Номер 37, страница 27 - гдз по геометрии 8 класс учебник Казаков, Казакова

Геометрия, 8 класс Учебник, авторы: Казаков Валерий Владимирович, Казакова Ольга Олеговна, издательство Адукацыя i выхаванне, Минск, 2024, оранжевого цвета

Авторы: Казаков В. В., Казакова О. О.

Тип: Учебник

Издательство: Адукацыя i выхаванне

Год издания: 2024 - 2026

Цвет обложки: оранжевый

Допущено Министерством образования Республики Беларусь

Популярные ГДЗ в 8 классе

Глава 1. Четырехугольники. Параграф 3. Признаки параллелограмма - номер 37, страница 27.

№37 (с. 27)
Условие. №37 (с. 27)
скриншот условия
Геометрия, 8 класс Учебник, авторы: Казаков Валерий Владимирович, Казакова Ольга Олеговна, издательство Адукацыя i выхаванне, Минск, 2024, оранжевого цвета, страница 27, номер 37, Условие

37. Используя данные на рисунках 35, а)—в), ответьте на следующие вопросы:

а) Почему на рисунке 35, а) $AD \parallel BC$?

б) Почему на рисунке 35, б) $\angle A = \angle C$?

в) Почему на рисунке 35, в) $\angle ADC + \angle DCB = 180^{\circ}$?

Рис. 35

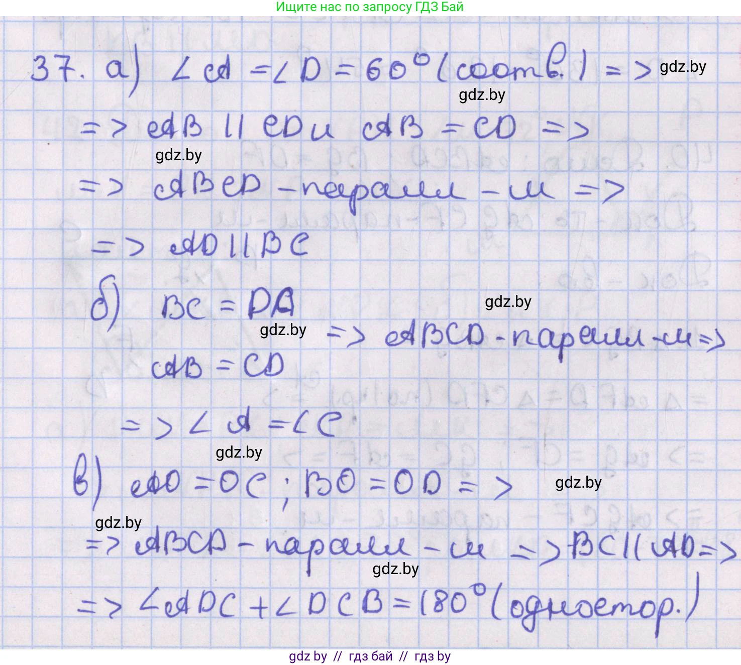
Решение. №37 (с. 27)
Геометрия, 8 класс Учебник, авторы: Казаков Валерий Владимирович, Казакова Ольга Олеговна, издательство Адукацыя i выхаванне, Минск, 2024, оранжевого цвета, страница 27, номер 37, Решение
Решение 2. №37 (с. 27)
Геометрия, 8 класс Учебник, авторы: Казаков Валерий Владимирович, Казакова Ольга Олеговна, издательство Адукацыя i выхаванне, Минск, 2024, оранжевого цвета, страница 27, номер 37, Решение 2
Решение 3. №37 (с. 27)

а) На рисунке 35, а) изображен четырехугольник ABCD, который является равнобедренной трапецией. Это следует из двух признаков, указанных на чертеже: во-первых, углы при стороне AD равны ($\angle A = \angle D = 60^\circ$), во-вторых, боковые стороны равны ($AB = CD = 8$). Углы при основании равнобедренной трапеции равны, следовательно, AD является одним из оснований. Вторая сторона, параллельная основанию, это BC. По определению трапеции, её основания параллельны. Ответ: поэтому $AD \parallel BC$.

б) Четырехугольник ABCD на рисунке 35, б) является параллелограммом. Согласно признаку параллелограмма, если у четырехугольника противолежащие стороны попарно равны, то он является параллелограммом. В данном случае $AB = CD = 6$ и $AD = BC = 10$. По свойству параллелограмма, его противолежащие углы равны. Ответ: поэтому $\angle A = \angle C$.

в) Четырехугольник ABCD на рисунке 35, в) является параллелограммом. Это следует из признака параллелограмма: если диагонали четырехугольника пересекаются и точкой пересечения делятся пополам, то это параллелограмм. На рисунке видно, что диагонали AC и BD делятся точкой O пополам: $AO = OC = 3$ и $BO = OD = 5$. В параллелограмме противолежащие стороны параллельны, следовательно $AD \parallel BC$. Углы $\angle ADC$ и $\angle DCB$ являются внутренними односторонними углами при параллельных прямых AD и BC и секущей DC. Сумма внутренних односторонних углов равна $180^\circ$. Ответ: поэтому $\angle ADC + \angle DCB = 180^\circ$.

Помогло решение? Оставьте отзыв в комментариях ниже.

Присоединяйтесь к Телеграм-группе @gdz_by_belarus

Присоединиться

Мы подготовили для вас ответ c подробным объяснением домашего задания по геометрии за 8 класс, для упражнения номер 37 расположенного на странице 27 к учебнику 2024 года издания для учащихся школ и гимназий.

Теперь на нашем сайте ГДЗ.ТОП вы всегда легко и бесплатно найдёте условие с правильным ответом на вопрос «Как решить ДЗ» и «Как сделать» задание по геометрии к упражнению №37 (с. 27), авторов: Казаков (Валерий Владимирович), Казакова (Ольга Олеговна), учебного пособия издательства Адукацыя i выхаванне.