Номер 1.58, страница 28 - гдз по алгебре 9 класс учебник Арефьева, Пирютко

Алгебра, 9 класс Учебник, авторы: Арефьева Ирина Глебовна, Пирютко Ольга Николаевна, издательство Народная асвета, Минск, 2019, голубого цвета

Авторы: Арефьева И. Г., Пирютко О. Н.

Тип: Учебник

Издательство: Народная асвета

Год издания: 2019 - 2026

Цвет обложки: голубой, синий с графиком

ISBN: 978-985-03-3077-2

Допущено Министерством образования Республики Беларусь

Популярные ГДЗ в 9 классе

Глава 1. Рациональные выражения. Параграф 2. Основное свойство рациональной дроби. Сокращение рациональных дробей - номер 1.58, страница 28.

№1.58 (с. 28)
Условие. №1.58 (с. 28)
скриншот условия
Алгебра, 9 класс Учебник, авторы: Арефьева Ирина Глебовна, Пирютко Ольга Николаевна, издательство Народная асвета, Минск, 2019, голубого цвета, страница 28, номер 1.58, Условие Алгебра, 9 класс Учебник, авторы: Арефьева Ирина Глебовна, Пирютко Ольга Николаевна, издательство Народная асвета, Минск, 2019, голубого цвета, страница 28, номер 1.58, Условие (продолжение 2)

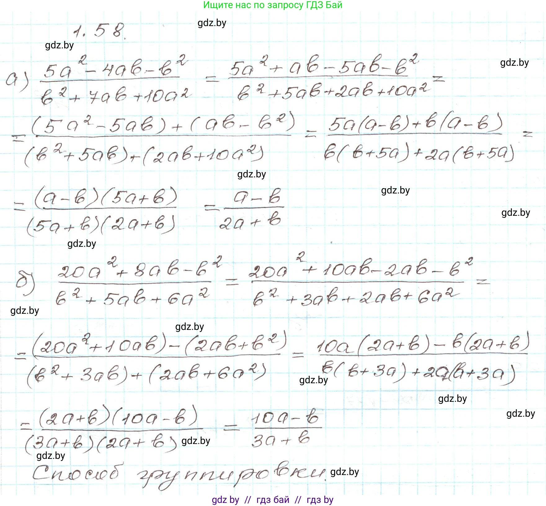
1.58*. Сократите дробь:

а) $\frac{5a^2 - 4ab - b^2}{b^2 + 7ab + 10a^2}$;

б) $\frac{20a^2 + 8ab - b^2}{b^2 + 5ab + 6a^2}$.

Какой способ разложения многочленов на множители вы использовали?

Решение. №1.58 (с. 28)
Алгебра, 9 класс Учебник, авторы: Арефьева Ирина Глебовна, Пирютко Ольга Николаевна, издательство Народная асвета, Минск, 2019, голубого цвета, страница 28, номер 1.58, Решение
Решение 2. №1.58 (с. 28)

Для сокращения дробей необходимо разложить их числители и знаменатели на множители. Поскольку данные многочлены являются однородными многочленами второй степени, мы можем рассматривать их как квадратные трехчлены относительно одной из переменных (например, $a$) и найти их корни для разложения на множители по формуле $A(x - x_1)(x - x_2)$.

а) Сократим дробь $\frac{5a^2 - 4ab - b^2}{b^2 + 7ab + 10a^2}$.

1. Разложим на множители числитель: $5a^2 - 4ab - b^2$.
Решим квадратное уравнение $5a^2 - (4b)a - b^2 = 0$ относительно переменной $a$.
Дискриминант: $D = (-4b)^2 - 4 \cdot 5 \cdot (-b^2) = 16b^2 + 20b^2 = 36b^2$.
Корни уравнения: $a_{1,2} = \frac{4b \pm \sqrt{36b^2}}{10} = \frac{4b \pm 6b}{10}$.
$a_1 = \frac{4b + 6b}{10} = \frac{10b}{10} = b$,
$a_2 = \frac{4b - 6b}{10} = \frac{-2b}{10} = -\frac{b}{5}$.
Следовательно, разложение числителя: $5(a - b)(a - (-\frac{b}{5})) = 5(a - b)(a + \frac{b}{5}) = (a - b)(5a + b)$.

2. Разложим на множители знаменатель: $b^2 + 7ab + 10a^2$, что то же самое, что и $10a^2 + 7ab + b^2$.
Решим квадратное уравнение $10a^2 + (7b)a + b^2 = 0$ относительно переменной $a$.
Дискриминант: $D = (7b)^2 - 4 \cdot 10 \cdot b^2 = 49b^2 - 40b^2 = 9b^2$.
Корни уравнения: $a_{1,2} = \frac{-7b \pm \sqrt{9b^2}}{20} = \frac{-7b \pm 3b}{20}$.
$a_1 = \frac{-7b + 3b}{20} = \frac{-4b}{20} = -\frac{b}{5}$,
$a_2 = \frac{-7b - 3b}{20} = \frac{-10b}{20} = -\frac{b}{2}$.
Следовательно, разложение знаменателя: $10(a - (-\frac{b}{5}))(a - (-\frac{b}{2})) = 10(a + \frac{b}{5})(a + \frac{b}{2}) = (5a + b)(2a + b)$.

3. Сократим дробь, подставив полученные разложения:
$\frac{5a^2 - 4ab - b^2}{b^2 + 7ab + 10a^2} = \frac{(a - b)(5a + b)}{(2a + b)(5a + b)} = \frac{a - b}{2a + b}$.

4. Полученная дробь является неправильной, так как степень числителя равна степени знаменателя. Чтобы выделить целую часть, выполним деление многочлена на многочлен. Для получения целого коэффициента удобно рассматривать многочлены как функции от переменной $b$:
$\frac{a - b}{2a + b} = \frac{-b + a}{b + 2a} = \frac{-(b + 2a) + 2a + a}{b + 2a} = \frac{-(b + 2a) + 3a}{b + 2a} = -1 + \frac{3a}{2a + b}$.
Ответ: $-1 + \frac{3a}{2a + b}$

б) Сократим дробь $\frac{20a^2 + 8ab - b^2}{b^2 + 5ab + 6a^2}$.

1. Разложим на множители числитель: $20a^2 + 8ab - b^2$.
Решим квадратное уравнение $20a^2 + (8b)a - b^2 = 0$ относительно $a$.
Дискриминант: $D = (8b)^2 - 4 \cdot 20 \cdot (-b^2) = 64b^2 + 80b^2 = 144b^2$.
Корни уравнения: $a_{1,2} = \frac{-8b \pm \sqrt{144b^2}}{40} = \frac{-8b \pm 12b}{40}$.
$a_1 = \frac{-8b + 12b}{40} = \frac{4b}{40} = \frac{b}{10}$,
$a_2 = \frac{-8b - 12b}{40} = \frac{-20b}{40} = -\frac{b}{2}$.
Разложение числителя: $20(a - \frac{b}{10})(a - (-\frac{b}{2})) = 20(a - \frac{b}{10})(a + \frac{b}{2}) = (10a - b)(2a + b)$.

2. Разложим на множители знаменатель: $b^2 + 5ab + 6a^2 = 6a^2 + 5ab + b^2$.
Решим квадратное уравнение $6a^2 + (5b)a + b^2 = 0$ относительно $a$.
Дискриминант: $D = (5b)^2 - 4 \cdot 6 \cdot b^2 = 25b^2 - 24b^2 = b^2$.
Корни уравнения: $a_{1,2} = \frac{-5b \pm \sqrt{b^2}}{12} = \frac{-5b \pm b}{12}$.
$a_1 = \frac{-5b + b}{12} = \frac{-4b}{12} = -\frac{b}{3}$,
$a_2 = \frac{-5b - b}{12} = \frac{-6b}{12} = -\frac{b}{2}$.
Разложение знаменателя: $6(a - (-\frac{b}{3}))(a - (-\frac{b}{2})) = 6(a + \frac{b}{3})(a + \frac{b}{2}) = (3a + b)(2a + b)$.

3. Сократим дробь:
$\frac{20a^2 + 8ab - b^2}{b^2 + 5ab + 6a^2} = \frac{(10a - b)(2a + b)}{(3a + b)(2a + b)} = \frac{10a - b}{3a + b}$.

4. Выделим целую часть из полученной неправильной дроби, выполнив деление (рассматривая многочлены как зависящие от $b$):
$\frac{10a - b}{3a + b} = \frac{-b + 10a}{b + 3a} = \frac{-(b + 3a) + 3a + 10a}{b + 3a} = \frac{-(b + 3a) + 13a}{b + 3a} = -1 + \frac{13a}{3a + b}$.
Ответ: $-1 + \frac{13a}{3a + b}$

Какой способ разложения многочленов на множители вы использовали?

Для разложения многочленов на множители был использован метод разложения квадратного трехчлена с помощью нахождения его корней. Однородные многочлены в числителе и знаменателе были представлены как квадратные трехчлены относительно одной из переменных (в данном решении — переменной $a$). После нахождения корней $a_1$ и $a_2$ соответствующего квадратного уравнения вида $Ca^2+Da+E=0$, многочлен раскладывался на множители по формуле $C(a-a_1)(a-a_2)$.

Помогло решение? Оставьте отзыв в комментариях ниже.

Присоединяйтесь к Телеграм-группе @gdz_by_belarus

Присоединиться

Мы подготовили для вас ответ c подробным объяснением домашего задания по алгебре за 9 класс, для упражнения номер 1.58 расположенного на странице 28 к учебнику 2019 года издания для учащихся школ и гимназий.

Теперь на нашем сайте ГДЗ.ТОП вы всегда легко и бесплатно найдёте условие с правильным ответом на вопрос «Как решить ДЗ» и «Как сделать» задание по алгебре к упражнению №1.58 (с. 28), авторов: Арефьева (Ирина Глебовна), Пирютко (Ольга Николаевна), учебного пособия издательства Народная асвета.