Номер 1.50, страница 28 - гдз по алгебре 9 класс учебник Арефьева, Пирютко

Алгебра, 9 класс Учебник, авторы: Арефьева Ирина Глебовна, Пирютко Ольга Николаевна, издательство Народная асвета, Минск, 2019, голубого цвета

Авторы: Арефьева И. Г., Пирютко О. Н.

Тип: Учебник

Издательство: Народная асвета

Год издания: 2019 - 2026

Цвет обложки: голубой, синий с графиком

ISBN: 978-985-03-3077-2

Допущено Министерством образования Республики Беларусь

Популярные ГДЗ в 9 классе

Глава 1. Рациональные выражения. Параграф 2. Основное свойство рациональной дроби. Сокращение рациональных дробей - номер 1.50, страница 28.

№1.50 (с. 28)
Условие. №1.50 (с. 28)
скриншот условия
Алгебра, 9 класс Учебник, авторы: Арефьева Ирина Глебовна, Пирютко Ольга Николаевна, издательство Народная асвета, Минск, 2019, голубого цвета, страница 28, номер 1.50, Условие

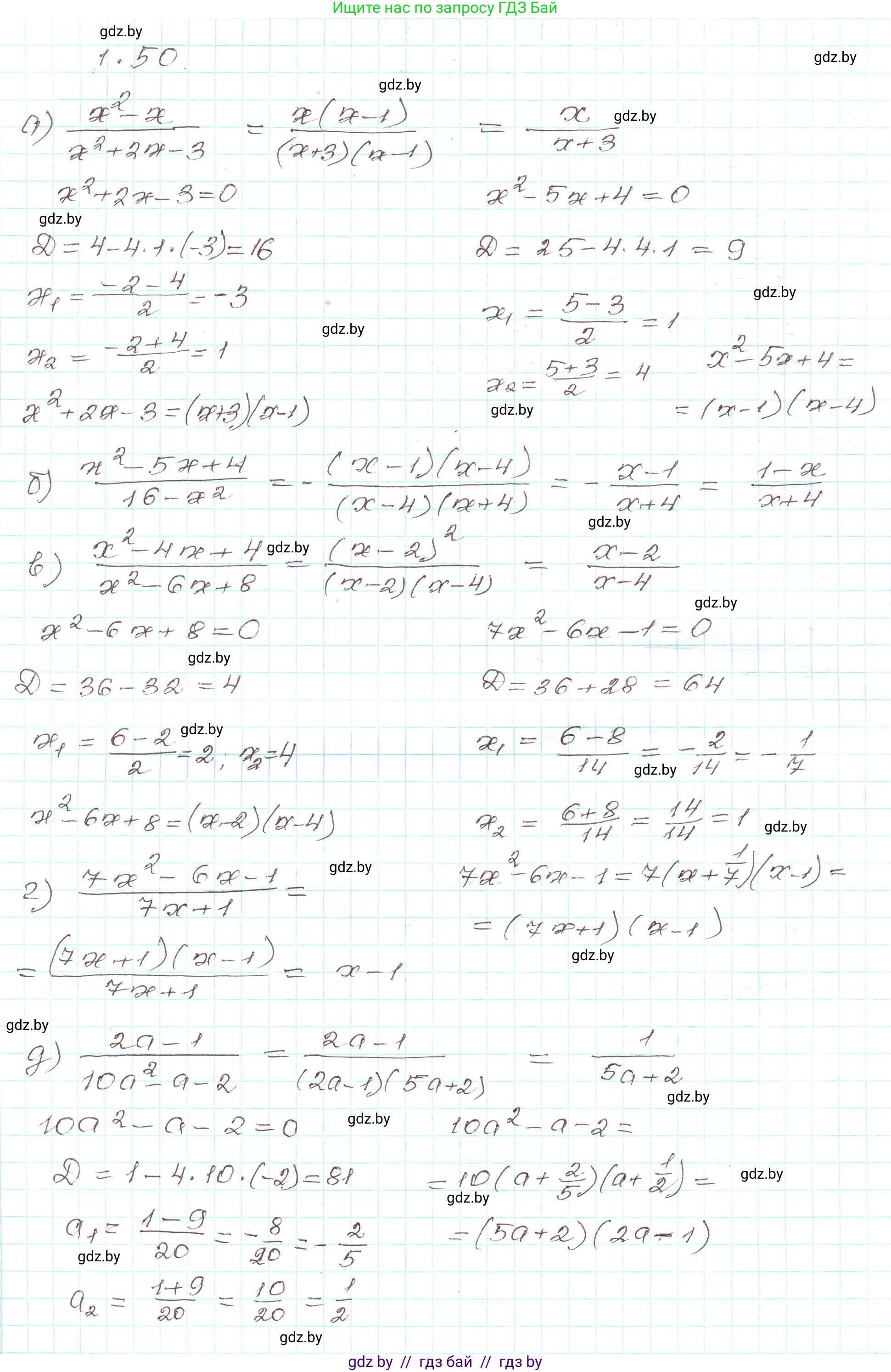
1.50. Воспользуйтесь формулой разложения квадратного трехчлена на множители и сократите дробь:

а) $ \frac{x^2 - x}{x^2 + 2x - 3} $;
б) $ \frac{x^2 - 5x + 4}{16 - x^2} $;
в) $ \frac{x^2 - 4x + 4}{x^2 - 6x + 8} $;
г) $ \frac{7x^2 - 6x - 1}{7x + 1} $;
д) $ \frac{2a - 1}{10a^2 - a - 2} $;
е) $ \frac{2x^2 - 5x - 3}{1 - 4x^2} $;
ж) $ \frac{6x^2 + x - 7}{13 - 10x - 3x^2} $;
з) $ \frac{2a^2 - 5a + 2}{ab - 2b - 3a + 6} $.

Решение. №1.50 (с. 28)
Алгебра, 9 класс Учебник, авторы: Арефьева Ирина Глебовна, Пирютко Ольга Николаевна, издательство Народная асвета, Минск, 2019, голубого цвета, страница 28, номер 1.50, Решение Алгебра, 9 класс Учебник, авторы: Арефьева Ирина Глебовна, Пирютко Ольга Николаевна, издательство Народная асвета, Минск, 2019, голубого цвета, страница 28, номер 1.50, Решение (продолжение 2)
Решение 2. №1.50 (с. 28)

а) $\frac{x^2-x}{x^2+2x-3}$

Разложим числитель и знаменатель на множители.
Числитель: $x^2-x = x(x-1)$.
Знаменатель: $x^2+2x-3$. Для разложения решим квадратное уравнение $x^2+2x-3=0$. По теореме Виета, корни уравнения: $x_1=1$ и $x_2=-3$. Следовательно, $x^2+2x-3 = (x-1)(x-(-3)) = (x-1)(x+3)$.

Подставим разложения в дробь и сократим (при условии $x \ne 1$):
$\frac{x(x-1)}{(x-1)(x+3)} = \frac{x}{x+3}$.

Так как степень числителя равна степени знаменателя, полученная дробь является неправильной. Выделим целую часть:
$\frac{x}{x+3} = \frac{x+3-3}{x+3} = \frac{x+3}{x+3} - \frac{3}{x+3} = 1 - \frac{3}{x+3}$.

Ответ: $1 - \frac{3}{x+3}$.

б) $\frac{x^2-5x+4}{16-x^2}$

Разложим числитель и знаменатель на множители.
Числитель: $x^2-5x+4$. Корни уравнения $x^2-5x+4=0$ по теореме Виета: $x_1=1, x_2=4$. Следовательно, $x^2-5x+4 = (x-1)(x-4)$.
Знаменатель: $16-x^2$. Это разность квадратов: $16-x^2 = 4^2-x^2 = (4-x)(4+x) = -(x-4)(x+4)$.

Подставим разложения в дробь и сократим (при $x \ne 4$):
$\frac{(x-1)(x-4)}{-(x-4)(x+4)} = -\frac{x-1}{x+4} = \frac{1-x}{x+4}$.

Это неправильная алгебраическая дробь. Выделим целую часть:
$\frac{1-x}{x+4} = \frac{-(x-1)}{x+4} = \frac{-(x+4-5)}{x+4} = \frac{-(x+4)+5}{x+4} = -1 + \frac{5}{x+4}$.

Ответ: $-1 + \frac{5}{x+4}$.

в) $\frac{x^2-4x+4}{x^2-6x+8}$

Разложим числитель и знаменатель на множители.
Числитель: $x^2-4x+4$. Это формула квадрата разности: $(x-2)^2$.
Знаменатель: $x^2-6x+8$. Корни уравнения $x^2-6x+8=0$ по теореме Виета: $x_1=2, x_2=4$. Следовательно, $x^2-6x+8 = (x-2)(x-4)$.

Подставим разложения в дробь и сократим (при $x \ne 2$):
$\frac{(x-2)^2}{(x-2)(x-4)} = \frac{x-2}{x-4}$.

Это неправильная алгебраическая дробь. Выделим целую часть:
$\frac{x-2}{x-4} = \frac{x-4+2}{x-4} = \frac{x-4}{x-4} + \frac{2}{x-4} = 1 + \frac{2}{x-4}$.

Ответ: $1 + \frac{2}{x-4}$.

г) $\frac{7x^2-6x-1}{7x+1}$

Разложим числитель на множители.
Числитель: $7x^2-6x-1$. Решим уравнение $7x^2-6x-1=0$. Дискриминант $D = (-6)^2-4 \cdot 7 \cdot (-1) = 36+28=64=8^2$. Корни: $x_{1,2} = \frac{6 \pm 8}{14}$, то есть $x_1 = 1$, $x_2 = -\frac{1}{7}$. Следовательно, $7x^2-6x-1 = 7(x-1)(x+\frac{1}{7}) = (x-1)(7x+1)$.

Подставим разложение в дробь и сократим (при $x \ne -1/7$):
$\frac{(x-1)(7x+1)}{7x+1} = x-1$.

Результат является многочленом (целым выражением), который и является целой частью.

Ответ: $x-1$.

д) $\frac{2a-1}{10a^2-a-2}$

Разложим знаменатель на множители.
Знаменатель: $10a^2-a-2$. Решим уравнение $10a^2-a-2=0$. Дискриминант $D = (-1)^2-4 \cdot 10 \cdot (-2) = 1+80=81=9^2$. Корни: $a_{1,2} = \frac{1 \pm 9}{20}$, то есть $a_1 = \frac{1}{2}$, $a_2 = -\frac{2}{5}$. Следовательно, $10a^2-a-2 = 10(a-\frac{1}{2})(a+\frac{2}{5}) = 2(a-\frac{1}{2}) \cdot 5(a+\frac{2}{5}) = (2a-1)(5a+2)$.

Подставим разложение в дробь и сократим (при $a \ne 1/2$):
$\frac{2a-1}{(2a-1)(5a+2)} = \frac{1}{5a+2}$.

Это правильная алгебраическая дробь, ее целая часть равна 0.

Ответ: $\frac{1}{5a+2}$.

е) $\frac{2x^2-5x-3}{1-4x^2}$

Разложим числитель и знаменатель на множители.
Числитель: $2x^2-5x-3$. Решим уравнение $2x^2-5x-3=0$. Дискриминант $D = (-5)^2-4 \cdot 2 \cdot (-3) = 25+24=49=7^2$. Корни: $x_{1,2} = \frac{5 \pm 7}{4}$, то есть $x_1=3, x_2=-1/2$. Следовательно, $2x^2-5x-3 = 2(x-3)(x+\frac{1}{2}) = (x-3)(2x+1)$.
Знаменатель: $1-4x^2 = (1-2x)(1+2x)$.

Подставим разложения в дробь и сократим (при $x \ne -1/2$):
$\frac{(x-3)(2x+1)}{(1-2x)(1+2x)} = \frac{x-3}{1-2x}$.

Это неправильная алгебраическая дробь. Выделим целую (полиномиальную) часть:
$\frac{x-3}{1-2x} = \frac{x-3}{-(2x-1)} = -\frac{x-3}{2x-1} = -\frac{\frac{1}{2}(2x-1) - \frac{5}{2}}{2x-1} = -(\frac{1}{2} - \frac{5/2}{2x-1}) = -\frac{1}{2} + \frac{5}{2(2x-1)}$.

Ответ: $-\frac{1}{2} + \frac{5}{2(2x-1)}$.

ж) $\frac{6x^2+x-7}{13-10x-3x^2}$

Перепишем знаменатель в стандартном виде: $-3x^2-10x+13$.
Разложим числитель и знаменатель на множители.
Числитель: $6x^2+x-7$. Корни уравнения $6x^2+x-7=0$: $D=1^2-4 \cdot 6 \cdot (-7)=169=13^2$. $x_{1,2} = \frac{-1 \pm 13}{12}$, то есть $x_1=1, x_2=-7/6$. Следовательно, $6x^2+x-7 = 6(x-1)(x+7/6) = (x-1)(6x+7)$.
Знаменатель: $-3x^2-10x+13$. Корни уравнения $-3x^2-10x+13=0$ (или $3x^2+10x-13=0$): $D=10^2-4 \cdot 3 \cdot (-13) = 256=16^2$. $x_{1,2} = \frac{-10 \pm 16}{6}$, то есть $x_1=1, x_2=-13/3$. Следовательно, $-3x^2-10x+13 = -3(x-1)(x+13/3) = -(x-1)(3x+13)$.

Подставим разложения в дробь и сократим (при $x \ne 1$):
$\frac{(x-1)(6x+7)}{-(x-1)(3x+13)} = -\frac{6x+7}{3x+13}$.

Это неправильная алгебраическая дробь. Выделим целую часть:
$-\frac{6x+7}{3x+13} = -\frac{2(3x+13)-26+7}{3x+13} = -\frac{2(3x+13)-19}{3x+13} = -(2 - \frac{19}{3x+13}) = -2 + \frac{19}{3x+13}$.

Ответ: $-2 + \frac{19}{3x+13}$.

з) $\frac{2a^2-5a+2}{ab-2b-3a+6}$

Разложим числитель и знаменатель на множители.
Числитель: $2a^2-5a+2$. Корни уравнения $2a^2-5a+2=0$: $D=(-5)^2-4 \cdot 2 \cdot 2=9=3^2$. $a_{1,2} = \frac{5 \pm 3}{4}$, то есть $a_1=2, a_2=1/2$. Следовательно, $2a^2-5a+2 = 2(a-2)(a-1/2) = (a-2)(2a-1)$.
Знаменатель: $ab-2b-3a+6$. Сгруппируем слагаемые: $(ab-2b)-(3a-6) = b(a-2)-3(a-2) = (a-2)(b-3)$.

Подставим разложения в дробь и сократим (при $a \ne 2$):
$\frac{(a-2)(2a-1)}{(a-2)(b-3)} = \frac{2a-1}{b-3}$.

Дальнейшее упрощение или выделение "целой части" в стандартном смысле невозможно, так как это выражение с двумя переменными.

Ответ: $\frac{2a-1}{b-3}$.

Помогло решение? Оставьте отзыв в комментариях ниже.

Присоединяйтесь к Телеграм-группе @gdz_by_belarus

Присоединиться

Мы подготовили для вас ответ c подробным объяснением домашего задания по алгебре за 9 класс, для упражнения номер 1.50 расположенного на странице 28 к учебнику 2019 года издания для учащихся школ и гимназий.

Теперь на нашем сайте ГДЗ.ТОП вы всегда легко и бесплатно найдёте условие с правильным ответом на вопрос «Как решить ДЗ» и «Как сделать» задание по алгебре к упражнению №1.50 (с. 28), авторов: Арефьева (Ирина Глебовна), Пирютко (Ольга Николаевна), учебного пособия издательства Народная асвета.