Номер 385, страница 181 - гдз по геометрии 8 класс учебник Казаков, Казакова

Геометрия, 8 класс Учебник, авторы: Казаков Валерий Владимирович, Казакова Ольга Олеговна, издательство Адукацыя i выхаванне, Минск, 2024, оранжевого цвета

Авторы: Казаков В. В., Казакова О. О.

Тип: Учебник

Издательство: Адукацыя i выхаванне

Год издания: 2024 - 2026

Цвет обложки: оранжевый

Допущено Министерством образования Республики Беларусь

Популярные ГДЗ в 8 классе

Глава 4. Окружность. Параграф 27. Центральный и вписанный углы - номер 385, страница 181.

№385 (с. 181)
Условие. №385 (с. 181)
скриншот условия
Геометрия, 8 класс Учебник, авторы: Казаков Валерий Владимирович, Казакова Ольга Олеговна, издательство Адукацыя i выхаванне, Минск, 2024, оранжевого цвета, страница 181, номер 385, Условие

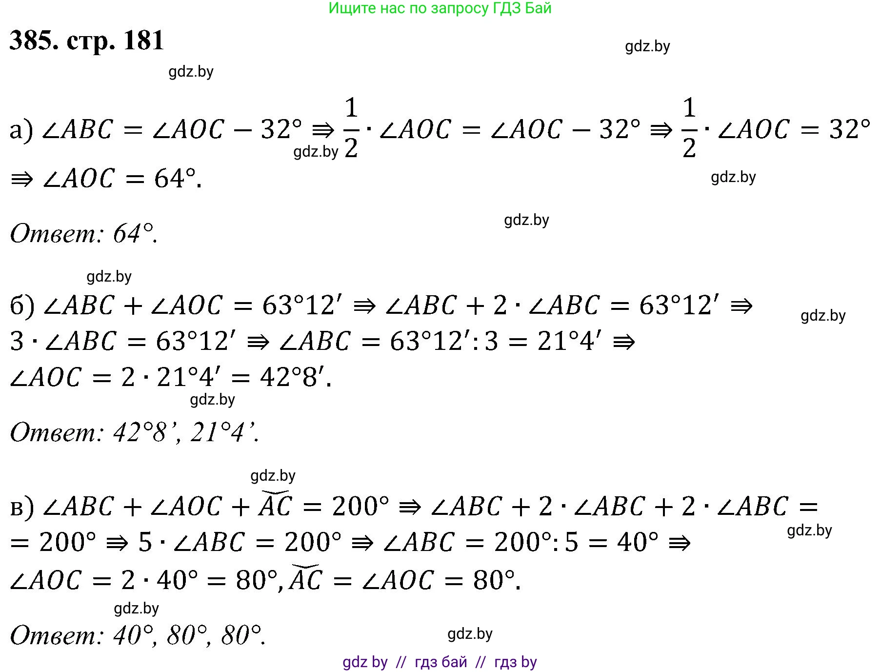
385. а) Вписанный угол $ABC$ на $32^{\circ}$ меньше соответствующего центрального угла $AOC$. Найдите центральный угол $AOC$.

б) Центральный и соответствующий ему вписанный угол вместе составляют $63^{\circ}12'$. Найдите эти углы.

в) Вписанный угол, соответствующий ему центральный угол и дуга, на которую эти углы опираются, вместе составляют $200^{\circ}$. Найдите градусные меры этих углов и дуги.

Решение. №385 (с. 181)
Геометрия, 8 класс Учебник, авторы: Казаков Валерий Владимирович, Казакова Ольга Олеговна, издательство Адукацыя i выхаванне, Минск, 2024, оранжевого цвета, страница 181, номер 385, Решение
Решение 2. №385 (с. 181)
Геометрия, 8 класс Учебник, авторы: Казаков Валерий Владимирович, Казакова Ольга Олеговна, издательство Адукацыя i выхаванне, Минск, 2024, оранжевого цвета, страница 181, номер 385, Решение 2
Решение 3. №385 (с. 181)

а) Пусть градусная мера центрального угла $∠AOC$ равна $x$. По свойству вписанного угла, он равен половине центрального угла, опирающегося на ту же дугу. Значит, вписанный угол $∠ABC = \frac{1}{2}∠AOC = \frac{x}{2}$.
По условию задачи, вписанный угол на $32^\circ$ меньше центрального, что можно записать в виде уравнения:
$∠AOC - ∠ABC = 32^\circ$
Подставим известные нам выражения для углов:
$x - \frac{x}{2} = 32^\circ$
$\frac{1}{2}x = 32^\circ$
$x = 32^\circ \cdot 2 = 64^\circ$
Таким образом, центральный угол $∠AOC$ равен $64^\circ$.
Ответ: $64^\circ$.

б) Пусть градусная мера центрального угла равна $x$, а соответствующего ему вписанного угла — $y$. Мы знаем, что вписанный угол равен половине центрального угла, который опирается на ту же дугу, то есть $y = \frac{1}{2}x$.
По условию задачи, сумма этих углов составляет $63^\circ12'$:
$x + y = 63^\circ12'$
Заменим $y$ в этом уравнении, используя соотношение между углами:
$x + \frac{1}{2}x = 63^\circ12'$
$\frac{3}{2}x = 63^\circ12'$
Чтобы найти $x$, умножим обе части на $\frac{2}{3}$:
$x = \frac{2}{3}(63^\circ12') = \frac{2}{3} \cdot 63^\circ + \frac{2}{3} \cdot 12' = 42^\circ + 8' = 42^\circ8'$.
Теперь найдем вписанный угол $y$:
$y = \frac{1}{2}x = \frac{1}{2}(42^\circ8') = 21^\circ4'$.
Ответ: центральный угол равен $42^\circ8'$, вписанный угол равен $21^\circ4'$.

в) Пусть градусная мера вписанного угла равна $x$.
Тогда соответствующий ему центральный угол, опирающийся на ту же дугу, в два раза больше, то есть его мера равна $2x$.
Градусная мера дуги, на которую опираются эти углы, равна градусной мере центрального угла, то есть также $2x$.
По условию, сумма вписанного угла, центрального угла и дуги составляет $200^\circ$. Составим уравнение:
$x + 2x + 2x = 200^\circ$
$5x = 200^\circ$
$x = \frac{200^\circ}{5} = 40^\circ$
Итак, мы нашли градусные меры:
Вписанный угол: $x = 40^\circ$.
Центральный угол: $2x = 2 \cdot 40^\circ = 80^\circ$.
Дуга: $2x = 80^\circ$.
Ответ: вписанный угол равен $40^\circ$, центральный угол равен $80^\circ$, дуга равна $80^\circ$.

Помогло решение? Оставьте отзыв в комментариях ниже.

Присоединяйтесь к Телеграм-группе @gdz_by_belarus

Присоединиться

Мы подготовили для вас ответ c подробным объяснением домашего задания по геометрии за 8 класс, для упражнения номер 385 расположенного на странице 181 к учебнику 2024 года издания для учащихся школ и гимназий.

Теперь на нашем сайте ГДЗ.ТОП вы всегда легко и бесплатно найдёте условие с правильным ответом на вопрос «Как решить ДЗ» и «Как сделать» задание по геометрии к упражнению №385 (с. 181), авторов: Казаков (Валерий Владимирович), Казакова (Ольга Олеговна), учебного пособия издательства Адукацыя i выхаванне.