Номер 214, страница 100 - гдз по геометрии 8 класс учебник Казаков, Казакова

Геометрия, 8 класс Учебник, авторы: Казаков Валерий Владимирович, Казакова Ольга Олеговна, издательство Адукацыя i выхаванне, Минск, 2024, оранжевого цвета

Авторы: Казаков В. В., Казакова О. О.

Тип: Учебник

Издательство: Адукацыя i выхаванне

Год издания: 2024 - 2026

Цвет обложки: оранжевый

Допущено Министерством образования Республики Беларусь

Популярные ГДЗ в 8 классе

Глава 2. Площади многоугольников. Параграф 16. Теорема Пифагора - номер 214, страница 100.

№214 (с. 100)
Условие. №214 (с. 100)
скриншот условия
Геометрия, 8 класс Учебник, авторы: Казаков Валерий Владимирович, Казакова Ольга Олеговна, издательство Адукацыя i выхаванне, Минск, 2024, оранжевого цвета, страница 100, номер 214, Условие

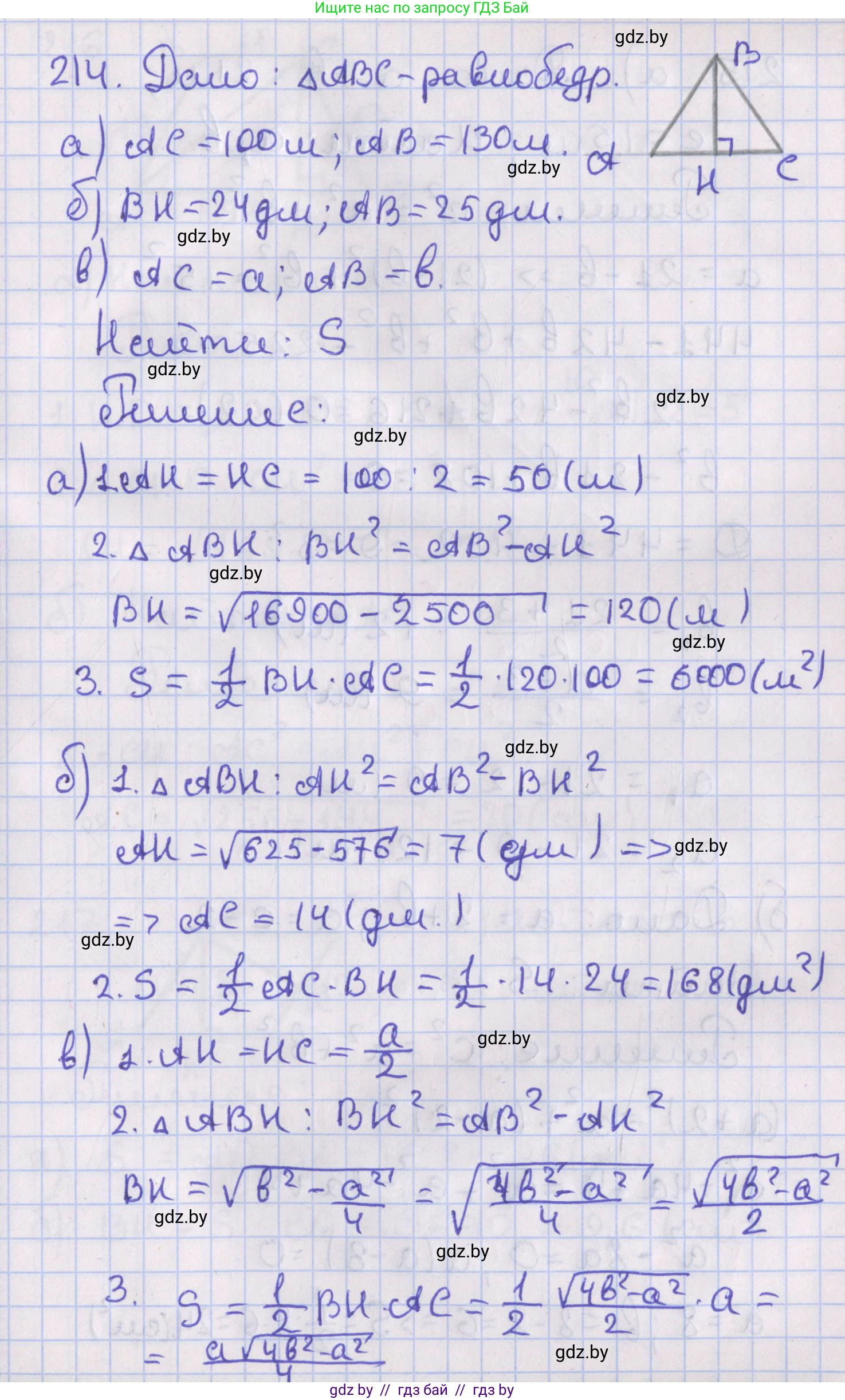
214. Найдите площадь равнобедренного треугольника, у которого:

а) основание равно 100 м, а боковая сторона — 130 м;

б) основание равно 14 дм, а боковая сторона — 25 дм;

в) основание равно $a$, а боковая сторона — $b$.

Решение. №214 (с. 100)
Геометрия, 8 класс Учебник, авторы: Казаков Валерий Владимирович, Казакова Ольга Олеговна, издательство Адукацыя i выхаванне, Минск, 2024, оранжевого цвета, страница 100, номер 214, Решение
Решение 2. №214 (с. 100)
Геометрия, 8 класс Учебник, авторы: Казаков Валерий Владимирович, Казакова Ольга Олеговна, издательство Адукацыя i выхаванне, Минск, 2024, оранжевого цвета, страница 100, номер 214, Решение 2
Решение 3. №214 (с. 100)

а)

Для нахождения площади равнобедренного треугольника используется формула $S = \frac{1}{2}ah$, где $a$ - основание, а $h$ - высота, проведенная к основанию. В равнобедренном треугольнике высота, опущенная на основание, является также и медианой, то есть делит основание на два равных отрезка. Дано: основание $a = 100$ м, боковая сторона $b = 130$ м.

1. Найдем половину основания. Высота делит основание на два отрезка, каждый из которых равен $\frac{a}{2} = \frac{100}{2} = 50$ м.

2. Найдем высоту $h$. Высота, боковая сторона и половина основания образуют прямоугольный треугольник, где боковая сторона является гипотенузой. По теореме Пифагора: $h^2 + (\frac{a}{2})^2 = b^2$ $h = \sqrt{b^2 - (\frac{a}{2})^2} = \sqrt{130^2 - 50^2} = \sqrt{16900 - 2500} = \sqrt{14400} = 120$ м.

3. Теперь вычислим площадь треугольника: $S = \frac{1}{2} \times a \times h = \frac{1}{2} \times 100 \times 120 = 50 \times 120 = 6000$ м².

Ответ: $6000$ м².

б)

Решаем аналогично предыдущему пункту. Дано: основание $a = 14$ дм, боковая сторона $b = 25$ дм.

1. Найдем половину основания: $\frac{a}{2} = \frac{14}{2} = 7$ дм.

2. Найдем высоту $h$ по теореме Пифагора: $h = \sqrt{b^2 - (\frac{a}{2})^2} = \sqrt{25^2 - 7^2} = \sqrt{625 - 49} = \sqrt{576} = 24$ дм.

3. Вычислим площадь треугольника: $S = \frac{1}{2} \times a \times h = \frac{1}{2} \times 14 \times 24 = 7 \times 24 = 168$ дм².

Ответ: $168$ дм².

в)

В общем случае, пусть основание равнобедренного треугольника равно $a$, а боковая сторона равна $b$.

1. Высота $h$, проведенная к основанию, делит его на два равных отрезка длиной $\frac{a}{2}$.

2. Из прямоугольного треугольника, образованного высотой, боковой стороной и половиной основания, по теореме Пифагора находим высоту: $h^2 = b^2 - (\frac{a}{2})^2 = b^2 - \frac{a^2}{4}$. Отсюда $h = \sqrt{b^2 - \frac{a^2}{4}}$. Для существования такого треугольника должно выполняться условие $b > \frac{a}{2}$.

3. Площадь треугольника вычисляется по формуле $S = \frac{1}{2}ah$. Подставим выражение для высоты $h$: $S = \frac{1}{2} a \sqrt{b^2 - \frac{a^2}{4}} = \frac{1}{2} a \sqrt{\frac{4b^2 - a^2}{4}} = \frac{1}{2} a \frac{\sqrt{4b^2 - a^2}}{\sqrt{4}} = \frac{a\sqrt{4b^2 - a^2}}{4}$.

Ответ: $S = \frac{a}{4}\sqrt{4b^2 - a^2}$.

Помогло решение? Оставьте отзыв в комментариях ниже.

Присоединяйтесь к Телеграм-группе @gdz_by_belarus

Присоединиться

Мы подготовили для вас ответ c подробным объяснением домашего задания по геометрии за 8 класс, для упражнения номер 214 расположенного на странице 100 к учебнику 2024 года издания для учащихся школ и гимназий.

Теперь на нашем сайте ГДЗ.ТОП вы всегда легко и бесплатно найдёте условие с правильным ответом на вопрос «Как решить ДЗ» и «Как сделать» задание по геометрии к упражнению №214 (с. 100), авторов: Казаков (Валерий Владимирович), Казакова (Ольга Олеговна), учебного пособия издательства Адукацыя i выхаванне.