Номер 1.225, страница 66 - гдз по алгебре 9 класс учебник Арефьева, Пирютко

Алгебра, 9 класс Учебник, авторы: Арефьева Ирина Глебовна, Пирютко Ольга Николаевна, издательство Народная асвета, Минск, 2019, голубого цвета

Авторы: Арефьева И. Г., Пирютко О. Н.

Тип: Учебник

Издательство: Народная асвета

Год издания: 2019 - 2026

Цвет обложки: голубой, синий с графиком

ISBN: 978-985-03-3077-2

Допущено Министерством образования Республики Беларусь

Популярные ГДЗ в 9 классе

Глава 1. Рациональные выражения. Параграф 5. Преобразования рациональных выражений - номер 1.225, страница 66.

№1.225 (с. 66)
Условие. №1.225 (с. 66)
скриншот условия
Алгебра, 9 класс Учебник, авторы: Арефьева Ирина Глебовна, Пирютко Ольга Николаевна, издательство Народная асвета, Минск, 2019, голубого цвета, страница 66, номер 1.225, Условие

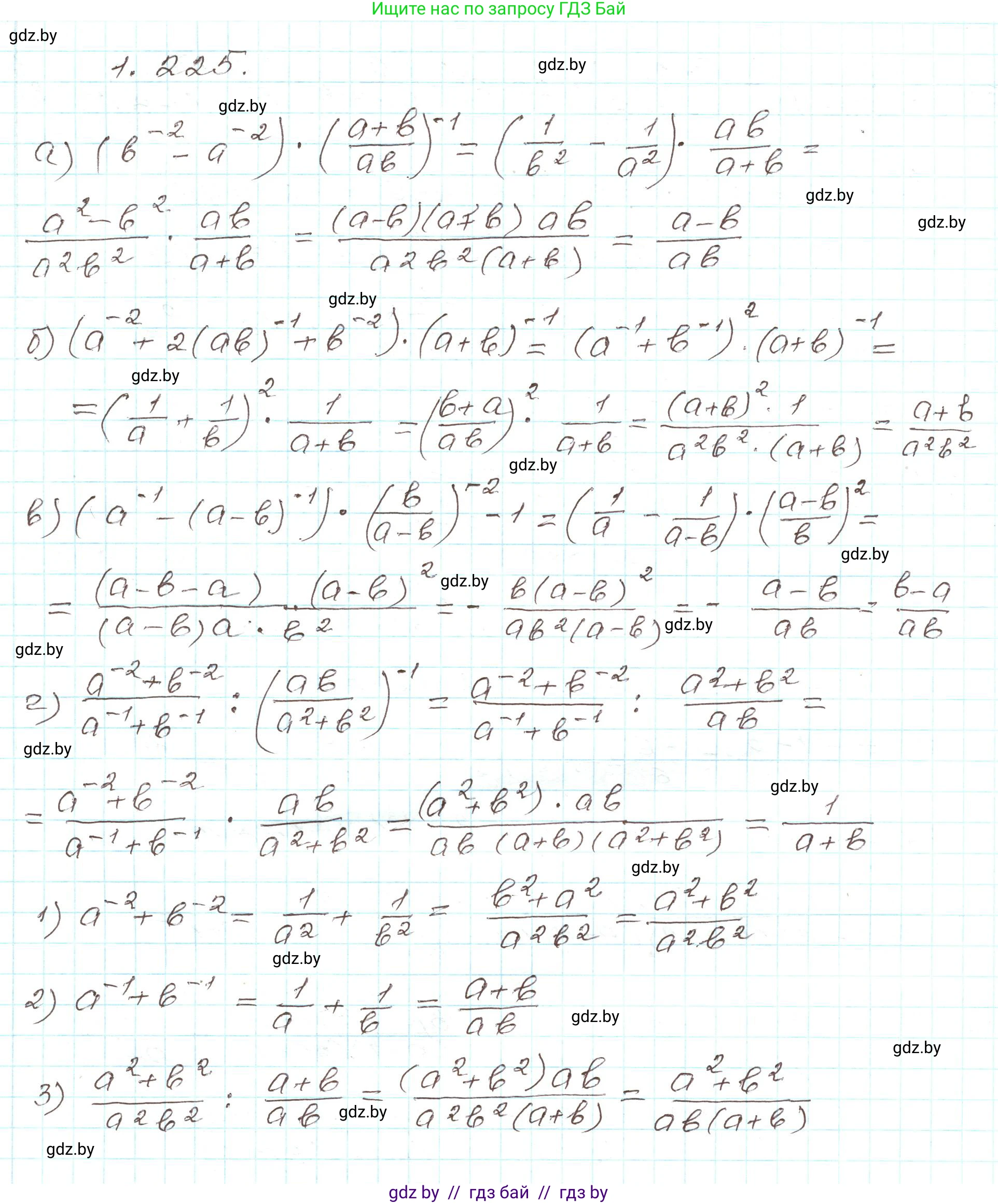
1.225. Используйте свойства степени с целым показателем и выполните действия:

а) $(b^{-2} - a^{-2}) \cdot \left(\frac{a+b}{ab}\right)^{-1};$

б) $(a^{-2} + 2(ab)^{-1} + b^{-2}) \cdot (a+b)^{-1};$

в) $(a^{-1} - (a-b)^{-1}) \cdot \left(\frac{b}{a-b}\right)^{-2} - 1;$

г) $\frac{a^{-2} + b^{-2}}{a^{-1} + b^{-1}} : \left(\frac{ab}{a^2 + b^2}\right)^{-1}.$

Решение. №1.225 (с. 66)
Алгебра, 9 класс Учебник, авторы: Арефьева Ирина Глебовна, Пирютко Ольга Николаевна, издательство Народная асвета, Минск, 2019, голубого цвета, страница 66, номер 1.225, Решение
Решение 2. №1.225 (с. 66)

а) $ (b^{-2} - a^{-2}) \cdot (\frac{a+b}{ab})^{-1} = (\frac{1}{b^2} - \frac{1}{a^2}) \cdot \frac{ab}{a+b} $
Приводим выражение в первой скобке к общему знаменателю $a^2b^2$:
$ (\frac{a^2}{a^2b^2} - \frac{b^2}{a^2b^2}) \cdot \frac{ab}{a+b} = \frac{a^2 - b^2}{a^2b^2} \cdot \frac{ab}{a+b} $
Раскладываем числитель по формуле разности квадратов $a^2 - b^2 = (a-b)(a+b)$:
$ \frac{(a-b)(a+b)}{a^2b^2} \cdot \frac{ab}{a+b} $
Сокращаем общие множители $(a+b)$ и $ab$:
$ \frac{(a-b)\cancel{(a+b)}}{\cancel{a^2b^2}_{ab}} \cdot \frac{\cancel{ab}}{\cancel{a+b}} = \frac{a-b}{ab} $
Ответ: $ \frac{a-b}{ab} $.

б) $ (a^{-2} + 2(ab)^{-1} + b^{-2}) \cdot (a+b)^{-1} = (\frac{1}{a^2} + \frac{2}{ab} + \frac{1}{b^2}) \cdot \frac{1}{a+b} $
Выражение в скобках является полным квадратом суммы: $ (\frac{1}{a})^2 + 2\frac{1}{a}\frac{1}{b} + (\frac{1}{b})^2 = (\frac{1}{a} + \frac{1}{b})^2 $.
$ (\frac{1}{a} + \frac{1}{b})^2 \cdot \frac{1}{a+b} = (\frac{b+a}{ab})^2 \cdot \frac{1}{a+b} = \frac{(a+b)^2}{(ab)^2} \cdot \frac{1}{a+b} $
Сокращаем общий множитель $(a+b)$:
$ \frac{(a+b)^{\cancel{2}}}{a^2b^2} \cdot \frac{1}{\cancel{a+b}} = \frac{a+b}{a^2b^2} $
Ответ: $ \frac{a+b}{a^2b^2} $.

в) $ (a^{-1} - (a-b)^{-1}) \cdot (\frac{b}{a-b})^{-2} - 1 = (\frac{1}{a} - \frac{1}{a-b}) \cdot (\frac{a-b}{b})^2 - 1 $
Приводим к общему знаменателю выражение в первой скобке:
$ (\frac{a-b}{a(a-b)} - \frac{a}{a(a-b)}) \cdot \frac{(a-b)^2}{b^2} - 1 = \frac{a-b-a}{a(a-b)} \cdot \frac{(a-b)^2}{b^2} - 1 = \frac{-b}{a(a-b)} \cdot \frac{(a-b)^2}{b^2} - 1 $
Сокращаем общие множители $b$ и $(a-b)$:
$ \frac{-\cancel{b}}{a\cancel{(a-b)}} \cdot \frac{(a-b)^{\cancel{2}}}{b^{\cancel{2}}_b} - 1 = \frac{-(a-b)}{ab} - 1 = \frac{b-a}{ab} - 1 $
Приводим к общему знаменателю $ab$:
$ \frac{b-a}{ab} - \frac{ab}{ab} = \frac{b-a-ab}{ab} $
Данная дробь является неправильной. Выделим целую часть:
$ \frac{-ab + b - a}{ab} = \frac{-ab}{ab} + \frac{b-a}{ab} = -1 + \frac{b-a}{ab} $
Ответ: $ -1 + \frac{b-a}{ab} $.

г) $ \frac{a^{-2} + b^{-2}}{a^{-1} + b^{-1}} : (\frac{ab}{a^2+b^2})^{-1} $
Сначала упростим делимое:
$ \frac{a^{-2} + b^{-2}}{a^{-1} + b^{-1}} = \frac{\frac{1}{a^2} + \frac{1}{b^2}}{\frac{1}{a} + \frac{1}{b}} = \frac{\frac{b^2+a^2}{a^2b^2}}{\frac{b+a}{ab}} = \frac{a^2+b^2}{a^2b^2} \cdot \frac{ab}{a+b} = \frac{a^2+b^2}{ab(a+b)} $
Теперь упростим делитель:
$ (\frac{ab}{a^2+b^2})^{-1} = \frac{a^2+b^2}{ab} $
Выполним деление:
$ \frac{a^2+b^2}{ab(a+b)} : \frac{a^2+b^2}{ab} = \frac{a^2+b^2}{ab(a+b)} \cdot \frac{ab}{a^2+b^2} $
Сокращаем общие множители $(a^2+b^2)$ и $ab$:
$ \frac{\cancel{a^2+b^2}}{\cancel{ab}(a+b)} \cdot \frac{\cancel{ab}}{\cancel{a^2+b^2}} = \frac{1}{a+b} $
Ответ: $ \frac{1}{a+b} $.

Помогло решение? Оставьте отзыв в комментариях ниже.

Присоединяйтесь к Телеграм-группе @gdz_by_belarus

Присоединиться

Мы подготовили для вас ответ c подробным объяснением домашего задания по алгебре за 9 класс, для упражнения номер 1.225 расположенного на странице 66 к учебнику 2019 года издания для учащихся школ и гимназий.

Теперь на нашем сайте ГДЗ.ТОП вы всегда легко и бесплатно найдёте условие с правильным ответом на вопрос «Как решить ДЗ» и «Как сделать» задание по алгебре к упражнению №1.225 (с. 66), авторов: Арефьева (Ирина Глебовна), Пирютко (Ольга Николаевна), учебного пособия издательства Народная асвета.