x^2 + x}$

Функция определена для всех значений $x$, при которых знаменатель $8x^2 + x$ не равен нулю.

Найдем недопустимые значения $x$, приравняв знаменатель к нулю:

$8x^2 + x = 0$

Вынесем общий множитель $x$ за скобки:

$x(8x + 1) = 0$

Произведение равно нулю, если хотя бы один из множителей равен нулю:

$x_1 = 0$ или $8x + 1 = 0$

Решим второе уравнение: $8x = -1 \implies x_2 = -\frac{1}{8}$

Следовательно, область определения функции — это все действительные числа, кроме $x = 0$ и $x = -\frac{1}{8}$.

Ответ: $x \in (-\infty; -\frac{1}{8}) \cup (-\frac{1}{8}; 0) \cup (0; +\infty)$.

в) $y = \frac{x + 4}{x^2 - 6x + 9}$

Функция определена для всех значений $x$, при которых знаменатель $x^2 - 6x + 9$ не равен нулю.

Найдем недопустимое значение $x$, приравняв знаменатель к нулю:

$x^2 - 6x + 9 = 0$

Заметим, что левая часть уравнения является полным квадратом разности $(x-3)^2$:

$(x - 3)^2 = 0$

$x - 3 = 0$

$x = 3$

Следовательно, область определения функции — это все действительные числа, кроме $x = 3$.

Ответ: $x \in (-\infty; 3) \cup (3; +\infty)$.

г) $y = \frac{x}{x^2 - 1} + \frac{x}{9}$

Данная функция является суммой двух слагаемых. Ее область определения — это пересечение областей определения каждого слагаемого.

1. Для слагаемого $\frac{x}{x^2 - 1}$ знаменатель $x^2 - 1$ не должен быть равен нулю:

$x^2 - 1 \neq 0 \implies x^2 \neq 1 \implies x \neq 1$ и $x \neq -1$.

2. Для слагаемого $\frac{x}{9}$ знаменатель равен 9 и никогда не равен нулю, поэтому оно определено для любых $x$.

Объединяя условия, получаем, что область определения всей функции — это все действительные числа, кроме $x = 1$ и $x = -1$.

Ответ: $x \in (-\infty; -1) \cup (-1; 1) \cup (1; +\infty)$.

д) $y = \frac{x - 4}{x} + \frac{9x + 1}{2x - 3}$

Функция является суммой двух дробей. Ее область определения находится из условия, что знаменатели обеих дробей не равны нулю.

1. Для дроби $\frac{x - 4}{x}$ знаменатель $x \neq 0$.

2. Для дроби $\frac{9x + 1}{2x - 3}$ знаменатель $2x - 3 \neq 0$.

$2x \neq 3 \implies x \neq \frac{3}{2}$

Следовательно, область определения функции — это все действительные числа, кроме $x = 0$ и $x = \frac{3}{2}$.

Ответ: все действительные числа, кроме $x=0$ и $x=1\frac{1}{2}$.

е) $y = \frac{7}{x^2 + 5} + \frac{3}{x^2}$

Функция является суммой двух дробей. Найдем ограничения для каждой из них.

1. Для дроби $\frac{7}{x^2 + 5}$ знаменатель $x^2 + 5$. Так как $x^2 \ge 0$ для любого действительного $x$, то $x^2 + 5 \ge 5$. Значит, этот знаменатель никогда не обращается в ноль.

2. Для дроби $\frac{3}{x^2}$ знаменатель $x^2$ не должен быть равен нулю, что означает $x \neq 0$.

Таким образом, единственное ограничение на область определения задает вторая дробь. Область определения функции — это все действительные числа, кроме $x = 0$.

Ответ: $x \in (-\infty; 0) \cup (0; +\infty)$.

Помогло решение? Оставьте отзыв в комментариях ниже.

Присоединяйтесь к Телеграм-группе @gdz_by_belarus

Присоединиться

Мы подготовили для вас ответ c подробным объяснением домашего задания по алгебре за 9 класс, для упражнения номер 2.18 расположенного на странице 86 к учебнику 2019 года издания для учащихся школ и гимназий.

Теперь на нашем сайте ГДЗ.ТОП вы всегда легко и бесплатно найдёте условие с правильным ответом на вопрос «Как решить ДЗ» и «Как сделать» задание по алгебре к упражнению №2.18 (с. 86), авторов: Арефьева (Ирина Глебовна), Пирютко (Ольга Николаевна), учебного пособия издательства Народная асвета.