Номер 3.187, страница 201 - гдз по алгебре 8 класс учебник Арефьева, Пирютко
Авторы: Арефьева И. Г., Пирютко О. Н.
Тип: Учебник
Издательство: Адукацыя i выхаванне
Год издания: 2024 - 2026
Цвет обложки: бирюзовый с графиком
ISBN: ISBN 978-985-03-4081-8
Допущено Министерством образования Республики Беларусь
Популярные ГДЗ в 8 классе
Глава 3. Квадратичная функция. Параграф 15. Квадратные неравенства - номер 3.187, страница 201.
№3.187 (с. 201)
Условие. №3.187 (с. 201)
скриншот условия
3.187. Решите неравенство:
а) $ \frac{x^2}{2} \le \frac{11x - 4}{5}; $
б) $ \frac{x - 1}{3} + \frac{x^2}{5} \ge \frac{7}{15}; $
в) $ \frac{x^2 - 5}{2} - \frac{x - 8}{5} < 3; $
г) $ \frac{x^2 + 6x}{12} - \frac{2x + 3}{4} > 6. $
Решение. №3.187 (с. 201)
Решение 2. №3.187 (с. 201)
a) Исходное неравенство: $\frac{x^2}{2} \le \frac{11x - 4}{5}$
Чтобы избавиться от дробей, умножим обе части неравенства на наименьшее общее кратное знаменателей 2 и 5, то есть на 10:
$10 \cdot \frac{x^2}{2} \le 10 \cdot \frac{11x - 4}{5}$
$5x^2 \le 2(11x - 4)$
$5x^2 \le 22x - 8$
Перенесем все члены в левую часть, чтобы получить квадратное неравенство:
$5x^2 - 22x + 8 \le 0$
Для решения найдем корни соответствующего квадратного уравнения $5x^2 - 22x + 8 = 0$ с помощью дискриминанта:
$D = b^2 - 4ac = (-22)^2 - 4 \cdot 5 \cdot 8 = 484 - 160 = 324 = 18^2$
Корни уравнения:
$x_1 = \frac{-b - \sqrt{D}}{2a} = \frac{22 - 18}{10} = \frac{4}{10} = \frac{2}{5}$
$x_2 = \frac{-b + \sqrt{D}}{2a} = \frac{22 + 18}{10} = \frac{40}{10} = 4$
Графиком функции $y = 5x^2 - 22x + 8$ является парабола, ветви которой направлены вверх (так как коэффициент при $x^2$ положителен: $a=5 > 0$). Следовательно, неравенство $5x^2 - 22x + 8 \le 0$ выполняется на отрезке между корнями, включая сами корни.
Ответ: a) $[\frac{2}{5}; 4]$
б) Исходное неравенство: $\frac{x - 1}{3} + \frac{x^2}{5} \ge \frac{7}{15}$
Умножим обе части неравенства на наименьший общий знаменатель, равный 15:
$15 \cdot \frac{x - 1}{3} + 15 \cdot \frac{x^2}{5} \ge 15 \cdot \frac{7}{15}$
$5(x - 1) + 3x^2 \ge 7$
$5x - 5 + 3x^2 \ge 7$
Приведем неравенство к стандартному виду:
$3x^2 + 5x - 12 \ge 0$
Найдем корни уравнения $3x^2 + 5x - 12 = 0$:
$D = 5^2 - 4 \cdot 3 \cdot (-12) = 25 + 144 = 169 = 13^2$
Корни уравнения:
$x_1 = \frac{-5 - 13}{6} = \frac{-18}{6} = -3$
$x_2 = \frac{-5 + 13}{6} = \frac{8}{6} = \frac{4}{3}$
Ветви параболы $y = 3x^2 + 5x - 12$ направлены вверх ($a=3 > 0$). Неравенство $\ge 0$ выполняется, когда $x$ находится за пределами отрезка между корнями, включая концы отрезка.
Представим неправильную дробь $\frac{4}{3}$ в виде смешанного числа: $1\frac{1}{3}$.
Ответ: б) $(-\infty; -3] \cup [\mathbf{1}\frac{1}{3}; +\infty)$
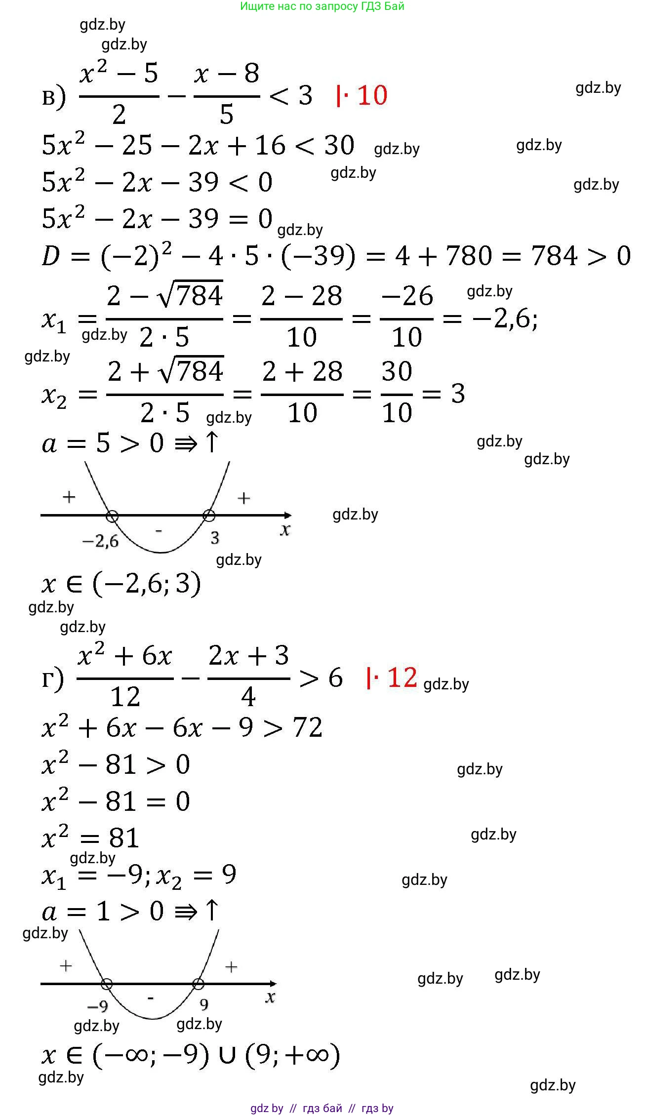
в) Исходное неравенство: $\frac{x^2 - 5}{2} - \frac{x - 8}{5} < 3$
Умножим обе части неравенства на общий знаменатель 10:
$10 \cdot \frac{x^2 - 5}{2} - 10 \cdot \frac{x - 8}{5} < 10 \cdot 3$
$5(x^2 - 5) - 2(x - 8) < 30$
$5x^2 - 25 - 2x + 16 < 30$
$5x^2 - 2x - 9 < 30$
Приведем к стандартному виду:
$5x^2 - 2x - 39 < 0$
Найдем корни уравнения $5x^2 - 2x - 39 = 0$:
$D = (-2)^2 - 4 \cdot 5 \cdot (-39) = 4 + 780 = 784 = 28^2$
Корни уравнения:
$x_1 = \frac{2 - 28}{10} = \frac{-26}{10} = -\frac{13}{5}$
$x_2 = \frac{2 + 28}{10} = \frac{30}{10} = 3$
Ветви параболы $y = 5x^2 - 2x - 39$ направлены вверх ($a=5 > 0$). Неравенство $< 0$ выполняется на интервале между корнями.
Представим неправильную дробь $-\frac{13}{5}$ в виде смешанного числа: $-2\frac{3}{5}$.
Ответ: в) $(-\mathbf{2}\frac{3}{5}; 3)$
г) Исходное неравенство: $\frac{x^2 + 6x}{12} - \frac{2x + 3}{4} > 6$
Умножим обе части на общий знаменатель 12:
$12 \cdot \frac{x^2 + 6x}{12} - 12 \cdot \frac{2x + 3}{4} > 12 \cdot 6$
$(x^2 + 6x) - 3(2x + 3) > 72$
$x^2 + 6x - 6x - 9 > 72$
Упростим выражение:
$x^2 - 9 > 72$
$x^2 - 81 > 0$
Разложим левую часть на множители по формуле разности квадратов: $(x - 9)(x + 9) > 0$.
Корнями уравнения $(x - 9)(x + 9) = 0$ являются $x=-9$ и $x=9$. Так как это парабола с ветвями вверх, неравенство $> 0$ выполняется за пределами интервала между корнями.
Ответ: г) $(-\infty; -9) \cup (9; +\infty)$
Другие задания:
Помогло решение? Оставьте отзыв в комментариях ниже.
Присоединяйтесь к Телеграм-группе @gdz_by_belarus
ПрисоединитьсяМы подготовили для вас ответ c подробным объяснением домашего задания по алгебре за 8 класс, для упражнения номер 3.187 расположенного на странице 201 к учебнику 2024 года издания для учащихся школ и гимназий.
Теперь на нашем сайте ГДЗ.ТОП вы всегда легко и бесплатно найдёте условие с правильным ответом на вопрос «Как решить ДЗ» и «Как сделать» задание по алгебре к упражнению №3.187 (с. 201), авторов: Арефьева (Ирина Глебовна), Пирютко (Ольга Николаевна), учебного пособия издательства Адукацыя i выхаванне.