Номер 1.247, страница 69 - гдз по алгебре 9 класс учебник Арефьева, Пирютко

Алгебра, 9 класс Учебник, авторы: Арефьева Ирина Глебовна, Пирютко Ольга Николаевна, издательство Народная асвета, Минск, 2019, голубого цвета

Авторы: Арефьева И. Г., Пирютко О. Н.

Тип: Учебник

Издательство: Народная асвета

Год издания: 2019 - 2026

Цвет обложки: голубой, синий с графиком

ISBN: 978-985-03-3077-2

Допущено Министерством образования Республики Беларусь

Популярные ГДЗ в 9 классе

Глава 1. Рациональные выражения. Параграф 5. Преобразования рациональных выражений - номер 1.247, страница 69.

№1.247 (с. 69)
Условие. №1.247 (с. 69)
скриншот условия
Алгебра, 9 класс Учебник, авторы: Арефьева Ирина Глебовна, Пирютко Ольга Николаевна, издательство Народная асвета, Минск, 2019, голубого цвета, страница 69, номер 1.247, Условие

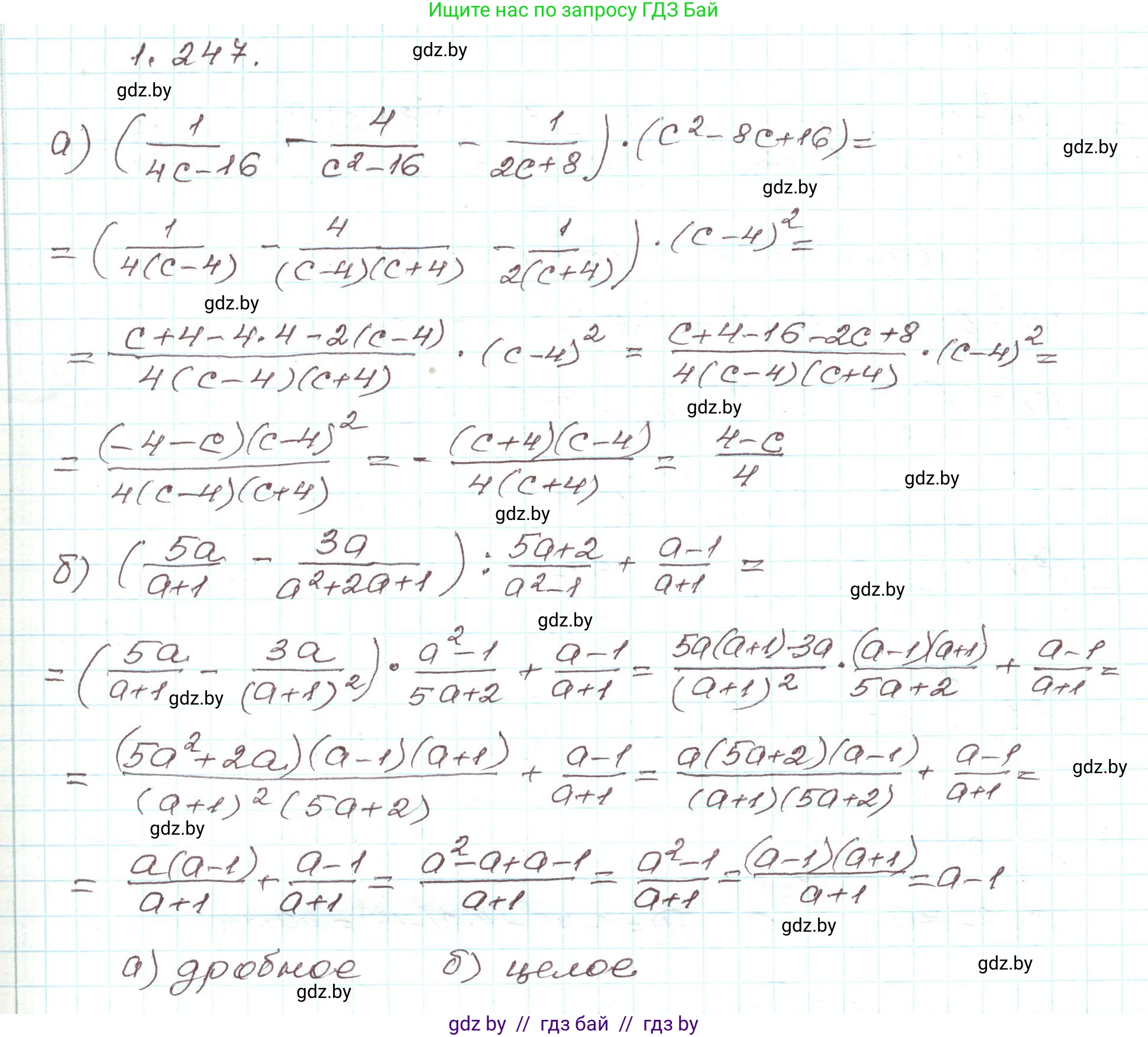
1.247. Выполните преобразование рационального выражения:

a) $(\frac{1}{4c-16} - \frac{4}{c^2-16} - \frac{1}{2c+8}) \cdot (c^2-8c+16);$

б) $(\frac{5a}{a+1} - \frac{3a}{a^2+2a+1}) : (\frac{5a+2}{a^2-1} + \frac{a-1}{a+1}).$

Целым или дробным выражением получился результат преобразований?

Решение. №1.247 (с. 69)
Алгебра, 9 класс Учебник, авторы: Арефьева Ирина Глебовна, Пирютко Ольга Николаевна, издательство Народная асвета, Минск, 2019, голубого цвета, страница 69, номер 1.247, Решение
Решение 2. №1.247 (с. 69)

а) Выполним преобразование рационального выражения по шагам:

  1. Разложим на множители знаменатели дробей в скобках и выражение во второй скобке, используя формулы сокращенного умножения:
    • $4c - 16 = 4(c - 4)$
    • $c^2 - 16 = (c - 4)(c + 4)$ (разность квадратов)
    • $2c + 8 = 2(c + 4)$
    • $c^2 - 8c + 16 = (c - 4)^2$ (квадрат разности)
    Исходное выражение примет вид:
    $\left(\frac{1}{4(c - 4)} - \frac{4}{(c - 4)(c + 4)} - \frac{1}{2(c + 4)}\right) \cdot (c - 4)^2$
  2. Приведем дроби в первых скобках к общему знаменателю $4(c - 4)(c + 4)$:
    $\left(\frac{1 \cdot (c+4)}{4(c - 4)(c + 4)} - \frac{4 \cdot 4}{4(c - 4)(c + 4)} - \frac{1 \cdot 2(c-4)}{4(c - 4)(c + 4)}\right) \cdot (c - 4)^2$
    $= \frac{c+4 - 16 - (2c-8)}{4(c - 4)(c + 4)} \cdot (c - 4)^2$
    $= \frac{c+4 - 16 - 2c + 8}{4(c - 4)(c + 4)} \cdot (c - 4)^2$
    $= \frac{-c - 4}{4(c - 4)(c + 4)} \cdot (c - 4)^2 = \frac{-(c + 4)}{4(c - 4)(c + 4)} \cdot (c - 4)^2$
  3. Сократим полученную дробь на $(c+4)$, а затем на $(c-4)$ и выполним умножение:
    $\frac{-1}{4(c - 4)} \cdot (c - 4)^2 = \frac{-(c - 4)}{4} = \frac{4 - c}{4}$
  4. Представим результат в виде разности, выделив целую часть:
    $\frac{4 - c}{4} = \frac{4}{4} - \frac{c}{4} = 1 - \frac{c}{4}$

Ответ: а) 1$ - \frac{c}{4}$. Результат является целым выражением, так как не содержит деления на переменную в знаменателе.


б) Выполним преобразование рационального выражения по шагам:

  1. Упростим выражение в первых скобках. Используем формулу квадрата суммы $a^2 + 2a + 1 = (a+1)^2$. Общий знаменатель будет $(a+1)^2$.
    $\frac{5a}{a + 1} - \frac{3a}{(a + 1)^2} = \frac{5a(a+1) - 3a}{(a+1)^2} = \frac{5a^2 + 5a - 3a}{(a+1)^2} = \frac{5a^2 + 2a}{(a+1)^2} = \frac{a(5a+2)}{(a+1)^2}$
  2. Упростим выражение во вторых скобках. Используем формулу разности квадратов $a^2 - 1 = (a-1)(a+1)$. Общий знаменатель будет $(a-1)(a+1)$.
    $\frac{5a + 2}{a^2 - 1} + \frac{a - 1}{a + 1} = \frac{5a + 2}{(a-1)(a+1)} + \frac{(a-1)(a-1)}{(a-1)(a+1)} = \frac{5a + 2 + a^2 - 2a + 1}{(a-1)(a+1)} = \frac{a^2 + 3a + 3}{(a-1)(a+1)}$
  3. Выполним деление, заменив его умножением на обратную дробь:
    $\frac{a(5a+2)}{(a+1)^2} : \frac{a^2 + 3a + 3}{(a-1)(a+1)} = \frac{a(5a+2)}{(a+1)^2} \cdot \frac{(a-1)(a+1)}{a^2 + 3a + 3}$
  4. Сократим дробь на общий множитель $(a+1)$:
    $\frac{a(5a+2)(a-1)}{(a+1)(a^2 + 3a + 3)}$
    Квадратный трехчлен $a^2 + 3a + 3$ не раскладывается на множители с действительными коэффициентами, так как его дискриминант $D = 3^2 - 4 \cdot 1 \cdot 3 = -3 < 0$.
  5. Полученное выражение является неправильной рациональной дробью, так как степень многочлена в числителе (3) равна степени многочлена в знаменателе (3). Выделим целую часть, выполнив деление многочлена на многочлен.
    Числитель: $a(5a+2)(a-1) = 5a^3 - 3a^2 - 2a$
    Знаменатель: $(a+1)(a^2+3a+3) = a^3 + 4a^2 + 6a + 3$
    При делении $\frac{5a^3 - 3a^2 - 2a}{a^3 + 4a^2 + 6a + 3}$ целая часть равна $5$, а остаток:
    $(5a^3 - 3a^2 - 2a) - 5(a^3 + 4a^2 + 6a + 3) = -23a^2 - 32a - 15$.
    Таким образом, выражение равно: $5 + \frac{-23a^2 - 32a - 15}{a^3 + 4a^2 + 6a + 3} = 5 - \frac{23a^2 + 32a + 15}{a^3 + 4a^2 + 6a + 3}$.

Ответ: б) 5$ - \frac{23a^2 + 32a + 15}{(a+1)(a^2 + 3a + 3)}$. Результат является дробным выражением, так как содержит переменную в знаменателе.

Помогло решение? Оставьте отзыв в комментариях ниже.

Присоединяйтесь к Телеграм-группе @gdz_by_belarus

Присоединиться

Мы подготовили для вас ответ c подробным объяснением домашего задания по алгебре за 9 класс, для упражнения номер 1.247 расположенного на странице 69 к учебнику 2019 года издания для учащихся школ и гимназий.

Теперь на нашем сайте ГДЗ.ТОП вы всегда легко и бесплатно найдёте условие с правильным ответом на вопрос «Как решить ДЗ» и «Как сделать» задание по алгебре к упражнению №1.247 (с. 69), авторов: Арефьева (Ирина Глебовна), Пирютко (Ольга Николаевна), учебного пособия издательства Народная асвета.