Номер 1.203, страница 57 - гдз по алгебре 9 класс учебник Арефьева, Пирютко

Алгебра, 9 класс Учебник, авторы: Арефьева Ирина Глебовна, Пирютко Ольга Николаевна, издательство Народная асвета, Минск, 2019, голубого цвета

Авторы: Арефьева И. Г., Пирютко О. Н.

Тип: Учебник

Издательство: Народная асвета

Год издания: 2019 - 2026

Цвет обложки: голубой, синий с графиком

ISBN: 978-985-03-3077-2

Допущено Министерством образования Республики Беларусь

Популярные ГДЗ в 9 классе

Глава 1. Рациональные выражения. Параграф 4. Умножение и деление рациональных дробей - номер 1.203, страница 57.

№1.203 (с. 57)
Условие. №1.203 (с. 57)
скриншот условия
Алгебра, 9 класс Учебник, авторы: Арефьева Ирина Глебовна, Пирютко Ольга Николаевна, издательство Народная асвета, Минск, 2019, голубого цвета, страница 57, номер 1.203, Условие

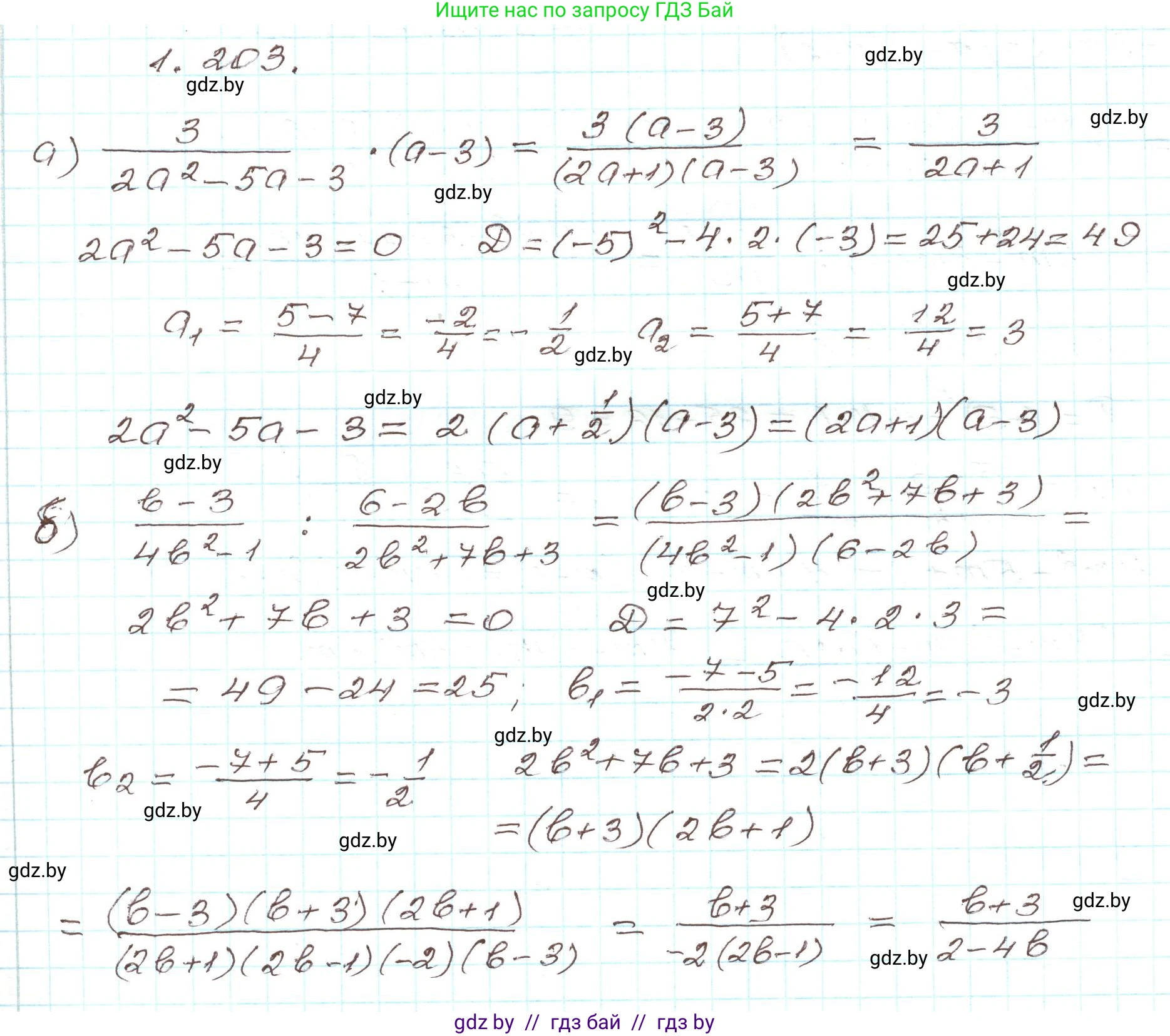
1.203. Выполните действия:

а) $\frac{3}{2a^2 - 5a - 3} \cdot (a - 3);$

б) $\frac{b - 3}{4b^2 - 1} : \frac{6 - 2b}{2b^2 + 7b + 3};$

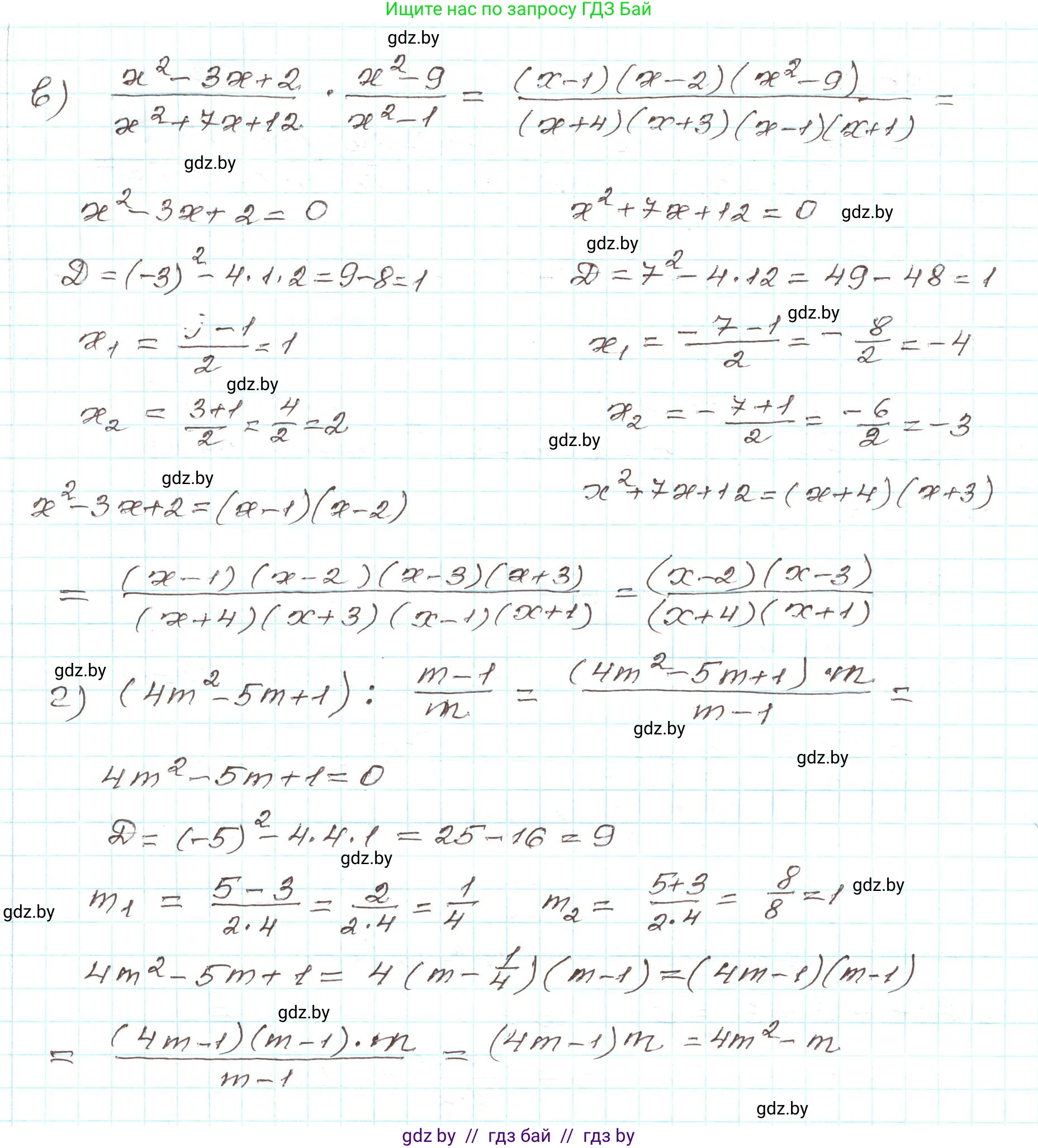
В) $\frac{x^2 - 3x + 2}{x^2 + 7x + 12} \cdot \frac{x^2 - 9}{x^2 - 1};$

Г) $(4m^2 - 5m + 1) : \frac{m - 1}{m}.$

Решение. №1.203 (с. 57)
Алгебра, 9 класс Учебник, авторы: Арефьева Ирина Глебовна, Пирютко Ольга Николаевна, издательство Народная асвета, Минск, 2019, голубого цвета, страница 57, номер 1.203, Решение Алгебра, 9 класс Учебник, авторы: Арефьева Ирина Глебовна, Пирютко Ольга Николаевна, издательство Народная асвета, Минск, 2019, голубого цвета, страница 57, номер 1.203, Решение (продолжение 2)
Решение 2. №1.203 (с. 57)

а) $\frac{3}{2a^2-5a-3} \cdot (a-3)$

Для начала, разложим на множители знаменатель дроби, квадратный трехчлен $2a^2-5a-3$. Для этого решим квадратное уравнение $2a^2-5a-3=0$.

Дискриминант $D = b^2 - 4ac = (-5)^2 - 4 \cdot 2 \cdot (-3) = 25 + 24 = 49 = 7^2$.

Корни уравнения: $a_1 = \frac{-b + \sqrt{D}}{2a} = \frac{5 + 7}{2 \cdot 2} = \frac{12}{4} = 3$. $a_2 = \frac{-b - \sqrt{D}}{2a} = \frac{5 - 7}{2 \cdot 2} = \frac{-2}{4} = -\frac{1}{2}$.

Следовательно, разложение на множители имеет вид: $2a^2-5a-3 = 2(a-3)(a-(-\frac{1}{2})) = 2(a-3)(a+\frac{1}{2}) = (a-3)(2a+1)$.

Теперь подставим разложенный знаменатель в исходное выражение: $\frac{3}{(a-3)(2a+1)} \cdot (a-3) = \frac{3 \cdot (a-3)}{(a-3)(2a+1)}$.

Сократим общий множитель $(a-3)$ в числителе и знаменателе (при условии, что $a \neq 3$): $\frac{3}{2a+1}$.

Ответ: $\frac{3}{2a+1}$

б) $\frac{b-3}{4b^2-1} : \frac{6-2b}{2b^2+7b+3}$

Заменим деление на умножение на обратную дробь: $\frac{b-3}{4b^2-1} \cdot \frac{2b^2+7b+3}{6-2b}$.

Разложим на множители числители и знаменатели дробей.

  • $4b^2-1$ — это разность квадратов: $(2b)^2 - 1^2 = (2b-1)(2b+1)$.
  • $6-2b$ — вынесем общий множитель: $2(3-b) = -2(b-3)$.
  • $2b^2+7b+3$ — решим уравнение $2b^2+7b+3=0$.
    $D = 7^2 - 4 \cdot 2 \cdot 3 = 49 - 24 = 25 = 5^2$.
    $b_1 = \frac{-7+5}{4} = -\frac{2}{4} = -\frac{1}{2}$.
    $b_2 = \frac{-7-5}{4} = -\frac{12}{4} = -3$.
    Разложение: $2(b-(-\frac{1}{2}))(b-(-3)) = 2(b+\frac{1}{2})(b+3) = (2b+1)(b+3)$.

Подставим разложения в выражение: $\frac{b-3}{(2b-1)(2b+1)} \cdot \frac{(2b+1)(b+3)}{-2(b-3)}$.

Сократим общие множители $(b-3)$ и $(2b+1)$ (при $b \neq 3$ и $b \neq -1/2$): $\frac{1}{2b-1} \cdot \frac{b+3}{-2} = -\frac{b+3}{2(2b-1)} = \frac{b+3}{2-4b}$.

Полученная дробь $\frac{b+3}{2-4b}$ является неправильной, так как степень числителя (1) равна степени знаменателя (1). Выделим целую часть с помощью деления многочлена на многочлен: $\frac{b+3}{-4b+2} = -\frac{1}{4} + \frac{7/2}{-4b+2} = -\frac{1}{4} + \frac{7}{2(-4b+2)} = -\frac{1}{4} - \frac{7}{4(2b-1)}$.

Ответ: $-\frac{1}{4} - \frac{7}{4(2b-1)}$

в) $\frac{x^2-3x+2}{x^2+7x+12} \cdot \frac{x^2-9}{x^2-1}$

Разложим на множители все числители и знаменатели.

  • $x^2-3x+2$: по теореме Виета, корни $x_1=1, x_2=2$. Разложение: $(x-1)(x-2)$.
  • $x^2+7x+12$: по теореме Виета, корни $x_1=-3, x_2=-4$. Разложение: $(x+3)(x+4)$.
  • $x^2-9$: разность квадратов, $(x-3)(x+3)$.
  • $x^2-1$: разность квадратов, $(x-1)(x+1)$.

Подставим разложения в исходное выражение: $\frac{(x-1)(x-2)}{(x+3)(x+4)} \cdot \frac{(x-3)(x+3)}{(x-1)(x+1)}$.

Сократим общие множители $(x-1)$ и $(x+3)$ (при $x \neq 1$ и $x \neq -3$): $\frac{x-2}{x+4} \cdot \frac{x-3}{x+1} = \frac{(x-2)(x-3)}{(x+4)(x+1)} = \frac{x^2-5x+6}{x^2+5x+4}$.

Дробь является неправильной, так как степени числителя и знаменателя равны. Выделим целую часть: $\frac{x^2-5x+6}{x^2+5x+4} = \frac{(x^2+5x+4) - 10x + 2}{x^2+5x+4} = 1 + \frac{2-10x}{x^2+5x+4} = 1 - \frac{10x-2}{(x+1)(x+4)}$.

Ответ: $1 - \frac{10x-2}{(x+4)(x+1)}$

г) $(4m^2-5m+1) : \frac{m-1}{m}$

Заменим деление на умножение на обратную дробь: $(4m^2-5m+1) \cdot \frac{m}{m-1}$.

Разложим на множители квадратный трехчлен $4m^2-5m+1$. Решим уравнение $4m^2-5m+1=0$. $D = (-5)^2 - 4 \cdot 4 \cdot 1 = 25-16=9=3^2$.

$m_1 = \frac{5+3}{8} = 1$. $m_2 = \frac{5-3}{8} = \frac{2}{8} = \frac{1}{4}$. Разложение: $4(m-1)(m-\frac{1}{4}) = (m-1)(4m-1)$.

Подставим разложение в выражение: $(m-1)(4m-1) \cdot \frac{m}{m-1}$.

Сократим общий множитель $(m-1)$ (при $m \neq 1$): $(4m-1) \cdot m = 4m^2-m$.

Результат является многочленом, что эквивалентно неправильной дроби, у которой целая часть равна самому многочлену.

Ответ: $4m^2-m$

Помогло решение? Оставьте отзыв в комментариях ниже.

Присоединяйтесь к Телеграм-группе @gdz_by_belarus

Присоединиться

Мы подготовили для вас ответ c подробным объяснением домашего задания по алгебре за 9 класс, для упражнения номер 1.203 расположенного на странице 57 к учебнику 2019 года издания для учащихся школ и гимназий.

Теперь на нашем сайте ГДЗ.ТОП вы всегда легко и бесплатно найдёте условие с правильным ответом на вопрос «Как решить ДЗ» и «Как сделать» задание по алгебре к упражнению №1.203 (с. 57), авторов: Арефьева (Ирина Глебовна), Пирютко (Ольга Николаевна), учебного пособия издательства Народная асвета.