Номер 24, страница 8 - гдз по алгебре 9 класс учебник Арефьева, Пирютко

Алгебра, 9 класс Учебник, авторы: Арефьева Ирина Глебовна, Пирютко Ольга Николаевна, издательство Народная асвета, Минск, 2019, голубого цвета

Авторы: Арефьева И. Г., Пирютко О. Н.

Тип: Учебник

Издательство: Народная асвета

Год издания: 2019 - 2026

Цвет обложки: голубой, синий с графиком

ISBN: 978-985-03-3077-2

Допущено Министерством образования Республики Беларусь

Популярные ГДЗ в 9 классе

Повторение курса алгебры 7—8-х классов - номер 24, страница 8.

№24 (с. 8)
Условие. №24 (с. 8)
скриншот условия
Алгебра, 9 класс Учебник, авторы: Арефьева Ирина Глебовна, Пирютко Ольга Николаевна, издательство Народная асвета, Минск, 2019, голубого цвета, страница 8, номер 24, Условие

24. Воспользуйтесь формулой корней квадратного уравнения и решите уравнение:

а) $x^2 - 8x - 20 = 0;$

б) $3x^2 + 4x + 1 = 0;$

в) $9x^2 - 6x + 1 = 0;$

г) $7x^2 - 2x + 1 = 0;$

д) $5x^2 + x - 2 = 0.$

Квадратное уравнение

$ax^2 + bx + c = 0$

$D = b^2 - 4ac$

Если $D > 0$, то

$x_1 = \frac{-b - \sqrt{D}}{2a}$, $x_2 = \frac{-b + \sqrt{D}}{2a}$.

Решение. №24 (с. 8)
Алгебра, 9 класс Учебник, авторы: Арефьева Ирина Глебовна, Пирютко Ольга Николаевна, издательство Народная асвета, Минск, 2019, голубого цвета, страница 8, номер 24, Решение
Решение 2. №24 (с. 8)

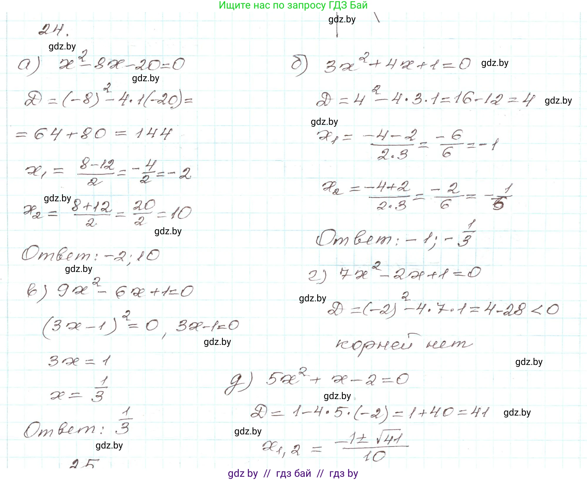
а) Для уравнения $x^2 - 8x - 20 = 0$ коэффициенты равны: $a = 1$, $b = -8$, $c = -20$.
Найдем дискриминант по формуле $D = b^2 - 4ac$:
$D = (-8)^2 - 4 \cdot 1 \cdot (-20) = 64 + 80 = 144$.
Так как $D > 0$, уравнение имеет два корня. Корень из дискриминанта: $\sqrt{D} = \sqrt{144} = 12$.
Найдем корни по формуле $x_{1,2} = \frac{-b \pm \sqrt{D}}{2a}$:
$x_1 = \frac{-(-8) - 12}{2 \cdot 1} = \frac{8 - 12}{2} = \frac{-4}{2} = -2$.
$x_2 = \frac{-(-8) + 12}{2 \cdot 1} = \frac{8 + 12}{2} = \frac{20}{2} = 10$.
Ответ: -2; 10.

б) Для уравнения $3x^2 + 4x + 1 = 0$ коэффициенты равны: $a = 3$, $b = 4$, $c = 1$.
Найдем дискриминант:
$D = 4^2 - 4 \cdot 3 \cdot 1 = 16 - 12 = 4$.
Так как $D > 0$, уравнение имеет два корня. Корень из дискриминанта: $\sqrt{D} = \sqrt{4} = 2$.
Найдем корни:
$x_1 = \frac{-4 - 2}{2 \cdot 3} = \frac{-6}{6} = -1$.
$x_2 = \frac{-4 + 2}{2 \cdot 3} = \frac{-2}{6} = -\frac{1}{3}$.
Ответ: -1; $-\frac{1}{3}$.

в) Для уравнения $9x^2 - 6x + 1 = 0$ коэффициенты равны: $a = 9$, $b = -6$, $c = 1$.
Данное уравнение является полным квадратом: $(3x-1)^2 = 0$. Однако, решим его по общей формуле.
Найдем дискриминант:
$D = (-6)^2 - 4 \cdot 9 \cdot 1 = 36 - 36 = 0$.
Так как $D = 0$, уравнение имеет один корень.
Найдем корень по формуле $x = \frac{-b}{2a}$:
$x = \frac{-(-6)}{2 \cdot 9} = \frac{6}{18} = \frac{1}{3}$.
Ответ: $\frac{1}{3}$.

г) Для уравнения $7x^2 - 2x + 1 = 0$ коэффициенты равны: $a = 7$, $b = -2$, $c = 1$.
Найдем дискриминант:
$D = (-2)^2 - 4 \cdot 7 \cdot 1 = 4 - 28 = -24$.
Так как $D < 0$, уравнение не имеет действительных корней.
Ответ: нет действительных корней.

д) Для уравнения $5x^2 + x - 2 = 0$ коэффициенты равны: $a = 5$, $b = 1$, $c = -2$.
Найдем дискриминант:
$D = 1^2 - 4 \cdot 5 \cdot (-2) = 1 + 40 = 41$.
Так как $D > 0$, уравнение имеет два корня. Корень из дискриминанта: $\sqrt{D} = \sqrt{41}$.
Найдем корни:
$x_1 = \frac{-1 - \sqrt{41}}{2 \cdot 5} = \frac{-1 - \sqrt{41}}{10}$.
$x_2 = \frac{-1 + \sqrt{41}}{2 \cdot 5} = \frac{-1 + \sqrt{41}}{10}$.
Ответ: $\frac{-1 - \sqrt{41}}{10}$; $\frac{-1 + \sqrt{41}}{10}$.

Помогло решение? Оставьте отзыв в комментариях ниже.

Присоединяйтесь к Телеграм-группе @gdz_by_belarus

Присоединиться

Мы подготовили для вас ответ c подробным объяснением домашего задания по алгебре за 9 класс, для упражнения номер 24 расположенного на странице 8 к учебнику 2019 года издания для учащихся школ и гимназий.

Теперь на нашем сайте ГДЗ.ТОП вы всегда легко и бесплатно найдёте условие с правильным ответом на вопрос «Как решить ДЗ» и «Как сделать» задание по алгебре к упражнению №24 (с. 8), авторов: Арефьева (Ирина Глебовна), Пирютко (Ольга Николаевна), учебного пособия издательства Народная асвета.