Номер 1.107, страница 40 - гдз по алгебре 9 класс учебник Арефьева, Пирютко

Алгебра, 9 класс Учебник, авторы: Арефьева Ирина Глебовна, Пирютко Ольга Николаевна, издательство Народная асвета, Минск, 2019, голубого цвета

Авторы: Арефьева И. Г., Пирютко О. Н.

Тип: Учебник

Издательство: Народная асвета

Год издания: 2019 - 2026

Цвет обложки: голубой, синий с графиком

ISBN: 978-985-03-3077-2

Допущено Министерством образования Республики Беларусь

Популярные ГДЗ в 9 классе

Глава 1. Рациональные выражения. Параграф 3. Сложение и вычитание рациональных дробей - номер 1.107, страница 40.

№1.107 (с. 40)
Условие. №1.107 (с. 40)
скриншот условия
Алгебра, 9 класс Учебник, авторы: Арефьева Ирина Глебовна, Пирютко Ольга Николаевна, издательство Народная асвета, Минск, 2019, голубого цвета, страница 40, номер 1.107, Условие

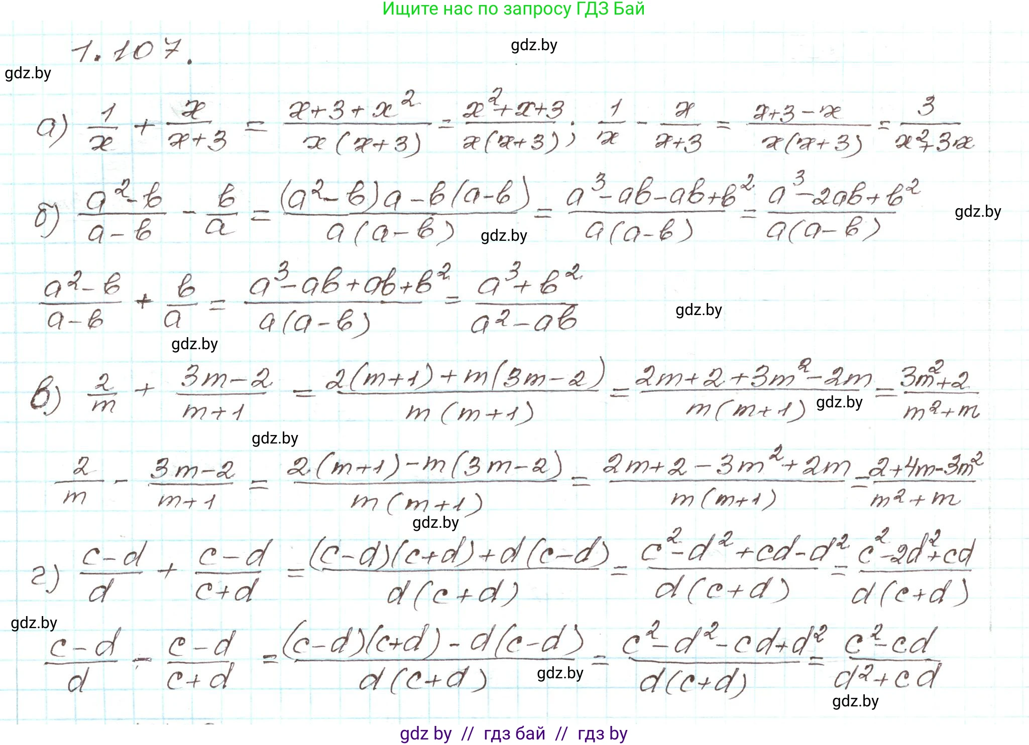
1.107. Найдите сумму и разность дробей:

а) $\frac{1}{x}$ и $\frac{x}{x+3}$;

б) $\frac{a^2 - b}{a - b}$ и $\frac{b}{a}$;

в) $\frac{2}{m}$ и $\frac{3m - 2}{m + 1}$;

г) $\frac{c - d}{d}$ и $\frac{c - d}{c + d}$.

Решение. №1.107 (с. 40)
Алгебра, 9 класс Учебник, авторы: Арефьева Ирина Глебовна, Пирютко Ольга Николаевна, издательство Народная асвета, Минск, 2019, голубого цвета, страница 40, номер 1.107, Решение
Решение 2. №1.107 (с. 40)

а) Сумма:
$\frac{1}{x} + \frac{x}{x+3} = \frac{1 \cdot (x+3) + x \cdot x}{x(x+3)} = \frac{x^2+x+3}{x(x+3)} = \frac{x^2+x+3}{x^2+3x}$.
Дробь является неправильной (степени числителя и знаменателя равны). Выделим целую часть:
$\frac{x^2+x+3}{x^2+3x} = \frac{(x^2+3x) - 2x + 3}{x^2+3x} = 1 + \frac{3-2x}{x^2+3x} = 1 + \frac{3-2x}{x(x+3)}$.
Ответ: 1$+\frac{3-2x}{x(x+3)}$.

Разность:
$\frac{1}{x} - \frac{x}{x+3} = \frac{1 \cdot (x+3) - x \cdot x}{x(x+3)} = \frac{x+3-x^2}{x(x+3)} = \frac{-x^2+x+3}{x^2+3x}$.
Дробь является неправильной. Выделим целую часть:
$\frac{-x^2+x+3}{x^2+3x} = \frac{-(x^2+3x) + 4x + 3}{x^2+3x} = -1 + \frac{4x+3}{x^2+3x} = -1 + \frac{4x+3}{x(x+3)}$.
Ответ: -1$+\frac{4x+3}{x(x+3)}$.

б) Сумма:
$\frac{a^2-b}{a-b} + \frac{b}{a} = \frac{a(a^2-b) + b(a-b)}{a(a-b)} = \frac{a^3-ab+ab-b^2}{a(a-b)} = \frac{a^3-b^2}{a^2-ab}$.
Дробь является неправильной по переменной $a$ (степень числителя 3, знаменателя 2). Выделим целую часть:
$\frac{a^3-b^2}{a^2-ab} = a+b+\frac{ab^2-b^2}{a^2-ab} = a+b+\frac{b^2(a-1)}{a(a-b)}$.
Ответ: $a+b$$+\frac{b^2(a-1)}{a(a-b)}$.

Разность:
$\frac{a^2-b}{a-b} - \frac{b}{a} = \frac{a(a^2-b) - b(a-b)}{a(a-b)} = \frac{a^3-ab-(ab-b^2)}{a(a-b)} = \frac{a^3-2ab+b^2}{a^2-ab}$.
Дробь является неправильной по переменной $a$. Выделим целую часть:
$\frac{a^3-2ab+b^2}{a^2-ab} = a+b+\frac{ab^2-2ab+b^2}{a^2-ab} = a+b+\frac{b(ab-2a+b)}{a(a-b)}$.
Ответ: $a+b$$+\frac{b(ab-2a+b)}{a(a-b)}$.

в) Сумма:
$\frac{2}{m} + \frac{3m-2}{m+1} = \frac{2(m+1) + m(3m-2)}{m(m+1)} = \frac{2m+2+3m^2-2m}{m(m+1)} = \frac{3m^2+2}{m^2+m}$.
Дробь является неправильной. Выделим целую часть:
$\frac{3m^2+2}{m^2+m} = \frac{3(m^2+m) - 3m + 2}{m^2+m} = 3 + \frac{2-3m}{m(m+1)}$.
Ответ: 3$+\frac{2-3m}{m(m+1)}$.

Разность:
$\frac{2}{m} - \frac{3m-2}{m+1} = \frac{2(m+1) - m(3m-2)}{m(m+1)} = \frac{2m+2-3m^2+2m}{m(m+1)} = \frac{-3m^2+4m+2}{m^2+m}$.
Дробь является неправильной. Выделим целую часть:
$\frac{-3m^2+4m+2}{m^2+m} = \frac{-3(m^2+m) + 7m + 2}{m^2+m} = -3 + \frac{7m+2}{m(m+1)}$.
Ответ: -3$+\frac{7m+2}{m(m+1)}$.

г) Сумма:
$\frac{c-d}{d} + \frac{c-d}{c+d} = \frac{(c-d)(c+d) + d(c-d)}{d(c+d)} = \frac{c^2-d^2+cd-d^2}{d(c+d)} = \frac{c^2+cd-2d^2}{cd+d^2}$.
Дробь является неправильной по переменной $d$ (степени числителя и знаменателя равны 2). Выделим целую часть:
$\frac{-2d^2+cd+c^2}{d^2+cd} = \frac{-2(d^2+cd) + 3cd+c^2}{d^2+cd} = -2 + \frac{c(3d+c)}{d(c+d)}$.
Ответ: -2$+\frac{c(c+3d)}{d(c+d)}$.

Разность:
$\frac{c-d}{d} - \frac{c-d}{c+d} = \frac{(c-d)(c+d) - d(c-d)}{d(c+d)} = \frac{c^2-d^2-cd+d^2}{d(c+d)} = \frac{c^2-cd}{cd+d^2}$.
Дробь является правильной по переменной $d$ (степень числителя 1, знаменателя 2), поэтому ее целая часть равна нулю.
Ответ: 0$+\frac{c(c-d)}{d(c+d)}$.

Помогло решение? Оставьте отзыв в комментариях ниже.

Присоединяйтесь к Телеграм-группе @gdz_by_belarus

Присоединиться

Мы подготовили для вас ответ c подробным объяснением домашего задания по алгебре за 9 класс, для упражнения номер 1.107 расположенного на странице 40 к учебнику 2019 года издания для учащихся школ и гимназий.

Теперь на нашем сайте ГДЗ.ТОП вы всегда легко и бесплатно найдёте условие с правильным ответом на вопрос «Как решить ДЗ» и «Как сделать» задание по алгебре к упражнению №1.107 (с. 40), авторов: Арефьева (Ирина Глебовна), Пирютко (Ольга Николаевна), учебного пособия издательства Народная асвета.